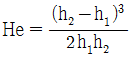
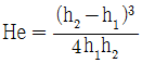
개수로에서 도수로 인한 에너지 손실을 구하는 식으로 옳은 것은? (단, h1 : 도수 전의 수심, h2 : 도수 후의 수심)
지금 시작하기 →

・・・ 문제은행 토목산업기사(2019년 3회) 49번

토목산업기사 2019년 09월 49번

개수로에서 도수로 인한 에너지 손실을 구하는 식으로 옳은 것은? (단, h1 : 도수 전의 수심, h2 : 도수 후의 수심)

1
2
3
4
단축키
이전 문제로 이동은 키를 누르고, 다음 문제로 이동은 키를 누르세요
이전 문제 , 다음 문제
문제(120)
13 그림과 같은 음영 부분의 단면적이 A인 단면에서 도심 y를 구한 값은? 14 균질한 균일 단면봉이 그림과 같이 P1, P2, P3의 하중을 B, C, D점에서 받고 있다. 각 구간의 거리 a=1.0m, b=0.4m, c=0.6m이고 P2=100kN, P3=50kN의 하중이 작용할 때 D점에서의 수직방향 변위가 일어나지 않기 위한 하중 P1은 얼마인가? 15 지지조건이 양단힌지인 장주의 좌굴하중이 1000kN인 경우 지점조건이 일단힌지, 타단고정으로 변경되면 이때의 좌굴하중은? (단, 재료성질 및 기하학적 형상은 동일하다.) 16 어떤 재료의 탄성계수가 E, 푸아송 비가 ν일 때 이 재료의 전단 탄성계수(G)는? 17 외력을 받으면 구조물의 일부나 전체의 위치가 이동될 수 있는 상태를 무엇이라 하는가? 18 직사각형 단면의 최대 전단응력은 평균 전단응력의 몇 배인가? 19 경간(L)이 10m인 단순보에 그림과 같은 방향으로 이동하중이 작용할 때 절대 최대 휨모멘트는? (단, 보의 자중은 무시한다.) 20 전단력을 S, 단면 2차 모멘트를 I, 단면 1차 모멘트를 Q, 단면의 폭을 b라 할 때 전단응력도의 크기를 나타낸 식으로 옳은 것은? (단, 단면의 형상은 직사각형이다.) 21 삼각형 표석에서 반석과 주석에 관한 내용 중 틀린 것은? 22 수준측량에서 전시와 후시의 시준거리를 같게 하여 소거할 수 있는 오차는? 23 다음 조건에 따른 C점의 높이 최확값은? 24 축적 1:1000에서의 면적을 측정하였더니 도상면적이 3cm2 이었다. 그런데 이 도면 전체가 가로, 세로 모두 1%씩 수축되어 있었다면 실제면적은?
25 편각법에 의하여 원곡선을 설치하고자 한다. 곡선 반지름이 500m, 시단현이 12.3m일 때 시단현의 편각은? 26 하천의 평균유속을 구할 때 횡단면의 연직선 내에서 일점법으로 가장 적합한 관측 위치는? 27 지형도를 작성할 때 지형 표현을 위한 원칙과 거리가 먼 것은? 28 그림의 등고선에서 AB의 수평거리가 40m일 때 AB의 기울기는? 29 지구전체를 경도를 6°씩 60개로 나누고, 위도는 8°씩 20개(남위 80° ~ 북위 84°)로 나누어 나타내는 좌표계는? 30 그림과 같은 도로의 횡단면도에서 AB의 수평거리는? 31 어느 지역의 측량 결과가 그림과 같다면 이 지역의 전체 토량은? (단, 각 구역의 크기는 같다.) 32 표고 100m인 촬영기준면을 초점거리 150mm 카메라로 사진축척 1:20000의 사진을 얻기 위한 촬영비행고도는? 33 위성의 배치상태에 따른 GNSS의 오차 중 단독측위(독립측위)와 관련이 없는 것은? 34 매개변수 A=100m인 클로소이드 곡선길이 L=50m에 대한 반지름은? 35 수준측량에서 도로의 종단측량과 같이 중간시가 많은 경우에 현장에서 주로 사용하는 야장기입법은? 36 측량지역의 대소에 의한 측량의 분류에 있어서 지구의 곡률로부터 거리오차에 따른 정확도를 1/107까지 허용한다면 반지름 몇 km 이내를 평면으로 간주하여 측량할 수 있는가? (단, 지구의 곡률반지름은 6372km이다.)
37 그림과 같은 관측값을 보정한 ∠AOC는? 38 산지에서 동일한 각관측의 정확도로 폐합트래버스를 관측한 결과, 관측점수(n)가 11개, 각관측 오차가 1′ 15″ 이었다면 오차의 배분 방법으로 옳은 것은? (단, 산지의 오차한계는 ±90″ √n을 적용한다.) 39 측선의 방위각이 50° 30′이고 그림과 같이 각 관측을 실시하였다. 측선의 방위각은? 40 종단 및 횡단측량에 대한 설명으로 옳은 것은? 41 지하수의 유수 이동에 적용되는 Darcy의 법칙은? (단, v : 유속, k : 투수계수, I : 동수경사, h : 수심, R : 동수반경, C : 유속계수) 42 반지름 1.5m의 강관에 압력수두 100m의 물이 흐른다. 강재의 허용응력이 147MPa일 때 강관의 최소 두께는? 43 관수로 내의 흐름을 지배하는 주된 힘은? 44 에너지선에 대한 설명으로 옳은 것은? 45 위어(weir) 중에서 수두변화에 따른 유량 변화가 가장 예민하여 유량이 적은 실험용 소규모 수로에 주로 사용하며, 비교적 정확한 유량측정이 필요할 경우 사용하는 것은? 46 그림과 같이 단면적이 200cm2인 90° 굽어진 관(1/4 원의 형태)을 따라 유량 Q = 0.05 m3/s 의 물이 흐르고 있다. 이 굽어진 면에 작용하는 힘(P)은? 47 지름 0.3cm의 작은 물방울에 표면장력 T15 = 0.00075 N/cm가 작용할 때 물방울 내부와 외부의 압력차는? 48 정수(靜水) 중의 한 점에 작용하는 정수압의 크기가 방향에 관계없이 일정한 이유로 옳은 것은?
49 개수로에서 도수로 인한 에너지 손실을 구하는 식으로 옳은 것은? (단, h1 : 도수 전의 수심, h2 : 도수 후의 수심) 50 그림과 같이 단면 ①에서 관의 지름이 0.5m, 유속이 2m/s이고, 단면 ②에서 관의 지름이 0.2m일 때 단면 ②에서의 유속은? 51 흐름 중 상류(常流)에 대한 수식으로 옳지 않은 것은? (단, Hc : 한계수심, Ic : 한계경사, Vc : 한계유속, H : 수심, I : 수로경사, V : 유속) 52 10m 깊이의 해수 중에서 작업하는 잠수부가 받는 계기압력은? (단, 해수의 비중은 1.025) 53 Darcy의 법칙을 지하수에 적용시킬 수 있는 경우는? 54 수축계수 0.45, 유속계수 0.92인 오리피스의 유량 계수는? 55 유체의 점성(viscosity)에 대한 설명으로 옳은 것은? 56 그림과 같이 지름 3m, 길이 8m인 수문에 작용하는 수평분력의 작용점까지 수심(hc)은? 57 사다리꼴 단면인 개수로에서 수리학적으로 가장 유리한 단면의 조건은? (단, R : 경심, B : 수면 폭, h : 수심) 58 관수로의 관망설계에서 각 분기점 또는 합류점에 유입하는 유량은 그 점에서 정지하지 않고 전부 유출하는 것으로 가정하여 관망을 해석하는 방법은? 59 개수로에서 파상도수가 일어나는 범위는? (단, Fr1 : 도수 전의 Froude number) 60 마찰손실계수(f)가 0.03일 때 Chezy의 평균유속계수(C, m1/2/s)는? (단, Chezy의 평균유속 V = C √RI)
61 콘크리트의 설계기준강도가 25MPa, 철근의 항복강도가 300MPa로 설계된 부재에서 공칭지름이 25mm인 인장 이형철근의 기본정착길이는? (단, 경량콘크리트 계수 : λ = 1) 62 그림과 같은 고장력 볼트 마찰이음에서 필요한 볼트 수는 몇 개 인가? (단, 볼트는 M24(=ø24mm), F10T를 사용하며, 마찰이음의 허용력은 56kN이다.) 63 보통중량 콘크리트(mc=2300kg/m3)와 설계기준 항복강도 400 MPa인 철근을 사용한 길이 10m의 단순 지지 보에서 처짐을 계산하지 않는 경우의 최소 두께는? 64 그림과 같은 직사각형 단면의 보에서 등가직사각형 응력블록의 깊이(a)는? (단, As = 2382 mm2, fy = 400 MPa, fck = 28 MPa) 65 fck = 28 MPa, fy = 400 MPa 인 단철근 직사각형 보의 균형철근비는? 66 프리스트레스 도입 시의 프리스트레스 손실원인이 아닌 것은? 67 프리스트레스트 콘크리트의 원리를 설명할 수 있는 기본개념으로 옳지 않은 것은? 68 다음 중 용접이음을 한 겨우 용접부의 결함을 나타내는 용어가 아닌 것은? 69 단철근 직사각형보에서 인장철근량이 증가하고 다른 조건은 동일할 경우 중립축의 위치는 어떻게 변하는가? 70 경간 10m 대칭 T형보에서 양쪽 슬래브의 중심간 거리가 2100mm, 플랜지 두께는 100mm, 복부의 폭(bw)은 400mm일 때 플랜지의 유효폭은? 71 1방향 슬래브의 구조에 대한 설명으로 틀린 것은? 72 그림과 같은 보에서 전단력과 휨모멘트만을 받는 경우 보통중량 콘크리트가 받을 수 있는 전단강도 Vc 는 얼마인가? (단, fck = 28 MPa, fy = 400 MPa)
73 옹벽에 대한 설명으로 틀린 것은? 74 폭 250mm, 유효깊이 500mm, 압축연단에서 중립축까지의 거리(c)가 200mm, 콘크리트의 설계기준압축강도(fck)가 24MPa인 단철근 직사각형 균형보에서 공칭휨강도(Mn)는? 75 철근과 콘크리트가 구조체로서 일체 거동을 하기 위한 조건으로 틀린 것은? 76 아래의 표에서 설명하고 있는 철근은? 77 강판을 리벳 이음할 때 불규칙 배치(엇모배치)할 경우 재편의 순폭은 최초의 리벳구멍에 대하여 그 지름(d)을 빼고 다음 것에 대하여는 다음 중 어느 식을 사용하여 빼주는가? (단, g : 리벳선간거리, p : 리벳의 피치) 78 그림과 같은 단순보에서 자중을 포함하여 계수하중이 20kN/m 작용하고 있다. 이 보의 전단 위험단면에서의 전단력은? 79 직사각형 단면 300mm×400mm인 프리텐션 부재의 550mm2의 단면적을 가진 PS강선을 단면도심에 배치하고 1350MPa의 인장응력을 가하였다. 콘크리트의 탄성변형에 따라 실제로 부재에 작용하는 유효 프리스트레스는 약 얼마인가? (단, 탄성계수비 n=6 이다.) 80 아래의 표와 같은 조건에서 하중재하 기간이 5년이 넘은 경우 추가 장기처짐량은? 81 점토층에서 채취한 시료의 압축지수(Cc)는 0.39, 간극비(e)는 1.26이다. 이 점토층 위에 구조물이 축조되었다. 축조되기 이전의 유효압력은 80 kN/m2, 축조된 후에 증가된 유효압력은 60 kN/m2이다. 점토층의 두께가 3m일 때 압밀 침하량은 얼마인가? 82 포화도가 100%인 시료의 체적이 1000cm3이었다. 노건조 후에 측정한 결과, 물의 질량이 400g 이었다면 이 시료의 간극률(n)은 얼마인가? 83 Dunham의 공식으로, 모래의 내부마찰각(ø)과 관입저항치(N)와의 관계식으로 옳은 것은? (단, 토질은 입도배합이 좋고 둥근 입자이다.) 84 기존 건물에 인접한 장소에 새로운 깊은 기초를 시공하고자 한다. 이때 기존 건물의 기초가 얕아 보강하는 공법 중 적당한 것은?
App Store Google Play
오늘학습 예시 이미지

시험에 합격하려면
복습을 제대로 해야 합니다.

오늘학습은 스스로 기억을 떠올리고 계획적으로 복습할 수 있도록 설계돼 있어요.
그것도, 가장 과학적인 방식으로요!

능동적 회상

능동적 회상
(Active Recall)

배운 내용을 단순 읽으며 반복하는 것이 아니라,
능동적으로 기억하고 있는지를
스스로 테스트하며
공부할 수 있는
학습 환경을 제공해 학습 효과를 높여요

간격 반복 학습

간격 반복 학습
(Spaced Repetition)

에빙하우스 망각곡선을 바탕으로
가장 최적의 시점에 복습을 제공하여
배운 내용이 잊히지 않도록 장기 기억화해요

Data 기반의
뇌과학적 복습 시스템

학습 결과 Data를 분석해, 문제별 최적화된
반복 학습량을
자동으로 분배해요.
학습에 소요되는 시간을 최소화하는
동시에
단기 기억을 장기 기억으로 전환해줘요.

36만 개 이상의
기출문제 무료 제공

공무원 및 약 300여종의 자격증 시험 기출문제
36만개
이상을 무료로 이용할 수 있어요.
여러 앱을 설치할 필요
없이, 오늘학습 하나로
모든 시험을 준비할 수 있어요.

다양한 문제 유형으로 만드는
나만의 단어장&문제집

기출 외에도 외워야 하는 내용은
객관식, 주관식, 카드, 빈칸
등 다양한 형식으로
직접 만들어 보세요. 내 학습 스타일에
맞게
나만의 단어장과 문제집을 만들 수 있어요.

시험별 체계적인
문제 관리

시험에 문제를 추가해 체계적으로
관리할 수 있어요.
주제나 단원별로
분류하고 싶다면,
시험에 챕터를 만들어
문제를 추가할 수도 있어요.

수십만 명이
오늘학습을 사랑합니다

앱 스토어 평점 4.9
구글 플레이 평점 4.8
누적 회원수 100,000+
지금 오늘학습을
시작해보세요
지금 시작하기
문제 선택