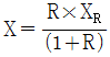
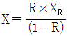
반송슬러지 농도를 XR, 슬러지반송비를 R이라고 할 때, 반응조 내의 MLSS 농도 X를 구하는 식은? (단, 유입수의 SS는 무시함)
지금 시작하기 →

・・・ 문제은행 토목산업기사(2019년 1회) 120번

토목산업기사 2019년 03월 120번

반송슬러지 농도를 XR, 슬러지반송비를 R이라고 할 때, 반응조 내의 MLSS 농도 X를 구하는 식은? (단, 유입수의 SS는 무시함)

1
2
3
4
단축키
이전 문제로 이동은 키를 누르고, 다음 문제로 이동은 키를 누르세요
이전 문제 , 다음 문제
문제(120)
61 판형에서 보강재(stiffener)의 사용목적은? 62 철근 콘크리트의 특징에 대한 설명으로 옳지 않은 것은? 63 강도설계법에 의한 휨부재 설계의 기본가정으로 옳지 않은 것은? 64 기초 위에 돌출된 압축부재로서 단면의 평균최소치수에 대한 높이의 비율이 3 이하인 부재를 무엇이라 하는가? 65 프리스트레스트 콘크리트(PSC)에 의한 교량 가설공법 중 교대 후방의 작업장에서 교량 상부구조를 10~30m의 블록(block)으로 제작한 후, 미리 가설된 교각의 교축방향으로 밀어내고 다음 블록을 다시 제작하고 연결하여 연속적으로 밀어내며 시공하는 공법은? 66 표준갈고리를 갖는 인장 이형철근의 정착길이를 구하기 위하여 기본정착길이에 곱하는 것은? 67 철근콘크리트 부재의 장기처짐 계산시 지속하중의 재하기간 12개월에 적용되는 시간경과계수( )는? 68 그림과 같이 PS 강선을 포물선으로 배치했을 때 PS 강선의 편심은 중앙점에서 100mm이고 양 지점에서는 0이었다. PS 강선을 3000kN으로 인장할 때 생기는 등분포 상향력은? 69 전단철근으로 보강된 보에 사인장균열이 발생한 후, 전단철근이 항복에 이르는 동안에 단면의 내부에서 발생하는 내력의 종류가 아닌 것은? 70 강도설계법에서 단철근 직사각형 보의 균형단면 중립축 위치(c)를 구하는 식으로 옳은 것은? (단, fy : 철근의 설계기준항복강도, fs : 철근의 응력, d : 보의 유효깊이) 71 강도설계법에 의해 휨설계를 할 경우 fck=40MPa인 경우 β1의 값은? 72 단철근 직사각형 단면의 균형 철근비(ρb)를 이용하여 균형철근량(As)을 구하는 식은? (단, b=폭, d=유효깊이)
73 그림과 같은 T형 단면의 보에서 등가직사각형 응력블록의 깊이(a)는? (단, fck=28MPa, fy=400MPa, As = 3855mm2) 74 그림과 같이 용접이음을 했을 경우 전단응력은? 75 콘크리트구조 철근상세 설계기준에 따르면 압축부재의 축방향 철근이 D32일 때 사용할 수 있는 띠철근에 대한 설명으로 옳은 것은? 76 단면계수가 1200cm3인 I형강에 102kN・m의 휨모멘트가 작용할 때 하연에 작용하는 휨응력은? 77 연직하중 1800kN을 받는 독립확대기초를 정사각형으로 설계하고자 한다. 지반의 허용지지력이 200kN/m2 라면 독립확대기초 1변의 길이는? 78 프리스트레싱 긴장재 한 가닥만을 배치하여 1회의 긴장작업으로 프리스트레스의 도입이 끝나는 포스트텐션 방식의 프리스트레스트 콘크리트 부재에는 발생하지 않는 손실은? 79 그림과 같은 단철근보의 공칭전단강도(Vn)는? (단, 철근 D13을 수직 스터럽으로 사용하며, 스터럽 간격은 300mm, 철근 D13 1본의 단면적은 127mm2, fck=24MPa, fy=400MPa이다.) 80 철근콘크리트 1방향 슬래브에 대한 설명으로 틀린 것은? 81 Hazen이 제안한 균등계수가 5 이하인 균등한 모래의 투수계수(k)를 구할 수 있는 경험식으로 옳은 것은? (단, c는 상수이고, D10은 유효입경이다.) 82 다음 중 말뚝의 정역학적 지지력공식은? 83 그림과 같은 모래지반에서 X-X 면의 전단강도는? (단, ø=30°, c=0) 84 포화단위중량이 1.8t/m3인 모래지반이 있다. 이 포화 모래지반에 침투수압의 작용으로 모래가 분출하고 있다면 한계동수경사는?
85 다음 중 동해가 가장 심하게 발생하는 토질은? 86 압밀계수가 0.5 × 10-2cm2/s이고, 일면배수 상태의 5m 두께 점토층에서 90% 압밀이 일어나는데 소요되는 시간은? (단, 90% 압밀도에서 시간계수(T)는 0.848) 87 입도분포곡선에서 통과율 10%에 해당하는 입경(D10)이 0.005mm이고, 통과율 60%에 해당하는 입경(D60)이 0.025mm일 때 균등계수(Cu)는? 88 유선망을 이용하여 구할 수 없는 것은? 89 다음 그림과 같은 높이가 10m인 옹벽이 점착력이 0인 건조한 모래를 지지하고 있다. 모래의 마찰각이 36°, 단위중량이 1.6t/m3일 때 전 주동토압은? 90 다음 그림과 같은 접지압 분포를 나타내는 조건으로 옳은 것은? 91 진동이나 충격과 같은 동적외력의 작용으로 모래의 간극비가 감소하며 이로 인하여 간극수압이 상승하여 흙의 전단강도가 급격히 소실되어 현탁액과 같은 상태로 되는 현상은? 92 간극비(e) 0.65, 함수비(w) 20.5%, 비중(Gs) 2.69인 사질점토의 습윤단위중량(γt)는? 93 사질지반에 40cm×40cm 재하판으로 재하 시험한 결과 16t/m2의 극한 지지력을 얻었다. 2m×2m의 기초를 설치하면 이론상 지지력은 얼마나 되겠는가? 94 흙의 다짐시험에서 다짐에너지를 증가시킬 때 일어나는 변화로 옳은 것은? 95 점성토 지반에 사용하는 연약지반 개량공법이 아닌 것은? 96 모래 치환법에 의한 흙의 밀도 시험에서 모래(표준사)는 무엇을 구하기 위해 사용되는가?
97 어떤 포화점토의 일축압축강도(qu)가 3.0kg/cm2이었다. 이 흙의 점착력(c)은? 98 점토의 예민비(sensitivity ratio)는 다음 시험 중 어떤 방법으로 구하는가? 99 연약점토지반(ø=0)의 단위중량이 1.6t/m3, 점착력이 2t/m2이다, 이 지반을 연직으로 2m 굴착하였을 때 연직사면의 안전율은? 100 아래는 불교란 흙 시료를 채취하기 위한 샘플러 선단의 그림이다. 면적비(Ar)를 구하는 식으로 옳은 것은? 101 일반적인 정수처리공정과 비교할 때 침전공정이 생략된 방식으로 통상적으로 수질변화가 적고 비교적 양호한 수질에서는 일반정수처리공정에 비해 설치비 및 운영비가 적게 소요되는 여과방식은? 102 자연 유하식 관로를 설치할 때, 수두를 분할하여 수압을 조절하기 위한 목적으로 설치하는 부대설비는? 103 어느 도시의 총인구가 5만명이고, 급수인구는 4만명일 때 1년간 총급수량이 200만m3이었다. 이 도시의 급수보급률과 1인1일평균급수량은? 104 활성슬러지 공정의 2차 침전지를 설계하는데 다음과 같은 기준을 사용하였다. 이 침전지의 수리학적 체류시간은? (단, 수심=5.4m, 유입수량=5000m3/d, 표면부하율=30m3/m2·d) 105 맨홀의 설치장소로 적합하지 않은 것은? 106 하수도계획에서 수질 환경기준에 준하는 배제방식, 처리방법, 시설의 취지 결정에 활용하기 위하여 필요한 조사는? 107 상수도의 급수계통으로 알맞은 것은? 108 염소의 살균능력이 큰 것부터 순서대로 나열된 것은?
App Store Google Play
오늘학습 예시 이미지

시험에 합격하려면
복습을 제대로 해야 합니다.

오늘학습은 스스로 기억을 떠올리고 계획적으로 복습할 수 있도록 설계돼 있어요.
그것도, 가장 과학적인 방식으로요!

능동적 회상

능동적 회상
(Active Recall)

배운 내용을 단순 읽으며 반복하는 것이 아니라,
능동적으로 기억하고 있는지를
스스로 테스트하며
공부할 수 있는
학습 환경을 제공해 학습 효과를 높여요

간격 반복 학습

간격 반복 학습
(Spaced Repetition)

에빙하우스 망각곡선을 바탕으로
가장 최적의 시점에 복습을 제공하여
배운 내용이 잊히지 않도록 장기 기억화해요

Data 기반의
뇌과학적 복습 시스템

학습 결과 Data를 분석해, 문제별 최적화된
반복 학습량을
자동으로 분배해요.
학습에 소요되는 시간을 최소화하는
동시에
단기 기억을 장기 기억으로 전환해줘요.

36만 개 이상의
기출문제 무료 제공

공무원 및 약 300여종의 자격증 시험 기출문제
36만개
이상을 무료로 이용할 수 있어요.
여러 앱을 설치할 필요
없이, 오늘학습 하나로
모든 시험을 준비할 수 있어요.

다양한 문제 유형으로 만드는
나만의 단어장&문제집

기출 외에도 외워야 하는 내용은
객관식, 주관식, 카드, 빈칸
등 다양한 형식으로
직접 만들어 보세요. 내 학습 스타일에
맞게
나만의 단어장과 문제집을 만들 수 있어요.

시험별 체계적인
문제 관리

시험에 문제를 추가해 체계적으로
관리할 수 있어요.
주제나 단원별로
분류하고 싶다면,
시험에 챕터를 만들어
문제를 추가할 수도 있어요.

수십만 명이
오늘학습을 사랑합니다

앱 스토어 평점 4.9
구글 플레이 평점 4.8
누적 회원수 100,000+
지금 오늘학습을
시작해보세요
지금 시작하기
문제 선택