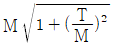
비틀림 모멘트(T)와 굽힘 모멘트(M)를 받는 재료의 상당 비틀림(Te)를 나타내는 식은?
지금 시작하기 →

・・・ 문제은행 승강기산업기사(2020년 1회) 41번

승강기산업기사 2020년 06월 41번

비틀림 모멘트(T)와 굽힘 모멘트(M)를 받는 재료의 상당 비틀림(Te)를 나타내는 식은?

1
2
3
4
단축키
이전 문제로 이동은 키를 누르고, 다음 문제로 이동은 키를 누르세요
이전 문제 , 다음 문제
문제(80)
13 카에는 자동으로 재충전되는 비상전원공급장치에 의해 몇 lx 이상의 조도로 몇시간 동안 전원이 공급되는 비상들이 있어야 하는가? 14 무빙워크의 경사도는 몇 도 이하이어야 하는가? 15 엘리베이터가 최종단층을 통과하였을 때 구동기를 신속하게 정지시키며, 운행을 불가능하게 하는 안전장치는? 16 엘리베이터 과속조절기(조속기) 로프의 최소 파단 하중은 권상 형식 과속조절기의 마찰계수 µmax0.2를 고려하여 과속조절기가 작동될 때 로프에 발생하는 인장력에 몇 이상의 안전율을 가져야 하는가? 17 다음 중 엘리베이터의 주행안내(가이드) 레일에 대한 설명으로 적절하지 않은 것은? 18 소방구조용(비상용) 엘리베이터에 대한 설명으로 맞는 것은? 19 일반적으로 엘리베이터에 사용하는 주로프의 차단강도는 약 몇 kgf/mm2 정도인가? 20 유압식 엘리베이터에 적용되는 유량 제한기(유량제한장치)의 기준으로 틀린 것은? 21 엘리베이터의 지진에 대한 대책으로 가장 적절하지 않은 것은? 22 균형추 또는 평형추에 추락방지안전장치(비상정지장치)를 설치해야 하는 경우로 맞는 것은? 23 기계실 작업공간의 바닥 면은 몇 lx 이상을 밝히는 영구적으로 설치된 전기조명이 있어야 하는가? 24 엘리베이터 안정장치 중 리미트 스위치의 형식이 아닌 것은?
25 권상기에 대한 설명으로 옳은 것은? 26 엘리베이터용 전동기의 구비요건으로 적절하지 않은 것은? 27 로프식 권상기의 허용응력이 4kN/cm2이고, 재료의 인장강도가 40kN/cm2일 때 안전율은 약 얼마인가? 28 b×h=6×7(m)의 삼각형 도심을 통과하는 축에 대한 단면 2차 모멘트는 약 몇 m4인가? 29 사이리스터를 사용하여 교류로 변환한 후 전동기에 공급하고, 사이리스터의 점호각을 변경하여 직류전압을 바꿔 회전수 조절하는 제어방식은? 30 에스컬레이터의 배열방식과 그 특징에 대한 설명으로 틀린 것은? 31 교통량 계산 시 출근시간의 수송능력 목표치(집중률)가 가장 큰 건물은? (단, 역사(지하철역 등)와 가까운 경우는 제외한다.) 32 코일스프링에서 스프링 지수는 C, 스프링의 평균지름을 D, 소선의 지름을 d, C에 대한 응력수정계수를 K라 할 때 관계식으로 맞는 것은? 33 재료의 탄성한도, 허용응력, 사용응력 사이의 관게로 적절한 것은? 34 도어 인터록에 대한 설명으로 틀린 것은? 35 정격속도가 150m/min 엘리베이터가 종단층의 강제감속장치에 의해 감속한 속도가 105m/min일 때, 완충기의 필요 최소행정은 약 몇 mm인가? (단, 중력가속도는 9.8m/s2으로 한다.) 36 소방공구용(비상용) 엘리베이터는 정전 시 몇 초 이내에 운행에 필요한 전력용량을 자동적으로 발생시킬 수 있어야 하는가?
App Store Google Play
오늘학습 예시 이미지

시험에 합격하려면
복습을 제대로 해야 합니다.

오늘학습은 스스로 기억을 떠올리고 계획적으로 복습할 수 있도록 설계돼 있어요.
그것도, 가장 과학적인 방식으로요!

능동적 회상

능동적 회상
(Active Recall)

배운 내용을 단순 읽으며 반복하는 것이 아니라,
능동적으로 기억하고 있는지를
스스로 테스트하며
공부할 수 있는
학습 환경을 제공해 학습 효과를 높여요

간격 반복 학습

간격 반복 학습
(Spaced Repetition)

에빙하우스 망각곡선을 바탕으로
가장 최적의 시점에 복습을 제공하여
배운 내용이 잊히지 않도록 장기 기억화해요

Data 기반의
뇌과학적 복습 시스템

학습 결과 Data를 분석해, 문제별 최적화된
반복 학습량을
자동으로 분배해요.
학습에 소요되는 시간을 최소화하는
동시에
단기 기억을 장기 기억으로 전환해줘요.

36만 개 이상의
기출문제 무료 제공

공무원 및 약 300여종의 자격증 시험 기출문제
36만개
이상을 무료로 이용할 수 있어요.
여러 앱을 설치할 필요
없이, 오늘학습 하나로
모든 시험을 준비할 수 있어요.

다양한 문제 유형으로 만드는
나만의 단어장&문제집

기출 외에도 외워야 하는 내용은
객관식, 주관식, 카드, 빈칸
등 다양한 형식으로
직접 만들어 보세요. 내 학습 스타일에
맞게
나만의 단어장과 문제집을 만들 수 있어요.

시험별 체계적인
문제 관리

시험에 문제를 추가해 체계적으로
관리할 수 있어요.
주제나 단원별로
분류하고 싶다면,
시험에 챕터를 만들어
문제를 추가할 수도 있어요.

수십만 명이
오늘학습을 사랑합니다

앱 스토어 평점 4.9
구글 플레이 평점 4.8
누적 회원수 100,000+
지금 오늘학습을
시작해보세요
지금 시작하기
문제 선택