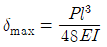
길이가 l인 단순보의 중앙에 집중하중 P가 작용할 때 최대 처짐은 중아에서 발생한다. 이때 처짐량 (δmax)을 산출하는 식으로 옳은 것은? (단, E는 세로탄성계수, I는 단면 2차 모멘트이다.)
지금 시작하기 →

・・・ 문제은행 승강기산업기사(2016년 1회) 41번

승강기산업기사 2016년 03월 41번

길이가 l인 단순보의 중앙에 집중하중 P가 작용할 때 최대 처짐은 중아에서 발생한다. 이때 처짐량 (δmax)을 산출하는 식으로 옳은 것은? (단, E는 세로탄성계수, I는 단면 2차 모멘트이다.)

1
2
3
4
단축키
이전 문제로 이동은 키를 누르고, 다음 문제로 이동은 키를 누르세요
이전 문제 , 다음 문제
문제(80)
1 엘리베이터의 안전장치가 아닌 것은? 2 비상용엘리베이터에서 정전 시 예비전원에 의하여 엘리베이터를 몇 시간이상 가동할 수 있어야 하는가? 3 기계실 크기는 설비, 특히 전기설비의 작업이 쉽고 안전하도록 하기 위하여 작업구역에서 유효 높이는 몇 m 이상이어야 하는가?(관련 규정 개정전 문제로 여기서는 기존 정답인 2번을 누르면 정답 처리됩니다. 자세한 내용은 해설을 참고하세요.) 4 VVVF 제어방식에서 인버터 제어방식을 일반적으로 어떻게 표현하는가? 5 문짝수는 2 이고 문은 측면 개폐방식일 경우 기호로 나타낸 것은? 6 로프와의 면압이 작아 로프의 수명은 길어지지만 마찰력이 가장 작아 와이어로프의 권부각을 크게 할 수 있어 더블랩 방식의 권상기에 많이 사용되고 있는 도르래 홈의 형상은? 7 전기식 엘리베이터 승강로 구조에서 작업자가 피트 바닥으로 안전하게 내려가기 위해 사용위치에 고정시킨 사다리의 높이는 승강장문 문턱 위로 몇 m 이상으로 연장되어야 하는가? 8 기어드형 권상기에서 엘리베이터의 속도를 결정하는 요소가 아닌 것은? 9 파킹스위치의 설치장소에 부적합한 곳은? 10 무빙워크의 경사도는 몇 도 이하인가? 11 에너지 분산형 완충기(유입식)의 행정거리에 관한 설명 중 옳은 것은? 12 승강기 완성검사 시 카 비상정지장치가 작동될 때, 부하가 없거나 부하가 균일하게 분포된 카의 바닥은 정상적인 위치에서 몇 % 를 초과하여 기울어지지 않아야 하는가?
37 그림은 3상 유도전동기의 기동제어 회로이다. 기동 및 운전시 MC1과 MC2의 설명 중 옳은 것은? 38 전동기의 관성효과를 올바르게 나타내는 것은? 39 권상기와 관련된 설명 중 틀린 것은? 40 장애인용 승강기의 모든 스위치는? 41 길이가 l인 단순보의 중앙에 집중하중 P가 작용할 때 최대 처짐은 중아에서 발생한다. 이때 처짐량 (δmax)을 산출하는 식으로 옳은 것은? (단, E는 세로탄성계수, I는 단면 2차 모멘트이다.) 42 공작물을 회전시키고, 공구는 직선운동으로 공작물을 가공하는 공작기계는? 43 길이 300mm인 구리봉 양단을 고정하고 20℃에서 70℃로 가열하였을 때 열응력에 의해 발생되는 압축응력[N/mm2]은? (단, 구리봉의 세로탄성계수는 9.2×103N/×mm2, 선팽창계수(α)는 1.6×10-5/℃이다.) 44 탄소강에 관한 설명으로 옳지 않은 것은? 45 유압기는 작은 힘으로 큰 힘을 얻는 장치인데, 이것은 무슨 이론을 이용한 것인가? 46 그럼의 지름이 400mm인 브레이크 드럼에 브레이크 블록을 누르는 힘 280N이 작용하고 있을 때 브레이크의 제동력은 몇 N 인가?(단, 마찰계수는 0.15 이다.) 47 아공석강에서는 Ac3점에서 40~60℃ 높은 범위에서 가열하여 노내에서 서냉시키는 방법으로 주로 가공 경화된 재료를 연화시키거나 내부응력 제거 및 불순물의 방출 등을 할 수 있는 열처리 방법은? 48 유압펌프의 종류 중 회전식이 아닌 것은?
49 유압펌프에서 송출량이 10L/min 이고 0.5MPa로 압력이 작용할 경우 유압펌프의 동력은 약 W 인가? 50 두랄루민은 알루미늄에 무엇을 첨가한 합금인가? 51 다음 중 언더컷에 대한 설명으로 옳은 것은? 52 2개의 축이 같은 평면 내에 있으면서 그 중심선이 30° 이내의 각도로 교차하는 경우의 축 이음으로 가장 적합한 것은? 53 축에 작용하는 비틀림모멘트를 T, 전단탄성계수를 G, 극관성모멘트를 Ip, 길이를 l이라 할 때, 전체 비틀림각은? 54 안전율을 나타내는 식으로 옳은 것은? 55 양단에 베어링으로 지지되어 있으며 그 중앙에 회전체 1개를 가진 원형 단면 축에 대한 위험속도의 계산이 필요한 설계인자로서 가장 거리가 먼 것은? 56 성크 키의 길이가 200mm, 키의 측면에 발생하는 전단력이 80kN 이고, 키 폭은 높이의 1.5배라고 하면 키의 허용전단응력이 20MPa일 경우 키 높이는 약 몇 mm이상으로 하면 되는가? 57 매분 200회전하는 지름 300mm의 평 마찰차를 400N으로 밀어붙이면 약 몇 kW의 동력을 전달시킬 수 있는가? (단, 접촉부 마찰계수는 0.3이다.) 58 다음 중 축과 보스의 양쪽에 키 홈을 파며 가장 널리 사용되는 일반적인 키는 무엇인가? 59 다이 또는 롤러를 사용하여 재료를 회전시키면서 압력을 가하여 제품을 만드는 가공방법으로 나사의 가공에 적합한 것은? 60 측정은 방법에 따라 직접측정, 비교측정, 간접측정, 절대측정으로 구분할 수 있는데, 다음 중 비교측정법으로 측정하는 것은?
61 PLC 제어의 특징으로 틀린 것은? 62 3300/200V, 10kVA인 단상변압기의 2차를 단락하여 1차측에 300V를 가하니 2차에 120A가 흘렀다. 1차 정격전류(A) 및 이 변압기의 임피던스 전압(V)은 약 얼마인가? 63 전기로의 온도를 1000℃로 일정하게 유시키기 위하여 열전온도계의 지시값을 보면서 전압조정기로 전기로에 대한 인가전압을 조절하는 장치가 있다. 이 경우 열전온도계는 다음 중 어느 것에 해당 되는가? 64 T1 > T2 > 0 일 때, 의 벡터궤적은? 65 목표값이 시간적으로 임의로 변하는 경우의 제어로서 서보기구가 속하는 것은? 66 기준권선과 제어권선의 두 고정자권선이 있으며, 90도 위상차가 있는 2상 전압을 인가하여 회전자계를 만들어서 회전자를 회전시키는 전동기는? 67 Im sin(ωt+θ)의 전류와 Em cos(ωt-Φ)인 전압사이의 위상차는? 68 다음 특성 방정식 중 계가 안정될 필요조건을 갖춘 것은? 69 220V, 1kW의 전열기에서 전열선의 길이를 2배로 늘리면 소비전력은 늘리기 전의 전력에 비해 몇 배로 변화하는가? 70 교류전류의 흐름을 방해하는 소자는 저항이외에도 유도코일, 콘덴서 등이 있다. 유도코일과 콘덴서 등에 대한 교류전류의 흐름을 방해하는 저항력을 갖는 것을 무엇이라고 하는가? 71 그림과 같이 콘텐서 3F와 2F가 직렬로 접속된 회로에 전압 20V를 가하였을 때 3F 콘텐서 단자의 전압 V1은 몇 V 인가? 72 그림과 같은 브리지정류기는 어느 점에 교류입력을 연결해야 하는가?
App Store Google Play
오늘학습 예시 이미지

시험에 합격하려면
복습을 제대로 해야 합니다.

오늘학습은 스스로 기억을 떠올리고 계획적으로 복습할 수 있도록 설계돼 있어요.
그것도, 가장 과학적인 방식으로요!

능동적 회상

능동적 회상
(Active Recall)

배운 내용을 단순 읽으며 반복하는 것이 아니라,
능동적으로 기억하고 있는지를
스스로 테스트하며
공부할 수 있는
학습 환경을 제공해 학습 효과를 높여요

간격 반복 학습

간격 반복 학습
(Spaced Repetition)

에빙하우스 망각곡선을 바탕으로
가장 최적의 시점에 복습을 제공하여
배운 내용이 잊히지 않도록 장기 기억화해요

Data 기반의
뇌과학적 복습 시스템

학습 결과 Data를 분석해, 문제별 최적화된
반복 학습량을
자동으로 분배해요.
학습에 소요되는 시간을 최소화하는
동시에
단기 기억을 장기 기억으로 전환해줘요.

36만 개 이상의
기출문제 무료 제공

공무원 및 약 300여종의 자격증 시험 기출문제
36만개
이상을 무료로 이용할 수 있어요.
여러 앱을 설치할 필요
없이, 오늘학습 하나로
모든 시험을 준비할 수 있어요.

다양한 문제 유형으로 만드는
나만의 단어장&문제집

기출 외에도 외워야 하는 내용은
객관식, 주관식, 카드, 빈칸
등 다양한 형식으로
직접 만들어 보세요. 내 학습 스타일에
맞게
나만의 단어장과 문제집을 만들 수 있어요.

시험별 체계적인
문제 관리

시험에 문제를 추가해 체계적으로
관리할 수 있어요.
주제나 단원별로
분류하고 싶다면,
시험에 챕터를 만들어
문제를 추가할 수도 있어요.

수십만 명이
오늘학습을 사랑합니다

앱 스토어 평점 4.9
구글 플레이 평점 4.8
누적 회원수 100,000+
지금 오늘학습을
시작해보세요
지금 시작하기
문제 선택