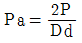
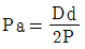
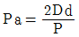
로프와 도르래 홈과의 면압 관계식으로 옳은 것은? (단, Pa는 면압, P는 로프에 걸리는 하중, D는 주 도르래의 지름, d는 로프의 공칭지름이다.)
지금 시작하기 →

・・・ 문제은행 승강기산업기사(2019년 3회) 24번

승강기산업기사 2019년 09월 24번

로프와 도르래 홈과의 면압 관계식으로 옳은 것은? (단, Pa는 면압, P는 로프에 걸리는 하중, D는 주 도르래의 지름, d는 로프의 공칭지름이다.)

1
2
3
4
단축키
이전 문제로 이동은 키를 누르고, 다음 문제로 이동은 키를 누르세요
이전 문제 , 다음 문제
문제(80)
13 엘리베이터의 과부하감지장치에 대한 설명으로 틀린 것은? 14 에스컬레이터 및 무빙워크 출입구 근처의 주요표지판에 포함하지 않아도 되는 문구는? 15 정전 시에는 보조 전원공급장치에 의하여 엘리베이터를 몇 시간 이상 운행시킬 수 있어야 하는가? 16 유압식엘리베이터에서 펌프의 토출압력이 떨어져서 실린더의 기름이 역류하여 카가 자유낙하 하는 것을 방지하는 역할을 하는 밸브는? 17 승강로가 갖추어야 할 조건이 아닌 것은? 18 카 천장에 비상구출문이 설치된 경우, 유효개구부의 크기는 얼마 이상이어야 하는가? 19 화재 등 재난 발생 시 거주자의 피난활동에 적합하게 제조·설치된 엘리베이터로서 평상시에는 승객용으로 사용하는 엘리베이터는? 20 에스컬레이터의 특징으로 틀린 것은? 21 트랙션식 권상기 도르래와 로프의 미끄러짐 관계에 대한 설명으로 옳은 것은? 22 인버터의 입력측 회로에서 전원전압과 직류전압과의 전압차에 의해 충전전류가 전원에서 기괘시터로 유입되어 전원전압의 피크부분이 절단파형으로 나타나는 것은? 23 파이널 리미트 스위치(Final Limit Switch)에 대한 설명으로 틀린 것은? 24 로프와 도르래 홈과의 면압 관계식으로 옳은 것은? (단, Pa는 면압, P는 로프에 걸리는 하중, D는 주 도르래의 지름, d는 로프의 공칭지름이다.)
37 그림은 유압엘리베이터의 블리드오프 회로의 하강운전 시 속도, 유량 및 동작곡선도이다. 그림에 대한 설명으로 틀린 것은? 38 승강장도어 인터록(Door interlock)에 대한 설명으로 옳은 것은? 39 반복하중을 받고 있는 인장강도 75kg/mm2의 연강봉이 있다. 허용응력을 25kg/mm2로 할 때 안전율은 얼마인가? 40 다음과 같은 전동기의 내열등급 중 가장 높은 온도까지 견딜 수 있는 것은? 41 압력 제어 밸브의 종류로 틀린 것은? 42 지름이 50mm인 원형 단면봉의 길이가 1m이다. 이 봉이 2개의 강체에 20℃에서 고정하였다. 온도가 30℃가 되었을 때, 이 봉에 발생하는 압축응력은? (단, 봉의 열팽창계수는 12×10-6/℃, 세로탄성계수는 E = 207GPa이다.) 43 관 끝을 나팔 모양으로 벌리는 가공으로 보통 90° 각도로 작게 가공하는 것은? 44 플라스틱 수지로 수축이 적고 우수한 전기적 특성 및 강한 물리적 성질을 가지고 있어 관재제작, 용기성형, 페인트, 접착제 등에 널리 사용되는 염기화성 수지는? 45 코일스프링의 소선지름(d)을 스프링의 처짐량식에서 구하고자 할 때, 다음 중 반드시 필요한 요소가 아닌 것은? 46 그림과 같이 길이 1m의 사각단면인 외팔보에 최대처짐을 0.2cm로 제한하고자 한다. 이보에 작용하는 집중하중 P는 약 몇 kN이어야 하는가? (단, 재료의 세로탄성계수는 2×105N/mm2이다.) 47 두 축이 평행하고, 두 축의 중심선이 약간 어긋났을 경우에 각 속도의 변화 없이 토크를 전달시키려고 할 때 사용하는 축이음은? 48 리벳이음의 효율에 대한 설명으로 틀린 것은?
49 연삭숫돌의 결함에서 숫돌 입자의 표면이나 기공에 침칩이 메워져서 집을 처리하지 못하여 연식성이 나빠지는 현상은? 50 두랄루민(duralumin)의 전체 성분에서 원소 함유량이 가장 많은 것은? 51 두 축이 평행하지도 교차하지도 않는 경우 사용하는 기어는? 52 다음 중 강인성을 증가시켜 내열, 내식, 내마모성이 풍부하기 때문에 주로 기어, 핀, 축류에 사용되는 기계구조용 합금강은? 53 단면적이 25cm2인 원형기둥에 10kN의 압축하중을 받을 때 기둥 내부에 생기는 압축응력은 몇 MPa인가? 54 축과 보스 사이에 2~3곳을 축 방향으로 쪼갠 원뿔을 때려 박아 축과 보스를 헐거움 없이 고정할 수 있는 키는? 55 일명 미끄럼 키라고도 하며 회전 토크를 전달함과 동시에 보스가 축 방향으로 이동할 수 있는 키는? 56 진양정이 30m이고, 급수량이 1.2m3/min인 펌프를 설계할 때, 펌프의 효율을 0.75로 하면 펌프의 축동력은 약 몇 kW인가? 57 유압기기에 사용되는 유압 작동유의 구비조건으로 옳은 것은? 58 마이크로미터의 측정면이나 블록 게이지의 측정면과 같이 비교적 작고, 정밀도가 높은 측정물의 평면도 검사에 사용하는 측정기로 가장 적합한 것은? 59 다음 중 아크 용접에서 언더 컷(under cut)의 발생 원인으로 가장 적합한 것은? 60 주조형 목형(원형)을 실물치수보다 크게 만드는 가장 중요한 이유는?
App Store Google Play
오늘학습 예시 이미지

시험에 합격하려면
복습을 제대로 해야 합니다.

오늘학습은 스스로 기억을 떠올리고 계획적으로 복습할 수 있도록 설계돼 있어요.
그것도, 가장 과학적인 방식으로요!

능동적 회상

능동적 회상
(Active Recall)

배운 내용을 단순 읽으며 반복하는 것이 아니라,
능동적으로 기억하고 있는지를
스스로 테스트하며
공부할 수 있는
학습 환경을 제공해 학습 효과를 높여요

간격 반복 학습

간격 반복 학습
(Spaced Repetition)

에빙하우스 망각곡선을 바탕으로
가장 최적의 시점에 복습을 제공하여
배운 내용이 잊히지 않도록 장기 기억화해요

Data 기반의
뇌과학적 복습 시스템

학습 결과 Data를 분석해, 문제별 최적화된
반복 학습량을
자동으로 분배해요.
학습에 소요되는 시간을 최소화하는
동시에
단기 기억을 장기 기억으로 전환해줘요.

36만 개 이상의
기출문제 무료 제공

공무원 및 약 300여종의 자격증 시험 기출문제
36만개
이상을 무료로 이용할 수 있어요.
여러 앱을 설치할 필요
없이, 오늘학습 하나로
모든 시험을 준비할 수 있어요.

다양한 문제 유형으로 만드는
나만의 단어장&문제집

기출 외에도 외워야 하는 내용은
객관식, 주관식, 카드, 빈칸
등 다양한 형식으로
직접 만들어 보세요. 내 학습 스타일에
맞게
나만의 단어장과 문제집을 만들 수 있어요.

시험별 체계적인
문제 관리

시험에 문제를 추가해 체계적으로
관리할 수 있어요.
주제나 단원별로
분류하고 싶다면,
시험에 챕터를 만들어
문제를 추가할 수도 있어요.

수십만 명이
오늘학습을 사랑합니다

앱 스토어 평점 4.9
구글 플레이 평점 4.8
누적 회원수 100,000+
지금 오늘학습을
시작해보세요
지금 시작하기
문제 선택