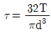
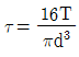
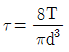
비틀림을 받는 원형 축에서 축의 지름을 d, 비틀림 모멘트를 T라고 할 때 최대전단응력 τ를 구하는 식은?
지금 시작하기 →

・・・ 문제은행 승강기산업기사(2018년 2회) 60번

승강기산업기사 2018년 09월 60번

비틀림을 받는 원형 축에서 축의 지름을 d, 비틀림 모멘트를 T라고 할 때 최대전단응력 τ를 구하는 식은?

1
2
3
4
단축키
이전 문제로 이동은 키를 누르고, 다음 문제로 이동은 키를 누르세요
이전 문제 , 다음 문제
문제(80)
13 전망용 엘리베이터의 카에 사용할 수 있는 유리가 아닌 것은? 14 급제동시나 지진, 기타의 진동에 의해 주로프가 벗겨질 우려가 있는 경우에는 도르래에 로프 이탈방지장치 등을 설치하여야 한다. 다음 중 설치하지 않아도 되는 도르래는? 15 카가 충돌하는 것을 방지하기 위하여 최상, 최하층의 감속 정지할 수 있는 거리에 설치하는 안전장치는? 16 난간 폭이 1200mm인 에스컬레이터의 층고가 5100mm인 경우 적재하중은 약 몇 kg인가? (단, 에스컬레이터의 설치각도는 30°이다.)(오류 신고가 접수된 문제입니다. 반드시 정답과 해설을 확인하시기 바랍니다.) 17 엘리베이터의 카 속도가 정격속도보다 빠를 때 제일 먼저 작동되는 안전장치는? 18 도르래의 마모량을 줄이기 위한 방법이 아닌 것은? 19 수평보행기의 경사도는 몇 도[°] 이하이어야 하는가? 20 아래의 주차장치중 평균 입출고시간이 가장 빠른 것은? 21 다음 내용에서 ( ) 안에 기준으로 옳은 것은? 22 조명전원 인입선 굵기 계산식으로 옳은 것은? (단, A : 전선의 굵기(mm2), R : 전선계수, L : 전선로의 길이(m), IL : 한 대당 조명용 회로 전 전류(A), E : 조명용 전원전압(V), e : 허용 전압강하율(%), K : 전압강하계수, N : 전원을 공용하는 병렬설치 대수(대) 이다.) 23 파이널 리미트 스위치에 대한 설명으로 틀린 것은? 24 베어링 메탈 재료의 구비조건이 아닌 것은?
49 그림에서 강판의 두께는 10mm, 펀치의 직경은 20mm이고 펀치가 누르는 힘을 10kN이라 할 때 강판에 발생하는 전단응력은 약 몇 N/mm2인가?(문제 복원 오류로 그림이 없습니다. 정확한 그림 내용을 아시는분 께서는 자유게시판에 등록 부탁 드립니다. 정답은 1번 입니다.) 50 강을 담금질 할 때 담금질액 중 물은 몇 ℃ 이상이 되면 냉각효과가 크게 변하는가? 51 유성형 내면연삭기에 대한 설명으로 옳지 않은 것은? 52 핸드 탭으로 나사가공을 할 경우 최종으로 사용하는 탭은? 53 아크 용접 시 용접전류가 아주 낮을 때 생기는 결함이 아닌 것은? 54 양단을 완전히 고정한 0℃의 구리봉 온도를 50℃로 높였을 때 봉의 내부에 생기는 압축응력은 약 몇 N/mm2 인가? (단, 구리 봉의 세로 탄성계수는 9100 N/mm2, 선팽창계수는 0.000016/℃ 이다.) 55 유압펌프의 입구와 출구에서 진공계 또는 압력계의 지침이 크게 흔들리고 송출량이 급변하는 현상은? 56 나사의 끝을 침탄 처리한 작은 나사로서, 주로 얇은 판의 연결에 사용하며, 암나사를 만들지 않고 드릴 구멍에 끼워 암나사를 내면서 조여지는 나사는? 57 유압기계에서 작동유에 관한 설명으로 틀린 것은? 58 고속도강의 대표적인 재료는 18-4-1형이라고 불리는 것인데, 이 재료의 표준 조성으로 옳은 것은? 59 기어에 관한 설명으로 옳지 않은 것은? 60 비틀림을 받는 원형 축에서 축의 지름을 d, 비틀림 모멘트를 T라고 할 때 최대전단응력 τ를 구하는 식은?
App Store Google Play
오늘학습 예시 이미지

시험에 합격하려면
복습을 제대로 해야 합니다.

오늘학습은 스스로 기억을 떠올리고 계획적으로 복습할 수 있도록 설계돼 있어요.
그것도, 가장 과학적인 방식으로요!

능동적 회상

능동적 회상
(Active Recall)

배운 내용을 단순 읽으며 반복하는 것이 아니라,
능동적으로 기억하고 있는지를
스스로 테스트하며
공부할 수 있는
학습 환경을 제공해 학습 효과를 높여요

간격 반복 학습

간격 반복 학습
(Spaced Repetition)

에빙하우스 망각곡선을 바탕으로
가장 최적의 시점에 복습을 제공하여
배운 내용이 잊히지 않도록 장기 기억화해요

Data 기반의
뇌과학적 복습 시스템

학습 결과 Data를 분석해, 문제별 최적화된
반복 학습량을
자동으로 분배해요.
학습에 소요되는 시간을 최소화하는
동시에
단기 기억을 장기 기억으로 전환해줘요.

36만 개 이상의
기출문제 무료 제공

공무원 및 약 300여종의 자격증 시험 기출문제
36만개
이상을 무료로 이용할 수 있어요.
여러 앱을 설치할 필요
없이, 오늘학습 하나로
모든 시험을 준비할 수 있어요.

다양한 문제 유형으로 만드는
나만의 단어장&문제집

기출 외에도 외워야 하는 내용은
객관식, 주관식, 카드, 빈칸
등 다양한 형식으로
직접 만들어 보세요. 내 학습 스타일에
맞게
나만의 단어장과 문제집을 만들 수 있어요.

시험별 체계적인
문제 관리

시험에 문제를 추가해 체계적으로
관리할 수 있어요.
주제나 단원별로
분류하고 싶다면,
시험에 챕터를 만들어
문제를 추가할 수도 있어요.

수십만 명이
오늘학습을 사랑합니다

앱 스토어 평점 4.9
구글 플레이 평점 4.8
누적 회원수 100,000+
지금 오늘학습을
시작해보세요
지금 시작하기
문제 선택