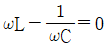
R-L-C 직렬회로에서 소비전력이 최대가 되는 조건은?
지금 시작하기 →

・・・ 문제은행 승강기산업기사(2020년 2회) 68번

승강기산업기사 2020년 08월 68번

R-L-C 직렬회로에서 소비전력이 최대가 되는 조건은?

1
2
3
4
단축키
이전 문제로 이동은 키를 누르고, 다음 문제로 이동은 키를 누르세요
이전 문제 , 다음 문제
문제(80)
13 전기식 엘리베이터의 구성요소가 아닌 것은? 14 유압식 엘리베이터에서 유압회로의 압력이 설정값 이상으로 되면 밸브를 열어 오일을 탱크로 돌려보내어 압력이 과도하게 상승하는 것을 방지하는 밸브는? 15 소방구조용(비상용) 엘리베이터의 구조에 대한 설명으로 틀린 것은? 16 층고가 6m를 초과하는 경우 에스컬레이터의 경사도는 몇 도를 초과하지 않아야 하는가? 17 가공이 쉽고 초기 마찰력이 우수하며 쐐기작용에 의해 마찰력은 크지만 면압이 높고 권상로프와 접하는 부분의 각도가 작게 되어 트랙션 비의 값이 작아지게 되는 단점을 갖는 로프의 홈 형상은? 18 카의 실속도와 지령속도를 비교하여 사이리스터의 점호각을 바꿔 유도전동기의 속도를 제어하는 방식은? 19 비선형 특성을 갖는 에너지 축적형 완충기가 카의 질량과 정격하중 또는 균형추의 질량으로 정격속도의 115%의 속도로 완충기에 충돌할 때에 대한 설명으로 틀린 것은? 20 다음 중 와이어로프의 구조에서 심강의 주요 기능으로 가장 적절한 것은? 21 4극 3상, 정격전압이 220V, 주파수가 60Hz인 유도전동기가 슬립 5%로 회전하여 출력 10kW를 낸다면, 이때 토크는 약 몇 N·m인가? 22 다음 매다는 장치(현수)에 대한 기준 중 괄호 안에 알맞은 수치는? 23 도어에 이물질이 끼었을 때 이것을 감지하는 문닫힘 안전장치의 종류가 아닌 것은? 24 주행안내(가이드) 레일의 규격 표시에서 공칭하중은 몇 m를 기준으로 하는가?
25 동력전원 설비용량을 산정하는데 필요한 요소가 아닌 것은? 26 다음 그림과 같이 보에 하중이 작용할 때 A지점의 반력 RA는? 27 엘리베이터용 T형 주행안내(가이드) 레일의 표준길이는 약 몇 m 인가? 28 카 내부에 있는 사람에 의한 카문의 개방을 제한하기 위하여 카가 운행 중일 때, 카문을 개방하기 위해 필요한 힘은 최소 몇 N 이상이어야 하는가? 29 추락방지안전장치(비상정지장치)가 작동하는 카, 균형추 또는 평형추의 주행안내(가이드) 레일의 경우 주행안내 레일 및 고정(브래킷, 분리 빔)에 대해 계산된 최대 허용 휨은 몇 mm 인가? 30 카의 추락방지안전장치(비상정지장치)는 점차 작동형이 사용되어야 하지만 정격속도가 최대 몇 m/s 이하인 경우에는 즉시 작동형이 사용될 수 있는가? 31 권상기의 관련된 설명 중 틀린 것은? 32 카에는 카 조작반 및 카 벽에서 100mm 이상 떨어진 카 바닥 위로 1m 이내에 모든 지점에 몇 lx 이상으로 비추는 전기조명장치가 영구적으로 설치되어야 하는가? 33 다음과 같은 조건일 때 에스컬레이터 전동기의 용량은 약 몇 kW 인가? 34 재료의 탄성한도, 허용응력에 대한 설명으로 틀린 것은? 35 매다는 장치(현수)의 구분에 따른 최소 안전율 기준수치의 연결이 틀린 것은? 36 엘리베어터의 동력전원이 3ø440V인 경우 제어반에 필요한 접지공사의 접지저항 값은 몇 Ω 이하이어야 하는가?
App Store Google Play
오늘학습 예시 이미지

시험에 합격하려면
복습을 제대로 해야 합니다.

오늘학습은 스스로 기억을 떠올리고 계획적으로 복습할 수 있도록 설계돼 있어요.
그것도, 가장 과학적인 방식으로요!

능동적 회상

능동적 회상
(Active Recall)

배운 내용을 단순 읽으며 반복하는 것이 아니라,
능동적으로 기억하고 있는지를
스스로 테스트하며
공부할 수 있는
학습 환경을 제공해 학습 효과를 높여요

간격 반복 학습

간격 반복 학습
(Spaced Repetition)

에빙하우스 망각곡선을 바탕으로
가장 최적의 시점에 복습을 제공하여
배운 내용이 잊히지 않도록 장기 기억화해요

Data 기반의
뇌과학적 복습 시스템

학습 결과 Data를 분석해, 문제별 최적화된
반복 학습량을
자동으로 분배해요.
학습에 소요되는 시간을 최소화하는
동시에
단기 기억을 장기 기억으로 전환해줘요.

36만 개 이상의
기출문제 무료 제공

공무원 및 약 300여종의 자격증 시험 기출문제
36만개
이상을 무료로 이용할 수 있어요.
여러 앱을 설치할 필요
없이, 오늘학습 하나로
모든 시험을 준비할 수 있어요.

다양한 문제 유형으로 만드는
나만의 단어장&문제집

기출 외에도 외워야 하는 내용은
객관식, 주관식, 카드, 빈칸
등 다양한 형식으로
직접 만들어 보세요. 내 학습 스타일에
맞게
나만의 단어장과 문제집을 만들 수 있어요.

시험별 체계적인
문제 관리

시험에 문제를 추가해 체계적으로
관리할 수 있어요.
주제나 단원별로
분류하고 싶다면,
시험에 챕터를 만들어
문제를 추가할 수도 있어요.

수십만 명이
오늘학습을 사랑합니다

앱 스토어 평점 4.9
구글 플레이 평점 4.8
누적 회원수 100,000+
지금 오늘학습을
시작해보세요
지금 시작하기
문제 선택