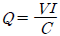
댐의 방수로 크기를 결정하기 위한 최대홍수량 산정방법 중 합리식(Ramser's rational formula)의 공식은? (단, 식에서 Q:유역출구에서의 최대홍수유량, C:배수 유역의 특성에 따라 결정되는 유출계수, V: 유속, I: 강우강도, A: 유역면적을 나타낸다.)
지금 시작하기 →

・・・ 문제은행 산림기사(2012년 2회) 91번

산림기사 2012년 05월 91번

댐의 방수로 크기를 결정하기 위한 최대홍수량 산정방법 중 합리식(Ramser's rational formula)의 공식은? (단, 식에서 Q:유역출구에서의 최대홍수유량, C:배수 유역의 특성에 따라 결정되는 유출계수, V: 유속, I: 강우강도, A: 유역면적을 나타낸다.)

1
2
3
4
단축키
이전 문제로 이동은 키를 누르고, 다음 문제로 이동은 키를 누르세요
이전 문제 , 다음 문제
문제(100)
37 다음 포유류 중 현재 우리나라의 천연기념물이 아닌 것은? 38 잣송이를 가해하여 수확을 감소시키는 중요한 해충이며, 구과속의 가해부위에 벌레똥을 채워놓고 외부로도 똥을 배출하여 구과표면에 붙여 놓으며 신초에도 피해를 주는 해충은? 39 세균이 식물에 침입할 수 있는 자연개구부에 해당하지 않는 것은? 40 파이토플라스마에 의한 수목병의 전염방법에 속하지 않는 것은? 41 임반 ㆍ 소반의 구획선 및 면적을 명백히 하기 위하여 실시하는 측량으로 가장 적합한 것은? 42 재적 측정이 가능하고 목재로서 이용가치가 높은 임목은 시장역산가식에 의하여 평가할 수 있다. 아래 식은 시장역산가를 나타내는 관계식이다. 여기서 b는 무엇인가? (단, x는 임목단가, f 는 이용율(조재율), a는 생산원목의 최기시장에서의 판매단가, ℓr은 자본회수기간을 나타낸다.) 43 자연휴양림의 입지선정 조건으로 거리가 먼 것은? 44 목편의 총중량이 4t, 그 중에서 무게가 20kg인 표본을 선정하여 측용기로 측정한 결과 재적이 30ℓ 이었다. 이 목편의 총재적은 얼마인가?(단, 수온이 4℃일 때 물 1kg은 1ℓ 이며, 1ℓ = 1/1000 m3 이다.) 45 손익분기점분석에 따른 총비용을 E=f+bX로 계산 할 때 이식에서 X가 뜻하는 것은?(단, 식에서 E는 총비용, f는 고정비, b는 단위당 변동비이다.) 46 중앙 직경이 10cm, 재장이 10m인 통나무의 재적을 Huber식으로 계산하면? 47 우리나라에서 임지의 생산력을 수치로 나타낸 지위지수(site index)는 무엇을 기준으로 작성하는가? 48 법정연간벌채량을 NAC, 법정생장량을 ln, 벌기평균생장량을 MAI, 윤벌기를 R, 벌기임분의 재적을 Vr로 표시할 때 이 4가지 사항의 관계를 바르게 나타낸 것은?
49 자연휴양림의 공익적 효용을 직접효과와 간접효과로 구분할 때 간접효과에 해당되는 것은? 50 산림경영계획 수립을 위한 임상조사에서 입목지를 활엽수림으로 구분하는 기준은? 51 산림청장 또는 시 ㆍ 도지사가 산림문화 휴양 기본 계획 및 지역계획을 수립하거나 이를 변경하고자 할 때에 실시해야하는 기초조사 내용은? 52 연간 임산품생산과 관련된 고정비가 2000000원이고, 변동비가 5000원이다. 임산품의 판매단가가 6000원일 경우에 손익분기점에 해당하는 임산품의 생산량을 계산하면? 53 다음 중 Nicklisch의 임업자산 계산 등식으로 맞는 것은? (단, 총재산(자산)을 A, 타인자본(부채)을 P, 자기자본(자본)을 K라 한다.) 54 자연휴양림의 수림 공간 형성 특성 중 레크레이션 활동 공간으로써 부적합하나 교육적ㆍ학습적 활동이 가능한 수림형은? 55 임목의 평가방법에 대한 분류방식으로 옳지 않은 것은? 56 다음 임지기망가(Bu)에 대한 설명 중 틀린 것은? 57 임업소득에 작용하는 생산요소에 포함되지 않는 것은? 58 사유림의 경영에 있어 공동산림사업(협업경영)을 권장하는 것이 바람직한 경영형태는? 59 임업경영의 생산요소 중 생산수단에 속하는 것은? 60 표준목법 중에서 전임목의 몇 개의 계급(grade)으로 나누고 각 계급의 흉고단면적을 동일하게 하여 임분의 재적을 추정하는 방법은?
61 임도의 곡선반경이 13m 이상~14m 미만인 경우 곡선부에 증가시켜야하는 폭의 너비(확대기준)는 몇 m 이상이어야 하는가? 62 임도 노면의 유지ㆍ보수 내용 중에서 틀린 것은? 63 다음 중 임도의 설계속도와 가장 관련이 없는 것은 어느 것인가? 64 평판으로 세부측량을 실시할 때 측량지역에 장애물이 적고 넓게 시준할 경우에 가장 능률적인 방법은? 65 법률상 규정한 우리나라의 간선임도 ㆍ 지선임도의 유효너비는 몇 m를 기준으로 하는가? 66 지형도 상에서 임도 노선을 측설하고자 한다. 지형도의 등고선 간격이 5m 이고, 두 등고선과 교차하는 지점의 임도 종단 물매를 10%로 할 때 수평거리는 얼마나 되겠는가? 67 일반적인 토사로 구성된 절개지 비탈면에 비탈격자틀 붙이기 공법을 채용하고자 한다. 경관을 우선적으로 고려했을 때 격자를 내부에 적용할 가장 적합한 방법은? 68 다음 중 땅밀림지대 또는 지반이 연약한 곳에 시공하기에 가장 적합한 비탈흙막이공법은? 69 트래버스 측량성과 계산과정에서 합위거, 합경거를 구하는 가장 큰 이유는 무엇인가? 70 집재가선을 설치할 때, 본줄을 설치하기 위한 지주에서 집재기 쪽의 지주를 무엇이라 하는가? 71 임도 개설시 흙깎기(땅깎기) 작업에 대한 설명으로 옳지 않은 것은? 72 임도망 배치의 효율성 정도를 나타내는 개발지수에 대한 설명으로 틀린 것은?
73 다음 중 임도의 공사원가 산출시 순공사비에 속하지 않는 것은? 74 성토사면에 있어서 소단에 대한 설명으로 가장 적합하지 않은 것은? 75 임도 시설시 곡선부 안쪽에 절토부가 있을 경우 시야가 가려지므로 층따기를 하여야 한다. 곡선의 내각이 50°, 곡선반지름이 45m 일 때 안쪽 층따기의 거리는 얼마로 하여야 하는가? (단, cos 25° = 0.906, cos50° = 0.642 이다.) 76 다음 중 종단물매의 산출에 따른 설명으로 가장 올바른 내용은? 77 다음 지형의 표시방법 중 자연적 도법에 해당하는 것은? 78 트래버스 측량을 실시한 바 폐합된 지역의 측량시 장애물로 인하여 측선 CD의 방위각 및 거리를 측정하지 못하였다. 측량결과가 아래의 표와 같을 경우 빈칸 측선 CD의 에 적당한 값을 산출하면? (단, 위 경거 오차는 없는 것으로 한다.) 79 간선임도 ㆍ 지선임도의 시설규정에서 정하고 있는 성토한 경사면의 기울기 범위는? 80 다음 기계톱의 구조 중에서 동력전달부에 속하지 않는 것은? 81 증발산 중에서 식생으로 피복된 지면으로부터의 증발량과 증산량만을 특히 무엇이라 하는가? 82 흙댐에 관한 설명 중 잘못된 것은? 83 돌을 쌓아 올릴 때 뒷채움에 콘크리트를 사용하고, 줄눈에 모르타르를 사용하는 돌쌓기는 무엇인가? 84 다음의 사방공종 중에서 지하수 처리공법에 속하는 것은?
App Store Google Play
오늘학습 예시 이미지

시험에 합격하려면
복습을 제대로 해야 합니다.

오늘학습은 스스로 기억을 떠올리고 계획적으로 복습할 수 있도록 설계돼 있어요.
그것도, 가장 과학적인 방식으로요!

능동적 회상

능동적 회상
(Active Recall)

배운 내용을 단순 읽으며 반복하는 것이 아니라,
능동적으로 기억하고 있는지를
스스로 테스트하며
공부할 수 있는
학습 환경을 제공해 학습 효과를 높여요

간격 반복 학습

간격 반복 학습
(Spaced Repetition)

에빙하우스 망각곡선을 바탕으로
가장 최적의 시점에 복습을 제공하여
배운 내용이 잊히지 않도록 장기 기억화해요

Data 기반의
뇌과학적 복습 시스템

학습 결과 Data를 분석해, 문제별 최적화된
반복 학습량을
자동으로 분배해요.
학습에 소요되는 시간을 최소화하는
동시에
단기 기억을 장기 기억으로 전환해줘요.

36만 개 이상의
기출문제 무료 제공

공무원 및 약 300여종의 자격증 시험 기출문제
36만개
이상을 무료로 이용할 수 있어요.
여러 앱을 설치할 필요
없이, 오늘학습 하나로
모든 시험을 준비할 수 있어요.

다양한 문제 유형으로 만드는
나만의 단어장&문제집

기출 외에도 외워야 하는 내용은
객관식, 주관식, 카드, 빈칸
등 다양한 형식으로
직접 만들어 보세요. 내 학습 스타일에
맞게
나만의 단어장과 문제집을 만들 수 있어요.

시험별 체계적인
문제 관리

시험에 문제를 추가해 체계적으로
관리할 수 있어요.
주제나 단원별로
분류하고 싶다면,
시험에 챕터를 만들어
문제를 추가할 수도 있어요.

수십만 명이
오늘학습을 사랑합니다

앱 스토어 평점 4.9
구글 플레이 평점 4.8
누적 회원수 100,000+
지금 오늘학습을
시작해보세요
지금 시작하기
문제 선택