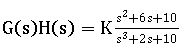
개루프 전달함수가 일 때, 근궤적의 모양을 옳게 설명한 것은?
지금 시작하기 →

・・・ 문제은행 항공기사(2010년) 85번

항공기사 2010년 07월 85번

개루프 전달함수가 일 때, 근궤적의 모양을 옳게 설명한 것은?

1
중심이 (-1, 0)이고, 반지름이 3인 원의 일부
2
중심이 (0,0)이고, 반지름이 3인 원의 일부
3
중심이 (-1.0)이고, 반지름이 √10인 원의 일부
4
중심이 (0.0)이고, 반지름이 √10인 원의 일부
단축키
이전 문제로 이동은 키를 누르고, 다음 문제로 이동은 키를 누르세요
이전 문제 , 다음 문제
문제(100)
1 다음 중 헬리콥터 주 회전날개의 플래핑의 원인이 아닌 것은? 2 헬리콥터가 이상적인 루프비행을 하는 과정 중 수직상승 할 때의 양력은? 3 무게가 3300kgf 인 비행기의 중심위치를 2m 전방으로 이동할 경우 어떤 모멘트의 변화와 같은가? 4 유도항력(Induced drag)의 직접적인 발생 원인으로 옳은 것은? 5 항공기 최대 착륙중량(maximum landing weight) 이란? 6 비행기가 정적 안정이 되고, 동적으로도 안정이 되어 있다면 외부에서 교란을 받았을 경우 어떠한 운동을 하는가? 7 얇은 날개이론에 의한 아음속 2차원 대칭날개의 받음각에 대한 양력계수 변화율은? 8 그림과 같이 이상기체의 공기가 원통중위를 지나가고 있을 때 원통주변의 압력과 흐름속도에 대한 설명으로 옳은 것은? (단, θ는 원의 중심과 기체가 흘러오는 방향을 기점으로 시계방향으로 증가하는 각도이다.) 9 폭이 3m, 길이 10m 인 매끈한 날개가 50m/s 의 유체 흐름 속에 놓여 있을 때 앞전에서 부터 1m 뒤쪽의 경계층 두께는 약 몇 cm인가? (단, 동점성계수 1.5×10-5 m2/s 이며, 경계층 두께식은 층류의 L. prandtl 식을 이용하기 위하여 유체흐름은 층류로 가정한다. ) 10 비행기의 무게가 8600kgf 이고, 날개면적이 60m2로 수평비행 시 플랩을 사용하지 않을 때 실속 속도가 80 m/s 라면, 장착 된 플랩의 30%를 사용할 때 실속 속도는 몇 m/s가 되겠는가? (단, 플랩의 30% 사용 시 30%의 코드 증가, 100%의 최대양력계수 증가 효과가 있다. ) 11 속도 포텐셜 함수가 Φ=-5xy 일 때 유동장의 속도 벡터는? (단, I, j는 x, y 방향의 단위벡터이다. ) 12 프로펠러이 효율을 구하는 식으로 옳은 것은? (단, J:전진비, CT:추력계수, CP:동력계수 이다.)
49 그림과 같이 단순보와 외팔보에서 작용하는 하중(P)이 같을 때 단순보에서의 최대 처짐량(δ1)은 외팔보에서이 최대 처짐량(δ2)의 몇 배인가? 50 기둥의 단말조건과 임계하중의 관계인 오일러(Euler)의 식 에서 그림과 같이 일단고정과 타단 자유일 때의 단말조건계수 n은? 51 중량 300kgf의 비행기가 경사각 30°로 등고도 선회 비행을 하고 있다. 날개에 발생하는 양력는 몇 kgf 인가? 52 기체에 작용하는 공기력 중 항력에 대한 설명으로 틀린 것은? 53 질량이 150kg 인 모터가 각각 120kN/m의 스프링상수(k)를 가지는 4개의 스프링으로 지지되어 있을 때, 공짂의 짂동수는 약 몇 rpm인가? 54 최고 6g(g는 중력가속도)의 가속도로 연직방향으로 상승하는 전투기에 무게 240kgf의 폭탄이 동일한 던단으력을 받는 4개의 볼트로 부착되어 있다. 볼트의 극한 전단하중(Ultimate shear load)은 750kgf이며, 안전계수(Safety factor)는 1.5 일 때, 각 볼트의 극한 안전 여유(Ultimate margin of safety)는 약 얼마인가? 55 그림과 같은 비행기 날개의 단면에서 비행기가 +HAA(Positive high angle of attack)일 때, 최대 압축응력이 방생되는 부분은? 56 2017 합금에 해당하면 500~510℃ 에서 용체화처리 후 수냉하여 상온 시효경화시켜 기계적 성질을 새건하여 강도가 크고 성형성도가 좋은 재료는? 57 설계제한 하중배수 2.5인 비행기의 설계 실속속도가 150km/h일 때 설계 운용속도는 약 몇 km/h인가? 58 xy 평면상의 판이 z축 방향으로 분포하중 q(x, y)를 받을 때 z 축 방향의 처짐 W(x, y)에 대한 미분방정식이 라면 판의 단위 폭당 굽힘강성계수 D는 어떻게 표현되는가? (단, ∇2는 Laplacian operator, v는 포아송비, t는 판의 두께, E는 재료의 탄성계수이다.) 59 그림과 같은 V-n 선도에서 VD가 나타내는 것은? 60 투명도가 우수하며 가볍고 강인하여 항공기 창문유리나 객실내부의 장식품에 사용되는 재료는?
85 개루프 전달함수가 일 때, 근궤적의 모양을 옳게 설명한 것은? 86 항공기의 자동조종장치로부터 요구되는 편각 명령(Deflection angle commad)애 따라 방향타(Rudder)를 구동 시키 때 이용 되는 제어방식의 명칭은? 87 항공기의 비행운동방정식을 트림조건에 대하여 선형화 하여 얻은 미분방정식은 어떤 종류의 시스템인가? 88 감쇠비(Damping ratio)가 1보다 작고 0보다 큰 제어계는 어떤 제동을 나타내는가? 89 기관회전속도 제어장치에서 회로상의 비교부(Comparator)에 해당되는 것은? 90 근궤적을 작성할 때 허수축과 근궤적과의 교점을 구하는 일반적인 방법은? 91 그림과 같이 피칭모멘트계수(Cm)-양력계수(CL) 선도를 갖는 항공기에서 현재속도 200knot에서 승강 키의 각이 δe=0° 로 트림되어 있다면 이를 δe=−5°인 수평등속비행으로 트림시키면 속도는 약 몇 knot로 되는가? 92 임의의 변수 L의 선형화 변수를 ΔL이라 할 때, 롤운동역학방정식 를 p=q=인 트림상태에서 선형화 한 결과는? (단, x, y, z 축에 대한 각가의 각속도 각 가속도 p ,q ,r , 모멘트 I 이다.) 93 다음과 같은 시스템에 대한 설명으로 옳은 것은? 94 다음과 같은 시스템의 pole의 위치로 옳은 것은? 95 제어장치에 대한 입력을 r(t), 출력을 u(t)라 할 때 램프(Ramp)입력에 대하여 잔류편차(off-set)를 발생시키는 제어방식을 나타낸 것은? 96 P, I, D 제어동작 단독 또는 그 조합으로 사용하기가 가장 부적당한 것은?
App Store Google Play
오늘학습 예시 이미지

시험에 합격하려면
복습을 제대로 해야 합니다.

오늘학습은 스스로 기억을 떠올리고 계획적으로 복습할 수 있도록 설계돼 있어요.
그것도, 가장 과학적인 방식으로요!

능동적 회상

능동적 회상
(Active Recall)

배운 내용을 단순 읽으며 반복하는 것이 아니라,
능동적으로 기억하고 있는지를
스스로 테스트하며
공부할 수 있는
학습 환경을 제공해 학습 효과를 높여요

간격 반복 학습

간격 반복 학습
(Spaced Repetition)

에빙하우스 망각곡선을 바탕으로
가장 최적의 시점에 복습을 제공하여
배운 내용이 잊히지 않도록 장기 기억화해요

Data 기반의
뇌과학적 복습 시스템

학습 결과 Data를 분석해, 문제별 최적화된
반복 학습량을
자동으로 분배해요.
학습에 소요되는 시간을 최소화하는
동시에
단기 기억을 장기 기억으로 전환해줘요.

36만 개 이상의
기출문제 무료 제공

공무원 및 약 300여종의 자격증 시험 기출문제
36만개
이상을 무료로 이용할 수 있어요.
여러 앱을 설치할 필요
없이, 오늘학습 하나로
모든 시험을 준비할 수 있어요.

다양한 문제 유형으로 만드는
나만의 단어장&문제집

기출 외에도 외워야 하는 내용은
객관식, 주관식, 카드, 빈칸
등 다양한 형식으로
직접 만들어 보세요. 내 학습 스타일에
맞게
나만의 단어장과 문제집을 만들 수 있어요.

시험별 체계적인
문제 관리

시험에 문제를 추가해 체계적으로
관리할 수 있어요.
주제나 단원별로
분류하고 싶다면,
시험에 챕터를 만들어
문제를 추가할 수도 있어요.

수십만 명이
오늘학습을 사랑합니다

앱 스토어 평점 4.9
구글 플레이 평점 4.8
누적 회원수 100,000+
지금 오늘학습을
시작해보세요
지금 시작하기
문제 선택