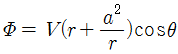
속도 포텐셜 는 반지름 a인 원통 주위를 이상유체가 순환 없이 흐를 때에 나타낸다. 원통주위에서의 최대속도는?
지금 시작하기 →

・・・ 문제은행 항공기사(2007년) 3번

항공기사 2007년 08월 3번

속도 포텐셜 는 반지름 a인 원통 주위를 이상유체가 순환 없이 흐를 때에 나타낸다. 원통주위에서의 최대속도는?

1
-3V
2
-2V
3
-V
4
-Vsinθ
단축키
이전 문제로 이동은 키를 누르고, 다음 문제로 이동은 키를 누르세요
이전 문제 , 다음 문제
문제(100)
1 표준대기권의 공기에 적용할 수 있는 관계식 중에서 가장 올바른 것은? (단, ρ=밀도, ν=속도, , P=압력, C=분자운동속도, V=동점성계수이다.) 2 고도 10000m 에서의 온도를 구하면 얼마인가? (단, 해면고도 (sea-level)에서의 온도 이다.) 3 속도 포텐셜 는 반지름 a인 원통 주위를 이상유체가 순환 없이 흐를 때에 나타낸다. 원통주위에서의 최대속도는? 4 유도항력 (Induced Drag)에 대한 설명으로 가장 관계가 먼 내용은? 5 비행기에 사용되는 에어포일이 갖추어야할 될 다음 조건 중에서 가장 이상적인 것은 (단, 양력계수:CL, 항력계수: CD) 6 수평비행 중에 돌풍을 받아 비행기의 기수가 올라갔다. 그러나 안정한 비행기는 원위치로 되돌아 오려는 모멘트가 작용한다. 이 같은 작용은 주로 무엇에 의해서 생기는가? 7 정상류 (steady-flow)에 대한 설명으로 가장 관계가 먼 내용은? 8 돌풍하중계수 (gust load factor)에 대한 설명으로 가장 올바른 내용은? 9 Dorsal Fin 을 장착하였을 경우 그 효과로 가장 옳은 것은? 10 항공기 프로펠러에 대한 설명으로 가장 올바른 것은? 11 다음 중 프로펠러의 추력을 나타내는 식으로 옳은 것은? (단, Ct:추력계수, Cp:동력계수, ⍴:밀도, n:회전속도, D:프로펠러의 지름) 12 마하수 4인 초음속 흐름에 받음각 2°인 평판 에어포일이 놓여있을 경우 항력계수는 약 얼마인가?
13 항공기의 이륙지상활주거리 (Take-off ground run distance)를 짧게 하기 위한 조건으로 가장 올바른 것은? 14 레이놀즈수 (Reynolds number)는 힘의 비 (forces ratio)로 정의 되는데 옳게 정의된 것은? 15 헬리콥터가 속도 V로 수직 상승할 때 추력을 나타내는 식으로 옳은 것은? (단,주회전 날개의 회전면에 의해 가속되는 유도속도는 △v이다.) 16 코닝각 10°인 상태에서 500rpm으로 회전하고 있는 반지름 3m인 공중정지비행을 하는 헬리콥터 주회전 날개 끝의 원주 속도는 약 얼마인가? 17 영연료 무게 (zero fuel weight)에 대한 설명 중 가장 관계가 먼 내용은? 18 비행기의 무게 3300kg의 중심위치를 2m 이동하는 경우의 모멘트 변화는 다음 중 어떤 모멘트의 변화라고 볼 수 있는가? 19 날개단면(airfoil)인 NACA 65,2-215에서 6의 의미는? 20 관성력, 탄성력,공기력의 상호작용에 의해 날개 등이 불안정하게 진동하여, 심지어는 날개가 부러질 수 있는 현상을 무엇이라 하는가? 21 수소 (H2)를 연료로 사용하는 기관의 완전연소에 필요한 공기 - 연료비 (중량비) 는 약 얼마인가? (단, 공기 중 산소의 량은 중량비로 23%이다.) 22 왕복기관 중에서 배기밸브 스템 (exhaust valve stem) 내부에 금속나트륨 (metallic sodium)을 사용하는 경우가 있는데 사용하는 주 목적은 무엇인가? 23 가솔린 엔진에 노킹 (knocking)을 방지하기 위한 방법으로 가장 관계가 먼 내용은? 24 항공기 왕복기관의 연료에 대한 설명으로 가장 관계가 먼 내용은?
49 [그림]이 나타내는 페일세이프 구조 (failsafe structure) 형식은? 50 무게 300kg인 비행기가 등고도 비행을 하면서 중심의 둘레에 각가속도 α으로 회전하고 있다. 중심으로부터 후방 4m에 있는 100kgf의 물체에 작용하는 힘 F는 약 얼마인가? 51 폭 b=6cm, 높이 h=10cm의 사각형 단면을 가지는 외팔보의 끝에 100kgf의 집중하중이 작용할 때 보의 길이를 몇 cm로 하여야 하는가? (단, 재료의 굽힘 허용응력은 80kgf/cm2 이다.) 52 법규상 T류 비행기의 최소설계제한 하중배수 n1은 얼마인가? 53 [그림]과 같이 양끝이 단순 지지된 기둥의 중간점이 다시 단순지지 되어 있다. 이 기둥이 좌굴을 일으키는 힘 P는? 54 [그림]은 세미모노코크 구조형식인 비행기의 동체 부분이다. 스트링거 AB는 인장을 받으며 인장력의 크기는 A점보다 B점에서 △P만큼 크다. 다음의 어느 식이 성립하여야 힘이 평형되는가? 55 수직 분포하중 p를 받는 평판의 처짐 w에 대한 지배 방정식은 다음과 같은 중조화 함수로 나타낼 수 있다. D의 표현식으로 가장 옳은 것은? (단, E:영률, v:아송 비, h:판의 두께, D:평판의 굽힘 강성) 56 날개의 상판부위를 설계할 때 고려하여야 하는 특성 중 중요도가 가장 낮은 것은? 57 고성능 하니콤 샌드위치 구조물에 대한 설명으로 가장 관계가 먼 내용은? 58 도면의 주요 4요소가 아닌 것은? 59 다음의 고유진동수에 대한 설명 중 이론적 정의에 가장 일치하는 내용은 어느 것인가? 60 균일분포 피로하중을 받는 패널의 중앙에 균열이 있다. 균열이 10000사이클 만에 1cm에서 1.02cm로 성장했다. 단위 사이클 당 균열의 성장도는 얼마인가?
85 전달함수 에서 시정수 T=1일 때 절점 주파수 (Break frequency) ω는? 86 [그림]은 시간에 따른 비행기의 받음각의 형태를 나타낸 것이다. 안정성의 관점에서 어떻게 설명할 수 있는가? 87 1차 미분방정식으로 되어 있는 특성함수를 가진 제어계에서 계단함수의 입력을 가한 후 시정수(time constant)만큼 시간이 경과되었을 때, 계의 응답은 최종치의 몇 %에 도달되는가? 88 특성방정식이 S2+Bs+25=0 인 제어계가 임계감쇠 (critical damping)되기 위해서는 B가 어떤 값을 가져야 하는가? 89 특성방정식이 s(s+4)(s+6)+K=0인 제어계에서 K=0~+∞ 변할 때의 근궤적 (root locus)의 실수축 상의 근 (root)의 존재영역으로 옳은 것은? 90 PIP(Proportional Integral and Differential) 제어기에 관한 설명으로 가장 옳은 것은? 91 Static Margin이란 어떤 것인가? 92 항공기의 조종면 중에서 롤 각속도 제어 속성을 가진 것은? 93 항공기를 강체로 가정하고 운동방정식을 유도했을 때 비선형 미분방정식으로 표현되는데, 이러한 시스템은 어떤 종류의 시스템에 속하는가? 94 일정한 크기의 외란이 시스템에 작용하고 있을 경우에,이 외란에 의한 영향을 완전히 제거할 수 있는 피드백 제어기법은? 95 제어기를 설계할 수 있는 선형시스템의 기본조건으로 올바른 것은? 96 적분제어기를 사용할 경우, 구동기에 포화현상이 발생하여 성능저하가 발생할 수 있다. 이러한 문제를 해결하기 위한 방법으로 가장 올바른 것은?
App Store Google Play
오늘학습 예시 이미지

시험에 합격하려면
복습을 제대로 해야 합니다.

오늘학습은 스스로 기억을 떠올리고 계획적으로 복습할 수 있도록 설계돼 있어요.
그것도, 가장 과학적인 방식으로요!

능동적 회상

능동적 회상
(Active Recall)

배운 내용을 단순 읽으며 반복하는 것이 아니라,
능동적으로 기억하고 있는지를
스스로 테스트하며
공부할 수 있는
학습 환경을 제공해 학습 효과를 높여요

간격 반복 학습

간격 반복 학습
(Spaced Repetition)

에빙하우스 망각곡선을 바탕으로
가장 최적의 시점에 복습을 제공하여
배운 내용이 잊히지 않도록 장기 기억화해요

Data 기반의
뇌과학적 복습 시스템

학습 결과 Data를 분석해, 문제별 최적화된
반복 학습량을
자동으로 분배해요.
학습에 소요되는 시간을 최소화하는
동시에
단기 기억을 장기 기억으로 전환해줘요.

36만 개 이상의
기출문제 무료 제공

공무원 및 약 300여종의 자격증 시험 기출문제
36만개
이상을 무료로 이용할 수 있어요.
여러 앱을 설치할 필요
없이, 오늘학습 하나로
모든 시험을 준비할 수 있어요.

다양한 문제 유형으로 만드는
나만의 단어장&문제집

기출 외에도 외워야 하는 내용은
객관식, 주관식, 카드, 빈칸
등 다양한 형식으로
직접 만들어 보세요. 내 학습 스타일에
맞게
나만의 단어장과 문제집을 만들 수 있어요.

시험별 체계적인
문제 관리

시험에 문제를 추가해 체계적으로
관리할 수 있어요.
주제나 단원별로
분류하고 싶다면,
시험에 챕터를 만들어
문제를 추가할 수도 있어요.

수십만 명이
오늘학습을 사랑합니다

앱 스토어 평점 4.9
구글 플레이 평점 4.8
누적 회원수 100,000+
지금 오늘학습을
시작해보세요
지금 시작하기
문제 선택