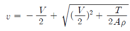
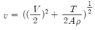
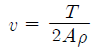
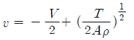
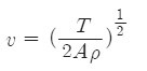
V 속도로 비행하는 프로펠러 항공기의 프로펠러 유도속도가 라면 이 항공기가 정지하였을 때의 유도속도는? (단, T : 발생추력, A : 프로펠러 회전면적, ρ : 공기밀도이다.)
지금 시작하기 →

・・・ 문제은행 항공산업기사(2017년 2회) 2번

항공산업기사 2017년 05월 2번

V 속도로 비행하는 프로펠러 항공기의 프로펠러 유도속도가 라면 이 항공기가 정지하였을 때의 유도속도는? (단, T : 발생추력, A : 프로펠러 회전면적, ρ : 공기밀도이다.)

1
2
3
4
단축키
이전 문제로 이동은 키를 누르고, 다음 문제로 이동은 키를 누르세요
이전 문제 , 다음 문제
문제(80)
13 150lbf의 항력을 받으며 200mph로 비행하는 비행기가 같은 자세로 400mph로 비행 시 작용하는 항력은 약 몇lbf 인가? 14 프로펠러의 진행률(advance ratio)을 옳게 설명한 것은? 15 동체에 붙는 날개의 위치에 따라 쳐든각 효과의 크기가 달라지는데 그 효과가 큰 것에서 작은 순서로 나열된 것은? 16 원심력에 의해 양력이 회전날개에 수직으로 작용한 결과로서 헬리콥터 회전날개 깃 끝 경로면(tip path plane)과 회전날개 깃이 이루는 각을 의미하는 용어는? 17 다음 중 세로 정안정성이 안정인 조건은?(단, 비행기가 nose down 시 음의 피칭모멘트가 발생되며, Cm은 피칭모멘트계수, α는 받음각이다.) 18 다음 중 층류 날개골에 해당하는 계열은? 19 항공기 속도와 음속의 비를 나타낸 무차원 수는? 20 항공기 이륙거리를 줄이기 위한 방법이 아닌 것은? 21 가스터빈엔진의 윤활계통에서 고온탱크계통(hot tank type)에 대한 설명으로 옳은 것은? 22 왕복엔진과 비교하여 가스터빈엔진의 특징으로 틀린 것은? 23 수동식 혼합제어장치(mixture control)를 사용하는 왕복엔진을 장착한 비행기가 순항중일 때 일반적으로 혼합제어장치의 조작 위치는? 24 성형 왕복엔진에서 마그네토(magneto)를 액세서리부(accessory section)에 부착하지 않고 엔진전방 부분에 부착하는 주된 이유는?
49 실속속도 100mph인 비행기의 설계제한 하중배수가 4일 때, 이 비행기의 설계운용속도는 몇 mph인가? 50 항공기의 외피수리에서 다음의 [조건]에 의하면 알루미늄 판재의 굽힘 허용값은 약 몇 in인가? 51 0.040in 두께의 알루미늄 판 2장을 체결하기 위해 재질이 2117인 유니버셜헤드리벳을 사용 한다면 리벳의 규격으로 적당한 것은? 52 다음 중 주조종면이 아닌 것은? 53 무게 2000kg인 항공기의 중심위치가 기준선후방 50cm에 위치하고 있으며, 기준선 전방 80cm에 위치한 화물 70kg을 기준선 후방 80cm 위치로 이동시켰을 때 새로운 중심 위치는? 54 항공기 날개의 스팬방향의 주요 구조부재로서 날개에 가해지는 공기력에 의한 굽힘모멘트를 주로 담당하는 부재는? 55 그림과 같은 트러스(truss) 구조에 하중 P가 작용할 때, 내력이 작용하지 않는 부재는?(단, 각 단위 부재의 길이는 1m 이다.) 56 특별한 지시가 없을 때 비상용 장치에 사용하는 CY(구리-카드뮴 도금)안전결선의 지름은? 57 온도가 약 700 ℉ 까지 올라가는 부위에 사용할 수 있는 안전결선 재료는? 58 단단한 방부 페인트를 유연하게하기 위해 솔벤트 유화 세척제와 혼합하여 일반 세척용으로 사용하며, 다른 보호제와 함께 바르거나 씻는 작업이 뒤따라야 하는 세척제는? 59 그림과 같은 응력-변형률 선도에서 극한응력의 위치는?(단, σ 는 응력, ε 은 변형률을 나타낸다.) 60 항공기의 날개착륙장치의 트럭형식에서 트럭위치작동기(truck position actuator)에 대한 설명으로 틀린 것은?
App Store Google Play
오늘학습 예시 이미지

시험에 합격하려면
복습을 제대로 해야 합니다.

오늘학습은 스스로 기억을 떠올리고 계획적으로 복습할 수 있도록 설계돼 있어요.
그것도, 가장 과학적인 방식으로요!

능동적 회상

능동적 회상
(Active Recall)

배운 내용을 단순 읽으며 반복하는 것이 아니라,
능동적으로 기억하고 있는지를
스스로 테스트하며
공부할 수 있는
학습 환경을 제공해 학습 효과를 높여요

간격 반복 학습

간격 반복 학습
(Spaced Repetition)

에빙하우스 망각곡선을 바탕으로
가장 최적의 시점에 복습을 제공하여
배운 내용이 잊히지 않도록 장기 기억화해요

Data 기반의
뇌과학적 복습 시스템

학습 결과 Data를 분석해, 문제별 최적화된
반복 학습량을
자동으로 분배해요.
학습에 소요되는 시간을 최소화하는
동시에
단기 기억을 장기 기억으로 전환해줘요.

36만 개 이상의
기출문제 무료 제공

공무원 및 약 300여종의 자격증 시험 기출문제
36만개
이상을 무료로 이용할 수 있어요.
여러 앱을 설치할 필요
없이, 오늘학습 하나로
모든 시험을 준비할 수 있어요.

다양한 문제 유형으로 만드는
나만의 단어장&문제집

기출 외에도 외워야 하는 내용은
객관식, 주관식, 카드, 빈칸
등 다양한 형식으로
직접 만들어 보세요. 내 학습 스타일에
맞게
나만의 단어장과 문제집을 만들 수 있어요.

시험별 체계적인
문제 관리

시험에 문제를 추가해 체계적으로
관리할 수 있어요.
주제나 단원별로
분류하고 싶다면,
시험에 챕터를 만들어
문제를 추가할 수도 있어요.

수십만 명이
오늘학습을 사랑합니다

앱 스토어 평점 4.9
구글 플레이 평점 4.8
누적 회원수 100,000+
지금 오늘학습을
시작해보세요
지금 시작하기
문제 선택