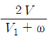
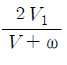
프로펠러의 이상적인 효율을 비행속도(V)와 프로펠러를 통과할 때의 기체유동속도(V1) 및 순수 유도속도(ω)로 옳게 표현한 것은?(단, V1 = V + ω이다.)(문제 복원 오류로 보기 내용이 정확하지 않습니다. 정확한 내용을 아시는분 께서는 자유게시판 또는 관리자 메일로 부탁 드립니다. 정답은 2번 입니다.)
지금 시작하기 →

・・・ 문제은행 항공산업기사(2016년 1회) 11번

항공산업기사 2016년 03월 11번

프로펠러의 이상적인 효율을 비행속도(V)와 프로펠러를 통과할 때의 기체유동속도(V1) 및 순수 유도속도(ω)로 옳게 표현한 것은?(단, V1 = V + ω이다.)(문제 복원 오류로 보기 내용이 정확하지 않습니다. 정확한 내용을 아시는분 께서는 자유게시판 또는 관리자 메일로 부탁 드립니다. 정답은 2번 입니다.)

1
2
3
4
단축키
이전 문제로 이동은 키를 누르고, 다음 문제로 이동은 키를 누르세요
이전 문제 , 다음 문제
문제(80)
1 프로펠러의 회전에 의해 깃이 허브 중심에서 밖으로 빠져 나가려는 힘은? 2 더치롤(Dutch Roll)에 대한 설명으로 옳은 것은? 3 날개면적이 100m2인 비행기가 400km/h의 속도로 수평비행하는 경우 이 항공기의 중량은 약 몇 kgf인가?(단, 양력계수는 0.6, 공기밀도는 0.125kgf·s2/m4이다.) 4 항공기의 선회속도 20m/s, 선회각 45˚상태에서 선회비행을 하는 경우 선회반경은 약 몇 m인가? 5 정상흐름의 베르누이방정식에 대한 설명으로 옳은 것은? 6 비행기가 장주기 운동을 할 때 변화가 거의 없는요소는? 7 프로펠러 비행기의 항속거리를 증가시키기 위한 방법이 아닌 것은? 8 수평스핀과 수직스핀의 낙하속도와 회전각속도 크기를 옳게 나타낸 것은? 9 고도 10km 상공에서의 대기온도는 몇 ℃인가? 10 헬리콥터가 전진비행을 할 때 주 회전 날개의 전진깃과 후진깃에서 발생하는 양력차이를 보정해 주는 장치는? 11 프로펠러의 이상적인 효율을 비행속도(V)와 프로펠러를 통과할 때의 기체유동속도(V1) 및 순수 유도속도(ω)로 옳게 표현한 것은?(단, V1 = V + ω이다.)(문제 복원 오류로 보기 내용이 정확하지 않습니다. 정확한 내용을 아시는분 께서는 자유게시판 또는 관리자 메일로 부탁 드립니다. 정답은 2번 입니다.) 12 헬리콥터 속도가 초과금지속도에 이르면 후진 블레이드 실속징후가 발생하는데 그 징후가 아닌 것은?
13 에어포일(Airfoil) "NACA 23012"에서 첫 번째 자리 숫자 “2”가 의미하는 것은? 14 등속상승비행에 대한 상승률을 나타내는 식이 아닌 것은? 15 라이트형제는 인류 최초의 유인동력비행을 성공하던 날 최고기록으로 59초 동안 이륙지점에서 260m 지점까지 비행하였다. 당시 측정된 43km/h의 정풍을 고려한다면 대기속도는 약 몇 km/h인가? 16 평형상태를 벗어난 비행기가 이동된 위치에서 새로운 평형상태가 되는 경우를 무엇이라고 하는가? 17 비행기의 가로축(Lateral Axis)을 중심으로 한 피치운동(Pitching)을 조종하는데 주로 사용되는 조종면은? 18 스팬(Span)의 길이가 39ft, 시위(Chord)의 길이가 6ft인 직사각형 날개에서 양력계수가 0.8일 때 유도받음각은 약 몇 도인가?(단, 스팬효율계수는 1이다.) 19 항공기의 성능 등을 평가하기 위하여 표준대기를 국제적으로 통일하는데 국제표준대기를 정한 기관은? 20 형상항력을 구성하는 항력으로만 나타낸 것은? 21 외부 과급기(External Supercharger)를 장착한 왕복엔진의 흡기계통 내에서 압력이 가장 낮은 곳은? 22 왕복엔진에 사용되는 기어(Gear)식 오일펌프의 옆간격(Side Clearance)이 크면 나타나는 현상은? 23 다음 중 아음속 항공기의 흡입구에 관한 설명으로 옳은 것은? 24 항공기용 엔진 중 터빈식 회전엔진이 아닌 것은?
37 왕복엔진에 사용되는 고휘발성 연료가 너무 쉽게 증발하여 연료배관내에서 기포가 형성되어 초래할 수있는 현상은? 38 터보팬엔진에 대한 설명으로 틀린 것은? 39 총 배기량이 1500cc 인 왕복엔진의 압축비가 8.5 라면 총 연소실 체적은 약 몇 cc 인가? 40 가스터빈엔진의 추력비연료 소비율(Thrust Specific Fuel Consumption)이란? 41 비행기의 조종간을 앞쪽으로 밀고 오른쪽으로 움직였다면 조종면의 움직임은? 42 복합재료로 제작된 항공기 부품의 결합(층분리 또는 내부손상)을 발견하기 위해 사용되는 검사방법이 아닌 것은?(오류 신고가 접수된 문제입니다. 반드시 정답과 해설을 확인하시기 바랍니다.) 43 0.0625in 두께의 금속판 2개를 접합하기 위하여 1/8in 직경의 유니버셜 리벳을 사용하려고 한다면 최소한의 리벳길이는 몇 in가 되어야 하는가? 44 다음과 같은 트러스(Truss)구조에 있어, 부재 DE의 내력은 약 몇 kN 인가?(오류 신고가 접수된 문제입니다. 반드시 정답과 해설을 확인하시기 바랍니다.) 45 그림과 같은 단면에서 y축에 관한 단면의 2차 모멘트(관성모멘트)는 몇 cm4 인가? 46 하중배수선도에 대한 설명으로 옳은 것은? 47 항공기의 무게중심(C.G)에 대한 설명으로 가장 옳은 것은? 48 항공기 주 날개에 작용하는 굽힘 모멘트(Bending Moment)를 주로 담당하는 것은?
App Store Google Play
오늘학습 예시 이미지

시험에 합격하려면
복습을 제대로 해야 합니다.

오늘학습은 스스로 기억을 떠올리고 계획적으로 복습할 수 있도록 설계돼 있어요.
그것도, 가장 과학적인 방식으로요!

능동적 회상

능동적 회상
(Active Recall)

배운 내용을 단순 읽으며 반복하는 것이 아니라,
능동적으로 기억하고 있는지를
스스로 테스트하며
공부할 수 있는
학습 환경을 제공해 학습 효과를 높여요

간격 반복 학습

간격 반복 학습
(Spaced Repetition)

에빙하우스 망각곡선을 바탕으로
가장 최적의 시점에 복습을 제공하여
배운 내용이 잊히지 않도록 장기 기억화해요

Data 기반의
뇌과학적 복습 시스템

학습 결과 Data를 분석해, 문제별 최적화된
반복 학습량을
자동으로 분배해요.
학습에 소요되는 시간을 최소화하는
동시에
단기 기억을 장기 기억으로 전환해줘요.

36만 개 이상의
기출문제 무료 제공

공무원 및 약 300여종의 자격증 시험 기출문제
36만개
이상을 무료로 이용할 수 있어요.
여러 앱을 설치할 필요
없이, 오늘학습 하나로
모든 시험을 준비할 수 있어요.

다양한 문제 유형으로 만드는
나만의 단어장&문제집

기출 외에도 외워야 하는 내용은
객관식, 주관식, 카드, 빈칸
등 다양한 형식으로
직접 만들어 보세요. 내 학습 스타일에
맞게
나만의 단어장과 문제집을 만들 수 있어요.

시험별 체계적인
문제 관리

시험에 문제를 추가해 체계적으로
관리할 수 있어요.
주제나 단원별로
분류하고 싶다면,
시험에 챕터를 만들어
문제를 추가할 수도 있어요.

수십만 명이
오늘학습을 사랑합니다

앱 스토어 평점 4.9
구글 플레이 평점 4.8
누적 회원수 100,000+
지금 오늘학습을
시작해보세요
지금 시작하기
문제 선택