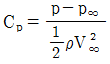
다음 중 압력계수(Cp)의 정의로 틀린 것은? (단, P∞ : 자유흐름의 정압, p : 임의점의 정압, V : 임의점의 속도, V∞ : 자유흐름의 속도, ρ : 밀도, q∞ : 자유흐름의 동압이다.)
지금 시작하기 →

・・・ 문제은행 항공산업기사(2017년 3회) 9번

항공산업기사 2017년 09월 9번

다음 중 압력계수(Cp)의 정의로 틀린 것은? (단, P : 자유흐름의 정압, p : 임의점의 정압, V : 임의점의 속도, V : 자유흐름의 속도, ρ : 밀도, q : 자유흐름의 동압이다.)

1
2
3
4
단축키
이전 문제로 이동은 키를 누르고, 다음 문제로 이동은 키를 누르세요
이전 문제 , 다음 문제
문제(80)
1 다음 중 방향 안정성이 양(+)인 경우는? (단, β: 옆비끄럼각, Cn: 요잉모멘트계수이다.) 2 일반적으로 고정피치 프로펠러의 깃각은 어떤 속도에서 효율이 가장 좋도록 설정하는가? 3 항공기 날개에 관한 설명으로 옳은 것은? 4 등가대기속도(Ve 진대기속도(V)에 대한 설명으로 옳은 것은? (단, 밀도비 , Pt : 전압, Ps : 정압, ρ0 : 해면고도 밀도, ρ : 현재고도 밀도이다.)(오류 신고가 접수된 문제입니다. 반드시 정답과 해설을 확인하시기 바랍니다.) 5 조종면의 폭이 2배가 되면 조종력은 어떻게 되어야 하는가? 6 비행기가 날개를 내리거나 올려 비행기의 전후축(세로축; longitudinal axis)을 중심으로 움직이는 것과 관련된 모멘트는? 7 항공기가 등속수평비행을 하기 위한 조건으로 옳은 것은? (단, L 은 양력, D 는 항력, T 는 추력, W 는 항공기 무게이다.) 8 비행기 무게가 1000 kgf 이고 경사각 30˚, 100km/h 의 속도로 정상선회를 하고 있을 때 양력은 약 몇 kgf 인가? 9 다음 중 압력계수(Cp)의 정의로 틀린 것은? (단, P∞ : 자유흐름의 정압, p : 임의점의 정압, V : 임의점의 속도, V∞ : 자유흐름의 속도, ρ : 밀도, q∞ : 자유흐름의 동압이다.) 10 고정익 항공기 추진에 사용되는 프로펠러에 대한 설명으로 옳은 것은? 11 꼬리회전날개(tail rotor)가 필요한 헬리콥터는? 12 착륙 접지 시 역추력을 발생시키는 비행기에 작용하는 순 감속력에 대한 식은? (단, 추력 : T, 항력 : D, 무게 : W, 양력 : L, 활주로 마찰계수 :  이다.)
61 전원회로에서 전압계(voltmeter)와 전류계(ammeter)를 부하로 연결하는 방법으로 옳은 것은? 62 VOR국은 전파를 이용하여 방위 정보를 항공기에 송신하는데 이때 VOR국에서 관찰하는 항공기의 방위는? 63 교류발전기의 정격이 115V, 1kVA, 역률이 0.866이라면 무효전력(reactive power)은 얼마인가? (단, 역률(power factor) 0.866 은 cos30°에 해당한다.) 64 열을 받게 되면 스테인리스강으로 된 케이스가 늘어나게 되므로, 금속 스트럿이 펴지면서 접촉점이 연결되어 회로를 형성시키는 화재경고장치는? 65 왕복엔진의 실린더에 흡입되는 공기압을 아네로이드와 다이어프램을 사용하여 절대 압력으로측정하는 계기는? 66 솔레노이드 코일의 자계세기를 조정하기 위한 요소가 아닌 것은? 67 공기순환 공기 조화계통(Air cycle airconditioning)에 대한 설명으로 틀린 것은? 68 수평의(vertical gyro)는 항공기에서 어떤 축의 자세를 감지하는가? 69 VHF 무전기의 교신가능 거리에 대한 설명으로 옳은 것은? 70 압력조절기에서 킥인(kick-in)과 킥아웃(kick-out)상태는 어떤 밸브의 상호작용으로 하는가? 71 항공기 속도에서 등가대기속도에서 대기밀도를 보정한 속도는? 72 그림에서 압력계에 나타나는 압력은 몇 kgf/cm2인가? (단, 단면적은 A측 2cm2, B측 10cm2이며, 작용하는 힘은 A측 50 kgf, B측 250 kgf 이다.)
App Store Google Play
오늘학습 예시 이미지

시험에 합격하려면
복습을 제대로 해야 합니다.

오늘학습은 스스로 기억을 떠올리고 계획적으로 복습할 수 있도록 설계돼 있어요.
그것도, 가장 과학적인 방식으로요!

능동적 회상

능동적 회상
(Active Recall)

배운 내용을 단순 읽으며 반복하는 것이 아니라,
능동적으로 기억하고 있는지를
스스로 테스트하며
공부할 수 있는
학습 환경을 제공해 학습 효과를 높여요

간격 반복 학습

간격 반복 학습
(Spaced Repetition)

에빙하우스 망각곡선을 바탕으로
가장 최적의 시점에 복습을 제공하여
배운 내용이 잊히지 않도록 장기 기억화해요

Data 기반의
뇌과학적 복습 시스템

학습 결과 Data를 분석해, 문제별 최적화된
반복 학습량을
자동으로 분배해요.
학습에 소요되는 시간을 최소화하는
동시에
단기 기억을 장기 기억으로 전환해줘요.

36만 개 이상의
기출문제 무료 제공

공무원 및 약 300여종의 자격증 시험 기출문제
36만개
이상을 무료로 이용할 수 있어요.
여러 앱을 설치할 필요
없이, 오늘학습 하나로
모든 시험을 준비할 수 있어요.

다양한 문제 유형으로 만드는
나만의 단어장&문제집

기출 외에도 외워야 하는 내용은
객관식, 주관식, 카드, 빈칸
등 다양한 형식으로
직접 만들어 보세요. 내 학습 스타일에
맞게
나만의 단어장과 문제집을 만들 수 있어요.

시험별 체계적인
문제 관리

시험에 문제를 추가해 체계적으로
관리할 수 있어요.
주제나 단원별로
분류하고 싶다면,
시험에 챕터를 만들어
문제를 추가할 수도 있어요.

수십만 명이
오늘학습을 사랑합니다

앱 스토어 평점 4.9
구글 플레이 평점 4.8
누적 회원수 100,000+
지금 오늘학습을
시작해보세요
지금 시작하기
문제 선택