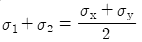
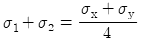
평면 응력상태에 있는 재료 내부에 서로 직각인 두 방향에서 수직 응력 σx, σy가 작용 할 때 생기는 최대 주응력과 최소 주응력을 각각 σ1, σ2 라 하면 다음 중 어느 관계식이 성립하는가?
지금 시작하기 →

・・・ 문제은행 일반기계기사(2019년 3회) 19번

일반기계기사 2019년 09월 19번

평면 응력상태에 있는 재료 내부에 서로 직각인 두 방향에서 수직 응력 σx, σy가 작용 할 때 생기는 최대 주응력과 최소 주응력을 각각 σ1, σ2 라 하면 다음 중 어느 관계식이 성립하는가?

1
2
3
4
단축키
이전 문제로 이동은 키를 누르고, 다음 문제로 이동은 키를 누르세요
이전 문제 , 다음 문제
문제(100)
1 단면의 폭(b)과 높이(h)가 6cm×10cm인 직사각형이고, 길이가 100cm인 와팔보 자유단에 10kN의 집중 하중이 작용할 경우 최대 처짐은 약 몇 cm인가? (단, 세로탄성계수는 210GPa이다.) 2 길이가 L이고 직경이 d인 축과 동일 재료로 만든 길이 2L 인 축이 같은 크기의 비틀림 모멘트를 받았을 때, 같은 각도만큼 비틀어지게 하려면 직경은 얼마가 되어야 하는가? 3 그림과 같은 외팔보에 있어서 고정단에서 20cm되는 지점의 굽힘모멘트 M은 약 몇 kNㆍm인가? 4 그림과 같은 양단이 지지된 단순보의 전 길이에 4kN/m의 등분포하중이 작용할 때, 중앙에서의 처짐이 0이 되기 위한 P의 값은 몇 kN인가? (단, 보의 굽힘강성 티는 일정하다.) 5 철도레일을 20°C에서 침목에 고정하였는데, 레일의 온도가 60°C가 되면 레일에 작용하는 힘은 약 몇 kN인가? (단, 선팽창계수 a=1.2×10-6/℃, 레일의 단면적은 5000mm2, 세로탄성계수는 210GPa이다.) 6 안지름 80cm의 얇은 원통에 내압 1MPa이 작용할 때 원통의 최소 두께는 몇 mm인가? (단, 재료의 허용응력은 80MPa이다.) 7 지름이 d인 원형단면 봉이 비틀림 모멘트 T를 받을 때, 발생되는 최대 전단응력 τ를 나타내는 식은? (단, Ip는 단면의 극단면 2차 모멘트이다.) 8 그림과 같이 양단이 고정된 단면적 1cm2 길이 2m의 케이블을 B점에서 아래로 10mm만큼 잡아당기는 데 필요한 힘 P는 약 몇 N인가? (단, 케이블 재료의 세로탄성계수는 200GPa이며, 자중은 무시한다.) 9 지름이 2cm, 길이가 20cm인 연강봉이 인장하중을 받을 때 길이는 0.016cm만큼 늘어나고 지름은 0.0004cm만큼 줄었다. 이 연강봉의 포아송 비는? 10 그림과 같은 외팔보에서 고정부에서의 굽힘모멘트를 구하면 약 몇 kNㆍm인가? 11 다음 그림에서 최대굽힘응력은? 12 단면이 가로 100mm, 세로 150mm인 사각단면보다 그림과 같이 하중(P)을 받고 있다. 전단응력에 의한 설계에서 P는 각각 100kN 씩 작용할 때, 이 재료의 허용전단응력은 몇 MPa인가?(단, 안전계수는 2이다.)
13 세로탄성계수가 200GPa, 포아송의 비가 0.3인 판재에 평면하중이 가해지고 있다. 이 판재의 표면에 스트레인 게이지를 부착하고 측정한 결과 ϵx=5×10-4, ϵy=3×10-4일 때, σx는 약 몇 MPa인가? 14 그림과 같이 원형단면을 갖는 연강봉이 100kN의 인장하증을 받을 때 이 봉의 신장량은 약 몇 cm인가? (단, 세로탄성계수는 200GPa이다.) 15 그림과 같이 봉이 평형상태를 유지하기 위해 O점에 작용시켜야 하는 모멘트는 약 몇 Nㆍm인가? (단, 봉의 자중은 무시한다.) 16 다음 그림에서 단순보의 최대 처짐량(δ1)과 양단고정보의 최대 처짐량(δ2)의 비(δ1/δ2)는 얼마인가? (단, 보읙 굽힘강성 El는 일정하고, 자중은 무시한다.) 17 단면의 도심 o를 지나면 단면 2차 모멘트 Ix는 약 얼마인가? 18 그림과 같은 비틀림 모멘트 1kNㆍm에서 축적되는 비틀림 변형에너지는 약 몇 Nㆍm인가? (단, 세로탄성계수는 100GPa이고, 포아송의 비는 0.25이다.) 19 평면 응력상태에 있는 재료 내부에 서로 직각인 두 방향에서 수직 응력 σx, σy가 작용 할 때 생기는 최대 주응력과 최소 주응력을 각각 σ1, σ2 라 하면 다음 중 어느 관계식이 성립하는가? 20 8cm×12cm인 직사각형 단면의 기둥 길이를 L1, 지름 20cm인 원형 단면의 기둥 길이를 L2라 하고 세장비가 같다면 , 두기둥의 길이의 비(L2/L1) 는 얼마인가? 21 압력이 200KPa인 공기가 압력이 일정한 상태에서 400kcal의 열을 받으면서 팽창하였다. 이러한 과정에서 공기의 내부에너지가 250kcal만큼 증가하였을 때, 공기의 부피면화(m3)는 얼마인가? (단, 1kcal은 4.186kJ이다.) 22 기체가 열량 80kJ 흡수하여 외부에 대하여 20kJ 일을 하였다면 내부에너지 변화(kJ)는? 23 열역학 제2법칙에 대한 설명으로 옳은 것은? 24 카르노 냉동기에서 흡열부와 방열부의 온도가 각각-20°C와 30°C인 경우, 이 냉동기에 40KW의 동력을 투입하면 냉동기가 흡수하는 열량(RT)은 얼마인가? (단, 1RT=3.86KW이다.)
25 포화액의 비체적은 0.001242m3/kg이고, 포화증기의 비체적은 0.3469m3/kg인 어떤 물질이 있다. 이 물질이 건도 0.65 상태로 2m3인 공간에 있다고 할 때 이 공간 안에 차지한 물질의 질량(kg)은? 26 질량이 m이고 비체적이 u인 구(sphere)의 반지름이 R이다. 이때 질량이 4m, 비체적이 2u로 변화한다면 구의 반지름은 얼마인가? 27 입구 엔탈피 3155KJ/kg, 입구 속도 24m/s, 출구 엔탈피 2385KJ/kg, 출구 속도 98m/s인 증기터빈이 있다. 증기 유량이 1.5kg/s이고, 터빈의 축 출력이 900kW일 때 터빈과 주위 사이의 열전달량은 어떻게 되는가? 28 공기 1kg을 정압과정으로 20°C에서 100°C까지 가열하고, 다음에 정직과정으로 100°C에서 200°C까지 가열한다면, 전체 가열에 필요한 총에너지(KJ)는? (단, 정압비열은 1.009kJ/kgㆍK, 정적비열은 0.72kJ/kgㆍK이다.) 29 질량 유량이 10kg/s인 터빈에서 수증기의 엔탈피가 800kJ/kg 감소한다면 출력(kW)은 얼마인가? (단, 역학적 손실, 열손실은 모두 무시한다.) 30 다음 그림과 같은 오토 사이클의 효율(%)은? (단, T1=300K, T2=689K, T3=2364K, T4=1029K이고 정적비열을 일정하다.) 31 1000K의 고열원으로부터 750kJ의 에너지를 받아서 300K의 저열원으로 550kJ의 에너지를 방출하는 열기관이 있다. 이 기관의 효율(η)과 Clausius 부등식의 만족 여부는? 32 메탄올의 정압비열(Cp)이 다음과 같은 온도 T(K)에 의한 함수로 나타날 때 메탄올 1kg을 200K에서 400K까지 정압과정으로 가열하는데 필요한 열량(kJ)은? (단, Cp의 단위는 kJ/kgㆍK이다.) 33 증기압축 냉동기에 사용되는 냉매의 특징에 대한 설명으로 틀린 것은? 34 열역학적 관점에서 일과 열에 관한 설명으로 틀린 것은? 35 다음 중 브레이던 사이클의 과정으로 옳은 것은? 36 오토 사이클의 효율이 55%일 때 101.3kPa, 20°C의 공기가 압축되는 압축비는 얼마인가? (단, 공기의 비열비는 1.4이다)
37 공기가 등온과정을 통해 압력이 200kPa, 비체적이 0.02m3/kg인 상태에서 압력이 100kPa인 상태로 팽창하였다. 공기를 이상기체로 가정할 때 시스템이 이 과정에서 한 단위 질량당 일(kJ/kg)은 약 얼마인가? 38 100°C의 수증기 10kg이 100°C의 물로 응축되었다. 수증기의 엔트로피 변화량(kJ/K)은? (단, 물의 잠열은 100℃에서 2257KJ/kg이다.) 39 분자량 32인 기체의 정적비열이 0.714KJ/kgㆍK일 때 기체의 비열비는? (단, 일반 기체상수는 8.314kJ/kmolㆍK이다. 40 내부에너지가 40KJ, 절대압력이 200KPa, 체적이 0.1m3, 절대온도가 300K인 계의 엔탈피는(kJ)는? 41 다음 중 유선(steam line)에 대한 설명으로 옳은 것은? 42 점선계수(μ)가 0.098Nㆍs/m2인 유체가 평판 위를 u(y)=750y-2.5×10-6y3(m/s)의 속도 분포로 흐를 때 평판면(y=0)에서의 전단응력은 약 몇 N/m2인가? (단, y는 평판면으로부터 m단위로 잰 수직거리이다.) 43 안지름이 0.01m인 관내로 점성계수가 0.005Nㆍs/m2, 밀도가 800kg/m3인 유체가 1m/s의 속도로 흐를 때, 이 유동의 특성은? (단, 천이 구간은 레이놀즈수가 2100~4000에 포함될 때를 기준으로 한다.) 44 그림과 같이 비중 0.85인 기름이 흐르고 있는 개수로에 피토관을 설치하였다. △h=30mm, h=100일 때 기름의 유속은 약 몇 m/s인가? (단, △h 부분에도 기름이 차있는 상태이다.) 45 밀도가 500kg/m3인 원기둥이 1/3만큼 액체면 위로 나온 상태로 떠 있다. 이 액체의 비중은? 46 마찰계수가 0.02인 파이프(안지름 0.1m, 길이 50m) 중간에 부차적 손실계수가 5인 밸브가 부착되어 있다. 밸브에서 발생하는 손실수두는 총 손실수두의 약 몇 %인가? 47 2차원 극좌표계(γ, θ)에서 속도 포텐셜이 다음과 같을 때 원주방향 속도(vθ)는? (단, 속도 포텐셜 ø는 =▽ø로 정의한다.) 48 그림과 같이 고정된 노즐로부터 밀도가 ρ인 액체의 제트가 속도 V로 분출하여 평판에 충돌하고 있다. 이 때 제트의 단면적이 A이고 평판이 u인 속도로 제트와 반대방향으로 운동할 때 평판에 작용하는 힘 F는?
49 지름이 0.01m인 구 주위를 공기가 0.001m/s로 흐르고 있다. 항력계수 로 정의할 때 구에 작용하는 항력은 약 몇 N인가? (단, 공기의 밀도는 1.1774kg/m3, 점성계수는 1.983×10-5kg/mㆍs이며, Re는 레이놀즈수를 나타낸다. 50 유체 속에 잠겨있는 경사진 판의 윗면에 작용하는 압력 힘의 작용점에 대한 설명 중 옳은 것은? 51 다음 중에서 차원이 다른 물리량은? 52 안지름이 4mm이고, 길이가 10m인 수평 원형관 속을 20℃의 물이 층류로 흐르고 있다. 배관 10m길이에서 압력 강하가 10kPa이 발생하며, 이 때 점성계수는 1.02×10-3Nㆍs/m2일 때 유량은 약 몇 cm3/s인가? 53 역학적 상사성이 성립하기 위해 무차원 수인 프루드수를 같게 해야 되는 흐름은? 54 표준대기압 상태인 어떤 지방의 호수에서 지름이 d인 공기의 기포가 수면으로 올라오면서 지름이 2배로 팽창하였다. 이 때 기포의 최초 위치는 수면으로부터 약 몇 m아래인가? (단, 기포내의 공기는 Boyle법칙에 따르며, 수중의 온도도 일정하다고 가정한다. 또한 수면의 기압(표준대기압)은 101.325kPa이다.) 55 평판 위를 공기가 유속 15m/s로 흐르고 있다. 선단으로부터 10cm인 지점의 경계층 두께는 약 몇 mm인가? (단, 공기의 동점성계수는 1.6×10-5m2/s이다.) 56 비중이 0.8인 액체를 10m/s 속도로 수직방향으로 분사하였을 때, 도달할 수 있는 최고높이는 약 몇 m인가? (단, 액체는 비압축성, 비점성 유체이다.) 57 그림과 같이 설치된 펌프에서 물의 유입지점 1의 압력은 98kPa, 방출지점 2의 압력은 105Kpa이고, 유입지점으로부터 방출지점까지의 높이는 20m이다. 배관 요소에 따른 전체수두손실은 4m이고 관 지름이 일정할 때 물을 양수하기 위해서 펌프가 공급해야 할 압력은 약 몇 kPa인가? 58 지상에서의 압력은 P1, 지상 1000m 높이에서의 압력은 P2라고 할 때 압력비 는? (단, 온도가 15℃로 높이에 상관없이 일정하다고 가정하고, 공기의 밀도는 가체상수가 287J/kgㆍK인 이상기체 법칙을 따른다.) 59 비행기 날개에 작용하는 양력 F에 영향을 주는 요소는 날개의 코드길이 L, 받음각 a, 자유유동 속도 V, 유체의 밀도 ρ, 점섬계수 μ, 유체 내에서의 음속 c이다. 이 변수들로 만들 수 있는 독립 무차원 매개변수는 몇 개인가? 60 원유를 매분 240L의 비율로 안지름 80mm인 파이프를 통하여 100m 떨어진 곳으로 수송할 때 관내의 평균 유속은 약 몇 m/s인가?
73 유압 작동유의 구비조건에 대한 설명으로 틀린 것은? 74 압력 6.86MPa, 토출량 50L/min이고 운전 시 소요 동력이 7kW인 유압펌프의 효율은 약 몇 %인가? 75 다음 중 압력 제어 밸브에 속하지 않는 것은? 76 액추에이터의 배출 쪽 관로 내의 흐름을 제어함으로써 속도를 제어하는 회로는? 77 그림과 같은 유압 기호의 설명이 아닌 것은? 78 유압 속도 제어회로 중 미터 아웃 회로의 설치 목적과 관계없는 것은? 79 실린더 행정 중 임의의 위치에서 실린더를 고정시킬 필요가 있을 때라 할지라도, 부하가 클 때 또는 장치 내의 압력저하로 실린더 피스톤이 이동하는 것을 방지하기 위한 회로로 가장 적합한 것은? 80 긴 스트로크를 줄 수 있는 다단 튜브형의 로드를 가진 실린더는? 81 지면으로부터 경사각이 30°인 경사면에 정지된 블록이 미끄러지기 시작하여 10m/s의 속력이 될 때까지 걸린 시간은 약 몇 초인가? (단, 경사면과 블록과의 동마찰계수는 0.3이라고 한다.) 82 그림과 같은 단진가 운동에서 길이 L이 4배로 늘어나면 진동주기는 약 몇 배로 변하는가? (단, 운동은 단일 평면상에서만 한다고 가정하고, 진동 각변위(θ)는 충분히 작다고 가정한다.) 83 길이가 L인 가늘고 긴 일정한 단면의 봉이 좌측단에서 핀으로 지지되어 있다. 봉을 그림과 같이 수평으로 정지시킨 후, 이를 놓아서 중력에 의해 회전시킨다면 봉의 위치가 수직이 되는 순간에 봉의 각속도는? (단, g는 중력가속도를 나타내고, 핀 부분의 마찰은 무시한다.) 84 회전 속도가 2000rpm인 원심 팬이 있다. 방진고무로 탄성 지지시켜 진동 전달률을 0.3으로 하고자 할 때, 방진고무의 정적 수축량은 약 몇 mm인가? (단, 방진고무의 감쇠계수는 0으로 가정한다.)
85 x방향에 대한 운동 방정식이 다음과 같이 나타날 때 이 진공계에서의 감쇠 고유진동수(damped natural frequency)는 약 몇 red/s인가? 86 장력이 100N 걸려 있는 줄을 모터가 지속적으로 5m/s의 속력으로 끌어당기고 있다면 사용된 모터의 일률(Power)은 몇 W인가? 87 물리량에 대한 차원 표시가 틀린 것은? (단, N:질량, L:길이, T:시간) 88 A에서 던진 공이 L1만큼 날아간 후 B에서 튀어 올라 다시 날아간다. B에서 반발계수를 e라 하면 가시 날아간 거리 L2는? (단, 공과 바닥 사이에서 마찰은 없다고 가정한다.) 89 그림과 같이 반지름이 45mm인 바퀴가 미끄럼 없이 왼쪽으로 구르고 있다. 바퀴 중심의 속력 0.9m/s로 일정하다고 할 때, 바퀴 끝단의 한 점(A)의 속도(uA, m/s)의 가속도(aA, m/s2)의 크기는? 90 다음 식과 같은 단순 조화운동(simple garmonic motion)에 대한 설명으로 틀린 것은? (단, 변위 x는 시간 t에 대한 함수이고, A, ω, ø는 상수이다.) 91 절삭유가 갖추어야 할 조건으로 틀린 것은? 92 렌치, 스패너 등 작은 공구를 단조할 때 다음 중 가장 적합한 것은? 93 지름 400mm의 롤러를 이용하여, 폭 300mm 두께 25mm의 판재를 열간 압연하여 두께 20mm가 되었을 때, 압하량과 압하율은? 94 일반적으로 보통 선반의 크기를 표시하는 방법이 아닌 것은? 95 방전가공(Electro Discharge Machining)에서 전극재료의 구비조건으로 적절하지 않은 것은? 96 강재의 표면에 Si를 침투시키는 방법으로 내식성, 내열성 등을 향상시키는 방법은?
App Store Google Play
오늘학습 예시 이미지

시험에 합격하려면
복습을 제대로 해야 합니다.

오늘학습은 스스로 기억을 떠올리고 계획적으로 복습할 수 있도록 설계돼 있어요.
그것도, 가장 과학적인 방식으로요!

능동적 회상

능동적 회상
(Active Recall)

배운 내용을 단순 읽으며 반복하는 것이 아니라,
능동적으로 기억하고 있는지를
스스로 테스트하며
공부할 수 있는
학습 환경을 제공해 학습 효과를 높여요

간격 반복 학습

간격 반복 학습
(Spaced Repetition)

에빙하우스 망각곡선을 바탕으로
가장 최적의 시점에 복습을 제공하여
배운 내용이 잊히지 않도록 장기 기억화해요

Data 기반의
뇌과학적 복습 시스템

학습 결과 Data를 분석해, 문제별 최적화된
반복 학습량을
자동으로 분배해요.
학습에 소요되는 시간을 최소화하는
동시에
단기 기억을 장기 기억으로 전환해줘요.

36만 개 이상의
기출문제 무료 제공

공무원 및 약 300여종의 자격증 시험 기출문제
36만개
이상을 무료로 이용할 수 있어요.
여러 앱을 설치할 필요
없이, 오늘학습 하나로
모든 시험을 준비할 수 있어요.

다양한 문제 유형으로 만드는
나만의 단어장&문제집

기출 외에도 외워야 하는 내용은
객관식, 주관식, 카드, 빈칸
등 다양한 형식으로
직접 만들어 보세요. 내 학습 스타일에
맞게
나만의 단어장과 문제집을 만들 수 있어요.

시험별 체계적인
문제 관리

시험에 문제를 추가해 체계적으로
관리할 수 있어요.
주제나 단원별로
분류하고 싶다면,
시험에 챕터를 만들어
문제를 추가할 수도 있어요.

수십만 명이
오늘학습을 사랑합니다

앱 스토어 평점 4.9
구글 플레이 평점 4.8
누적 회원수 100,000+
지금 오늘학습을
시작해보세요
지금 시작하기
문제 선택