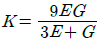
탄성 계수(영계수) E, 전단 탄성 계수 G, 체적 탄성 계수 K사이에 성립되는 관계식은?
지금 시작하기 →

・・・ 문제은행 일반기계기사(2019년 1회) 8번

일반기계기사 2019년 03월 8번

탄성 계수(영계수) E, 전단 탄성 계수 G, 체적 탄성 계수 K사이에 성립되는 관계식은?

1
2
3
4
단축키
이전 문제로 이동은 키를 누르고, 다음 문제로 이동은 키를 누르세요
이전 문제 , 다음 문제
문제(100)
1 그림과 같은 막대가 있다. 길이는 4 m이고 힘은 지면에 평행하게 200 N 만큼 주었을 때 o점에 작용하는 힘과 모멘트는? 2 두께 8 mm의 강판으로 만든 안지름 40 cm의 얇은 원통에 1 MPa의 내압이 작용할 때 강판에 발생하는 후프 응력(원주 응력)은 몇 MPa인가? 3 그림과 같은 균일단면을 갖는 부정정보가 단순 지지단에서 모멘트 M0를 받는다. 단순지지단에서의 반력 Ra는? (단, 굽힘강성 EI는 일정하고, 자중은 무시한다.) 4 진변형률(εT)과 진응력(σT)를 공칭 응력(σn)과 공칭 변형률(εn)로 나타낼 때 옳은 것은? 5 폭 b=60 mm, 길이 L=340 mm의 균일강도 외팔보의 자유단에 집중하중 P=3 kN이 작용한다. 허용 굽힘응력을 65 MPa이라 하면 자유단에서 250 mm되는 지점의 두께 h는 약 몇 mm인가? (단, 보의 단면은 두께는 변하지만 일정한 폭 b를 갖는 직사각형이다.) 6 부재의 양단이 자유롭게 회전할 수 있도록 되어있고, 길이가 4 m인 압축 부재의 좌굴 하중을 오일러 공식으로 구하면 약 몇 kN인가? (단, 세로탄성계수는 100 GPa이고, 단면 b × h=100 mm×50 mm이다.) 7 평면 응력상태의 한 요소에 σx=100 MPa, σy=-50 MPa, τxy=0을 받는 평판에서 평면내에서 발생하는 최대 전단응력은 몇 MPa인가? 8 탄성 계수(영계수) E, 전단 탄성 계수 G, 체적 탄성 계수 K사이에 성립되는 관계식은? 9 바깥지름 50 cm, 안지름 30 cm의 속이 빈 축은 동일한 단면적을 가지며 같은 재질의 원형축에 비하여 약 몇 배의 비틀림 모멘트에 견딜 수 있는가? (단, 중공축과 중실축의 전단응력은 같다.) 10 그림과 같은 단면에서 대칭축 n-n에 대한 단면 2차 모멘트는 약 몇 cm4인가? 11 단면적이 2 cm2이고 길이가 4 m인 환봉에 10 kN의 축 방향 하중을 가하였다. 이때 환봉에 발생한 응력은 몇 N/m2인가? 12 양단이 고정된 직경 30 mm, 길이가 10 m인 중실축에서 그림과 같이 비틀림 모멘트 1.5 kN ㆍ m가 작용할 때 모멘트 작용점에서의 비틀림 각은 약 몇 rad인가? (단, 봉재의 전단탄성계수 G=100 GPa이다.)(오류 신고가 접수된 문제입니다. 반드시 정답과 해설을 확인하시기 바랍니다.)
13 그림과 같이 길이 ℓ인 단순 지지된 보 위를 하중 W가 이동하고 있다. 최대 굽힘응력은? 14 그림과 같은 트러스가 점 B에서 그림과 같은 방향으로 5 kN의 힘을 받을 때 트러스에 저장되는 탄성에너지는 약 몇 kJ인가? (단, 트러스의 단면적은 1.2 cm2, 탄성계수는 106 Pa이다.) 15 길이 1 m인 외팔보가 아래 그림처럼 q=5 kN/m의 균일 분포하중과 P=1 kN의 집중 하중을 받고 있을 때 B점에서의 회전각은 얼마인가? (단, 보의 굽힘강성은 EI이다.) 16 그림과 같은 단순지지보에서 2 kN/m의 분포하중이 작용할 경우 중앙의 처짐이 0이 되도록 하기 위한 힘 P의 크기는 몇 kN인가? 17 그림과 같이 길이 ℓ=4 m의 단순보에 균일 분포하중 ω가 작용하고 있으며 보의 최대 굽힘응력 σmax=85 N/cm2일 때 최대 전단응력은 약 몇 kPa인가? (단, 보의 단면적은 지름이 11 cm인 원형단면이다.) 18 그림과 같은 치차 전동 장치에서 A치차로부터 D치차로 동력을 전달한다. B와 C치 차의 피치원의 직경의 비가 일 때, 두 축의 최대 전단응력들이 같아지게 되는 직경의 비 은 얼마인가? 19 그림과 같은 외팔보에 균일분포하중 ω가 전 길이에 걸쳐 작용할 때 자유단의 처짐 δ는 얼마인가? (단, E: 탄성계수, I: 단면2차모멘트이다.) 20 그림과 같이 단면적이 2 cm2인 AB및 CD막대의 B점과 C점이 1 cm만큼 떨어져 있다. 두 막대에 인장력을 가하여 늘인 후 B점과 C점에 핀을 끼워 두 막대를 연결하려고 한다. 연결 후 두 막대에 작용하는 인장력은 약 몇 kN인가? (단, 재료의 세로탄성계수는 200 GPa이다.) 21 압력 2 MPa, 300 ℃의 공기 0.3 kg이 폴리트로픽 과정으로 팽창하여, 압력이 0.5 MPa로 변화하였다. 이때 공기가 한 일은 약 몇 kJ인가? (단, 공기는 기체상수가 0.287 kJ/(kg ㆍ K)인 이상기체이고, 폴리트로픽 지수는 1.3이다.) 22 다음 중 기체상수(gas constant, R[kJ/(kg ㆍ K)] 값이 가장 큰 기체는? 23 이상기체 1 kg이 초기에 압력 2 kPa, 부피 0.1 m3를 차지하고 있다. 가역등온과정에 따라 부피가 0.3 m3로 변화했을 때 기체가 한 일은 약 몇 J인가? 24 이상적인 오토사이클에서 열효율을 55 %로 하려면 압축비를 약 얼마로 하면 되겠는가? (단, 기체의 비열비는 1.4이다.)
25 밀폐계가 가역정압 변화를 할 때 계가 받은 열량은? 26 유리창을 통해 실내에서 실외로 열전달이 일어난다. 이때 열전달량은 약 몇 W인가? (단, 대류열전달계수는 50 W/(m2 ㆍ K), 유리창 표면온도는 25 ℃, 외기온도는 10 ℃, 유리창면적은 2 m2이다.) 27 어느 내연기관에서 피스톤의 흡기과정으로 실린더 속에 0.2 kg의 기체가 들어 왔다. 이것을 압축할 때 15 kJ의 일이 필요하였고, 10 kJ의 열을 방출하였다고 한다면, 이 기체 1 kg당 내부에너지의 증가량은? 28 다음 중 강도성 상태량(intensive property)이 아닌 것은? 29 600 kPa, 300 K 상태의 이상기체 1 kmol이 엔탈피가 등온과정을 거쳐 압력이 200 kPa로 변했다. 이 과정동안의 엔트로피 변화량은 약 몇 kJ/K인가? (단, 일반기체상수 은 8.31451 kJ/(kmol ㆍ K)이다.) 30 그림과 같은 단열된 용기 안에 25 ℃의 물이 0.8 m3 들어있다. 이 용기 안에 100 ℃, 50 kg의 쇳덩어리를 넣은 후 열적 평형이 이루어졌을 때 최종 온도는 약 몇 ℃인가? (단, 물의 비열은 4.18 kJ/(kg ㆍ K), 철의 비열은 0.45 kJ/(kg ㆍ K)이다.) 31 실린더에 밀폐된 8 kg의 공기가 그림과 같이 P1=800 kPa, 체적 V1=0.27m3에서 P2=350 kPa, 체적 V2=0.80 m3으로 직선 변화하였다. 이 과정에서 공기가 한 일은 약 몇 kJ인가? 32 어떤 기체 동력장치가 이상적인 브레이턴 사이클로 다음과 같이 작동할 때 이 사이클의 열효율은 약 몇 %인가? (단, 온도(T)-엔트로피(s) 선도에서 T1=30 ℃, T2=200 ℃, T3=1060 ℃, T4=160 ℃이다.) 33 이상기체에 대한 다음 관계식 중 잘못된 것은? (단, Cu는 정적비열, Cp는 정압비열, u는 내부에너지, T는 온도, V는 부피, h는 엔탈피, R은 기체상수, k는 비열비이다.) 34 열역학 제2법칙에 관해서는 여러 가지 표현으로 나타낼 수 있는데, 다음 중 열역학 제2법칙과 관계되는 설명으로 볼 수 없는 것은? 35 계의 엔트로피 변화에 대한 열역학적 관계식 중 옳은 것은? (단, T는 온도, S는 엔트로피, U는 내부에너지, V는 체적, P는 압력, H는 엔탈피를 나타낸다.) 36 공기 1 kg이 압력 50 kPa, 부피 3 m3인 상태에서 압력 900 kPa, 부피 0.5 m3인 상태로 변화할 때 내부 에너지가 160 kJ 증가하였다. 이 때 엔탈피는 약 몇 kJ이 증가하였는가?
37 체적이 일정하고 단열된 용기 내에 80 ℃, 320 kPa의 헬륨 2 kg이 들어 있다. 용기 내에 있는 회전날개가 20 W의 동력으로 30분 동안 회전한다고 할 때 용기 내의 최종 온도는 약 몇 ℃인가? (단, 헬륨의 정적비열은 3.12 kJ/(kg ㆍ K)이다.) 38 그림과 같은 Rankine 사이클로 작동하는 터빈에서 발생하는 일은 약 몇 kJ/kg인가? (단, h는 엔탈피, s는 엔트로피를 나타내며, h1=191.8 kJ/kg, h2=193.8 kJ/kg, h3=2799.5 kJ/kg, h4=2007.5 kJ/kg이다.) 39 시간당 380000 kg의 물을 공급하여 수증기를 생산하는 보일러가 있다. 이 보일러에 공급하는 물의 엔탈피는 830 kJ/kg이고, 생산되는 수증기의 엔탈피는 3230 kJ/kg이라고 할 때, 발열량이 32000 kJ/kg인 석탄을 시간당 34000 kg씩 보일러에 공급한다면 이 보일러의 효율은 약 몇 %인가? 40 터빈, 압축기, 노즐과 같은 정상 유동장치의 해석에 유용한 몰리에(Molier) 선도를 옳게 설명한 것은? 41 원관에서 난류로 흐르는 어떤 유체의 속도가 2배로 변하였을 때, 마찰계수가 변경 전 마찰계수의 로 줄었다. 이때 압력손실은 몇 배로 변하는가? 42 점성계수가 0.3 N ㆍ s/m2이고, 비중이 0.9인 뉴턴유체가 지름 30 mm인 파이프를 통해 3 m/s의 속도로 흐를 때 Reynolds수는? 43 어떤 액체의 밀도는 890 kg/m3, 체적 탄성계수는 2200 MPa이다. 이 액체 속에서 전파되는 소리의 속도는 약 몇 m/s인가? 44 펌프로 물을 양수할 때 흡입측에서의 압력이 진공 압력계로 75 mmHg(부압)이다. 이 압력은 절대 압력으로 약 몇 kPa인가? (단, 수은의 비중은 13.6이고, 대기압은 760 mmHg이다.) 45 동점성계수가 10 cm2/s이고 비중이 1.2인 유체의 점성계수는 몇 Pa ㆍ s인가? 46 평판 위를 어떤 유체가 층류로 흐를 때, 선단으로부터 10 cm 지점에서 경계층두께가 1 mm일 때, 20 cm 지점에서의 경계층두께는 얼마인가? 47 온도 27 ℃, 절대압력 380 kPa인 기체가 6 m/s로 지름 5 cm인 매끈한 원관 속을 흐르고 있을 때 유동상태는? (단, 기체상수는 187.8 N ㆍ m/(kg ㆍ K), 점성계수는 1.77×10-5 kg/(m ㆍ s), 상, 하 임계 레이놀즈수는 각각 4000, 2100이라 한다.) 48 2 m×2 m×2 m의 정육면체로 된 탱크 안에 비중이 0.8인 기름이 가득 차 있고, 위 뚜껑이 없을 때 탱크의 한 옆면에 작용하는 전체 압력에 의한 힘은 약 몇 kN인가?
49 일정 간격의 두 평판 사이에 흐르는 완전 발달된 비압축성 정상유동에서 x는 유동방향, y는 평판 중심을 0으로 하여 x방향에 직교하는 방향의 좌표를 나타낼 때 압력강하와 마찰손실의 관계로 옳은 것은? (단, P는 압력, τ는 전단응력, μ는 점성계수(상수)이다.) 50 비중 0.85인 기름의 자유표면으로부터 10 m 아래에서의 계기압력은 약 몇 kPa인가? 51 물을 사용하는 원심 펌프의 설계점에서의 전양정이 30 m이고, 유량은 1.2 m3/min이다. 이 펌프를 설계점에서 운전할 때 필요한 축 동력이 7.35 kW라면 이 펌프의 효율은 약 얼마인가? 52 그림과 같은 원형관에 비압축성 유체가 흐를 때 A단면의 평균속도가 V1일 때 B단면에서의 평균속도 V는? 53 유속 3 m/s로 흐르는 물 속에 흐름방향의 직각으로 피토관을 세웠을 때, 유속에 의해 올라가는 수주의 높이는 약 몇 m인가? 54 2차원 유동장이 로 주어질 때, 가속도장 는 어떻게 표시되는가? (단, 유동장에서 c는 상수를 나타낸다.) 55 그림과 같이 유속 10 m/s인 물 분류에 대하여 평판을 3 m/s의 속도로 접근하기 위하여 필요한 힘은 약 몇 N인가? (단, 분류의 단면적은 0.01 m2이다.) 56 물(비중량 9800 N/m3) 위를 3 m/s의 속도로 항진하는 길이 2 m인 모형선에 작용하는 조파저항이 54 N이다. 길이 50 m인 실선을 이것과 상사한 조파상태인 해상에서 항진시킬 때 조파 저항은 약 얼마인가? (단, 해수의 비중량은 10075 N/m3이다.) 57 골프공 표면의 딤플(dimple, 표면 굴곡)이 항력에 미치는 영향에 대한 설명으로 잘못된 것은? 58 다음과 같은 베르누이 방정식을 적용하기 위해 필요한 가정과 관계가 먼 것은? (단, 식에서 P는 압력, ρ는 밀도, V는 유속, γ는 비중량, Z는 유체의 높이를 나타낸다.) 59 중력은 무시할 수 있으나 관성력과 점성력 및 표면장력이 중요한 역할을 하는 미세구조물 중 마이크로 채널 내부의 유동을 해석하는데 중요한 역할을 하는 무차원 수 만으로 짝지어진 것은? 60 정상, 2차원, 비압축성 유동장의 속도성분이 아래와 같이 주어질 때 가장 간단한 유동함수(Ψ)의 형태는? (단, u는 x방향, υ는 y방향의 속도성분이다.)
73 지름이 2 cm인 관속을 흐르는 물의 속도가 1 m/s이면 유량은 약 몇 cm3/s인가? 74 한 쪽 방향으로 흐름은 자유로우나 역방향의 흐름을 허용하지 않는 밸브는? 75 다음 중 유량제어밸브에 의한 속도제어회로를 나타낸 것이 아닌 것은? 76 유체를 에너지원 등으로 사용하기 위하여 가압 상태로 저장하는 용기는? 77 점성계수(coefficient of viscosity)는 기름의 중요 성질이다. 점도가 너무 낮을 경우 유압기기에 나타나는 현상은? 78 저 압력을 어떤 정해진 높은 출력으로 증폭하는 회로의 명칭은? 79 베인펌프의 일반적인 구성 요소가 아닌 것은? 80 유공압 실린더의 미끄러짐 면의 운동이 간헐적으로 되는 현상은? 81 무게 20 N인 물체가 2개의 용수철에 의하여 그림과 같이 놓여 있다. 한 용수철은 1cm 늘어나는데 1.7 N이 필요하며 다른 용수철은 1 cm 늘어나는데 1.3 N이 필요하다. 변위 진폭이 1.25 cm가 되려면 정적 평형 위치에 있는 물체는 약 얼마의 초기속도(cm/s)를 주어야 하는가? (단, 이 물체는 수직 운동만 한다고 가정한다.) 82 전동기를 이용하여 무게 9800 N의 물체를 속도 0.3 m/s로 끌어올리려 한다. 장치의 기계적 효율을 80 %로 하면 최소 몇 kW의 동력이 필요한가? 83 그림과 같이 Coulomb 감쇠를 일으키는 진동계에서 지면과의 마찰계수는 0.1, 질량 m= 100 kg, 스프링 상수 k=981 N/cm이다. 정지상태에서 초기 변위를 2 cm 주었다가 놓을 때 4 cycle후의 진폭은 약 몇 cm가 되겠는가? 84 단순조화운동(Harmonic motions)일 때 속도와 가속도의 위상차는 얼마인가?
85 어떤 물체가 정지 상태로부터 다음 그래프와 같은 가속도(a)로 속도가 변화한다. 이때 20초 경과 후의 속도는 약 몇 m/s인가? 86 그림은 스프링과 감쇠기로 지지된 기관(engine, 총 질량 m)이며, m1은 크랭크 기구의 불평형 회전 질량으로 회전 중심으로부터 r만큼 떨어져 있고, 회전주파수는 ω이다. 이 기관의 운동 방정식을 라고 할 때 F(t)로 옳은 것은? 87 반지름이 r인 균일한 원판의 중심에 200 N의 힘이 수평방향으로 가해진다. 원판의 미끄러짐을 방지하는데 필요한 최소 마찰력(F)은? 88 축구공을 지면으로부터 1 m의 높이에서 자유낙하 시켰더니 0.8 m 높이까지 다시 튀어 올랐다. 이 공의 반발계수는 얼마인가? 89 길이가 1 m이고 질량이 3 kg인 가느다란 막대에서 막대 중심축과 수직하면서 질량 중심을 지나는 축에 대한 질량 관성모멘트는 몇 kg ㆍ m2인가? 90 아이스하키 선수가 친 퍽이 얼음 바닥 위에서 30 m를 가서 정지하였는데, 그 시간이 9초가 걸렸다. 퍽과 얼음 사이의 마찰계수는 얼마인가? 91 다음 인발가공에서 인발 조건의 인자로 가장 거리가 먼 것은? 92 다음 중 나사의 유효지름 측정과 가장 거리가 먼 것은? 93 구성인선(built up edge)의 방지 대책으로 틀린 것은? 94 다음 중 전주가공의 특징으로 가장 거리가 먼 것은? 95 주조에서 탕구계의 구성요소가 아닌 것은? 96 다음 중 저온 뜨임의 특성으로 가장 거리가 먼 것은?
App Store Google Play
오늘학습 예시 이미지

시험에 합격하려면
복습을 제대로 해야 합니다.

오늘학습은 스스로 기억을 떠올리고 계획적으로 복습할 수 있도록 설계돼 있어요.
그것도, 가장 과학적인 방식으로요!

능동적 회상

능동적 회상
(Active Recall)

배운 내용을 단순 읽으며 반복하는 것이 아니라,
능동적으로 기억하고 있는지를
스스로 테스트하며
공부할 수 있는
학습 환경을 제공해 학습 효과를 높여요

간격 반복 학습

간격 반복 학습
(Spaced Repetition)

에빙하우스 망각곡선을 바탕으로
가장 최적의 시점에 복습을 제공하여
배운 내용이 잊히지 않도록 장기 기억화해요

Data 기반의
뇌과학적 복습 시스템

학습 결과 Data를 분석해, 문제별 최적화된
반복 학습량을
자동으로 분배해요.
학습에 소요되는 시간을 최소화하는
동시에
단기 기억을 장기 기억으로 전환해줘요.

36만 개 이상의
기출문제 무료 제공

공무원 및 약 300여종의 자격증 시험 기출문제
36만개
이상을 무료로 이용할 수 있어요.
여러 앱을 설치할 필요
없이, 오늘학습 하나로
모든 시험을 준비할 수 있어요.

다양한 문제 유형으로 만드는
나만의 단어장&문제집

기출 외에도 외워야 하는 내용은
객관식, 주관식, 카드, 빈칸
등 다양한 형식으로
직접 만들어 보세요. 내 학습 스타일에
맞게
나만의 단어장과 문제집을 만들 수 있어요.

시험별 체계적인
문제 관리

시험에 문제를 추가해 체계적으로
관리할 수 있어요.
주제나 단원별로
분류하고 싶다면,
시험에 챕터를 만들어
문제를 추가할 수도 있어요.

수십만 명이
오늘학습을 사랑합니다

앱 스토어 평점 4.9
구글 플레이 평점 4.8
누적 회원수 100,000+
지금 오늘학습을
시작해보세요
지금 시작하기
문제 선택