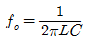
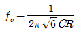
이상형 병력 저항형 CR발진회로의 발진주파수는?
지금 시작하기 →

・・・ 문제은행 전자캐드기능사(2013년 3회) 12번

전자캐드기능사 2013년 10월 12번

이상형 병력 저항형 CR발진회로의 발진주파수는?

1
2
3
4
단축키
이전 문제로 이동은 키를 누르고, 다음 문제로 이동은 키를 누르세요
이전 문제 , 다음 문제
문제(60)
37 핀의 배열이 두 줄로 평행하게 배열되어 있는 부품을 지칭하는 용어로 우수한 열 특성을 갖고 있는 IC 외형은? 38 artwork 필름을 제작할 때, PCB 제조 공정에서의 치수 변화를 보정하는 작업을 무엇이라 하는가? 39 제도 용지에 연필로 직접 그린 그림이나 컴퓨터로 작성한 최초의 도면은? 40 제도의 목적을 달성하기 위한 도면의 요건으로 옳지 않은 것은? 41 전자기기의 패널을 설계 제도할 때 유의해야 할 사항으로 옳은 것은? 42 한국산업표준(KS)에 의한 부분별 기호의 대분류 중 전기부문의 분류 기호는? 43 표제란 축척이 1/2로 되어 있을 때, 실제 물체의 길이가 50[mm]인 경우 도면에 표시되는 길이는? 44 CAD 소프트웨어의 실행 화면에서 커서의 좌표 위치나 사용 중인 도면 층의 이름 등 각종 정보가 표시되는 부분은? 45 도면의 종류 중 사용목적에 따른 분류에 해당하지 않는 것은? 46 PCB 설계의 입력 데이터로 사용되는 필수 파일로 패키지 명, 부품 명, 네트 명, 네트와 연결된 부품 핀, 네트와 핀, 부품 속성 등에 대한 정보를 갖고 있는 파일로 옳은 것은? 47 인쇄회로기판(PCB)을 사용하여 전자기기를 제작하였을 때 얻어지는 일반적인 특징 설명 중 옳지 않은 것은? 48 인쇄회로기판(PCB)의 제작시 사용하는 동박의 두께는 일반적으로 어느 것을 가장 많이 사용하는가?
App Store Google Play
오늘학습 예시 이미지

시험에 합격하려면
복습을 제대로 해야 합니다.

오늘학습은 스스로 기억을 떠올리고 계획적으로 복습할 수 있도록 설계돼 있어요.
그것도, 가장 과학적인 방식으로요!

능동적 회상

능동적 회상
(Active Recall)

배운 내용을 단순 읽으며 반복하는 것이 아니라,
능동적으로 기억하고 있는지를
스스로 테스트하며
공부할 수 있는
학습 환경을 제공해 학습 효과를 높여요

간격 반복 학습

간격 반복 학습
(Spaced Repetition)

에빙하우스 망각곡선을 바탕으로
가장 최적의 시점에 복습을 제공하여
배운 내용이 잊히지 않도록 장기 기억화해요

Data 기반의
뇌과학적 복습 시스템

학습 결과 Data를 분석해, 문제별 최적화된
반복 학습량을
자동으로 분배해요.
학습에 소요되는 시간을 최소화하는
동시에
단기 기억을 장기 기억으로 전환해줘요.

36만 개 이상의
기출문제 무료 제공

공무원 및 약 300여종의 자격증 시험 기출문제
36만개
이상을 무료로 이용할 수 있어요.
여러 앱을 설치할 필요
없이, 오늘학습 하나로
모든 시험을 준비할 수 있어요.

다양한 문제 유형으로 만드는
나만의 단어장&문제집

기출 외에도 외워야 하는 내용은
객관식, 주관식, 카드, 빈칸
등 다양한 형식으로
직접 만들어 보세요. 내 학습 스타일에
맞게
나만의 단어장과 문제집을 만들 수 있어요.

시험별 체계적인
문제 관리

시험에 문제를 추가해 체계적으로
관리할 수 있어요.
주제나 단원별로
분류하고 싶다면,
시험에 챕터를 만들어
문제를 추가할 수도 있어요.

수십만 명이
오늘학습을 사랑합니다

앱 스토어 평점 4.9
구글 플레이 평점 4.8
누적 회원수 100,000+
지금 오늘학습을
시작해보세요
지금 시작하기
문제 선택