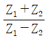
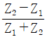
탄소강(음향 임피던스 Z1)에 스테인리스강(음향임피던스 Z2)이 클래딩되어 있다. 탄소강 측에서 2MHz로 수직탐상하였을 때 경계면에서의 음압 반사율은?
지금 시작하기 →

・・・ 문제은행 초음파비파괴검사기사(2022년) 25번

초음파비파괴검사기사 2022년 03월 25번

탄소강(음향 임피던스 Z1)에 스테인리스강(음향임피던스 Z2)이 클래딩되어 있다. 탄소강 측에서 2MHz로 수직탐상하였을 때 경계면에서의 음압 반사율은?

1
2
3
4
단축키
이전 문제로 이동은 키를 누르고, 다음 문제로 이동은 키를 누르세요
이전 문제 , 다음 문제
문제(80)
13 고강도 알루미늄 합금이 아닌 것은? 14 Cu-Zn 2원계 상태도에서 발견되는 α상의 격자구조는? 15 단면 수축율이 10%이고 원단면적이 20mm2인 시편을 최대 하중 20kN로 인장하였을 때, 파단직전의 단면적은? 16 용접변형에 영향을 미치는 인자 중 용접 열에 관계되는 인자와 거리가 가장 먼 것은? 17 다음 용접의 종류 중 압접에 속하는 것은? 18 아크용접에서 아크를 끊는 순간에 생기며, 용융 풀(pool)의 응고 수축에 의한 오목형상으로 편석이 생기기 쉬운 곳을 의미하는 용어는? 19 용접기의 아크 발생 시간이 7분, 아크 발생 정지 시간이 3분일 경우 용접기의 사용률은 몇 % 인가? 20 다음 용접 중 일명, 잠호 용접이라고도 하며, 용접선의 전방에 입상의 플럭스를 미리 산포하고, 그 속에 용접와이어를 자동으로 송급하여 와이어 선단과 모재 사이에 아크를 발생시켜 아크열로 용접하는 것은? 21 초음파탐상시험의 탐상방법에 대해 설명한 것으로 옳은 것은? 22 동일한 두께의 2개 강판을 수직 탐상하였다. 하나는 저면반사가 많이 나타났지만 다른 하나는 몇 회만 나타났다. 다음 중 저면 에코가 적게 나타난 재료로 옳은 것은? 23 다음 중 음파가 두 매질의 계면에 경사지게 입사할 때 입사각과 같은 것은? 24 초음파탐상시험의 접촉매질에 대한 설명으로 가장 거리가 먼 것은?
37 수정진동자에서 Z와 Y축에 평행하고 X축에 수직인 면을 갖는 결정체를 무엇이라 하는가? 38 강으로부터 납으로 음이 진행할 때의 음향투과율은 얼마인가? (단, 강의 음향임피던스 : 4.5×107 kg/m2s, 납의 음향임피던스 : 2.5×107 kg/m2s 이다.) 39 아크릴에서 철강으로 종파가 굴절될 때 종파의 임계각은? (단, 아크릴 음파속도 = 2300m/s, 강의 음파속도 = 6000m/s 이다.) 40 초음파탐상시험의 분산각에 대한 설명으로 틀린 것은? 41 펄스 반복주파수에 대한 설명 중 틀린 것은? 42 판재를 경사각 탐상할 때 불연속의 위치를 알아내기 위하여 알아야 되는 요소는? (단, 초음파의 진행거리는 알고 있다.) 43 알루미늄 용접부를 펄스반사법을 이용하여 경사각탐상을 할 때 측정범위를 조정하기 위하여 STB-A7963(Miniature Block) 표준시험편을 사용했다. 초음파 빔의 방향이 곡률반경 25mm 쪽 곡면을 향하였을 때 나타나는 에코로 틀린 것은? 44 초음파 탐상기의 CRT스크린에 표시하는 방법 중 시험재의 측면도를 볼 수 있으며 결함깊이를 정확히 단번에 볼 수 있는 방법은? 45 공기 중에 있는 얇은 판을 따라서 먼 거리까지 전파하여 장거리 탐상이 가능하게 하는 파는? 46 초음파탐상시험에 의한 결함크기와 측정방법에 대하여 바르게 설명한 것은? 47 아래 그림에 나타낸 STB-A3 시험편의 ㉠위치와 ㉡위치의 측정한 치수(mm)를 순서대로 나타낸 것은? 48 다음 중 초음파 현미경법에 해당하지 않는 것은?
49 다음 중 용접부의 검사에서 경사평행주사 또는 용접선상 주사를 하여 최대 에코높이가 나타날 결함은? 50 펄스반사법 초음파탐상장치를 사용하여 강 용접부를 60°의 경사각 탐촉자로 탐상할 때 용접부 부근에서 에코가 나타났다. 결함의 종류를 추정하는 방법에 관한 설명으로 틀린 것은? 51 초음파탐상시험 방법에 속하지 않는 것은? 52 수침 초음파탐상에서 적정 물거리(탐촉자-시편간 거리)를 결정하기 위한 일반적인 방법은? (단, 시편은 알루미늄이다.) 53 STB-G 표준시험편의 주된 용도가 아닌 것은? 54 주파수에 대한 응답곡선이 그림과 같을 때 탐촉자의 밴드 폭(band width)은 약 얼마인가? (단, 밴드 폭은 진폭의 70% 이상인 주파수 영역을 나타낸다.) 55 초음파 탐상기 내의 회로 중 검파정류회로의 역할은? 56 용접부를 경사각탐상할 때 수직탐촉자로 경사각탐상할 모재면의 주사범위를 검사하는 주된 이유는? 57 공진법으로 시험체의 두께를 측정할 때 기본공진이 일어나는 경우로 옳은 것은? 58 초음파탐상기의 탐상도형의 표시방법에 해당되지 않는 것은? 59 탐촉자의 분해능과 감도에 영향을 주는 충진재에 대한 설명으로 옳은 것은? 60 분할형 수직 탐촉자를 제작하여 사용하려 한다. 송신과 수신효율이 가장 좋은 것으로 순서대로 묶인 탐촉자는?
61 보일러 및 압력용기에 대한 초음파탐상검사(ASME Sec. V Art.4)에서 사용되는 공칭 주파수가 아닌 것은? 62 보일러 및 압력용기에 대한 표준초음파탐상검사(ASME Sec.V Art.23 SA-435)에 따라 2인치 두께를 갖는 강판을 검사할 때, 전체 저면반사의 손실을 일으키는 불연속부의 최대 합격 지름은? 63 보일러 및 압력용기에 대한 표준 초음파탐상검사(ASME Sec.V Art.12 SA-388)에 따라 저면 반사기법으로 수직 탐상할 때 저면반사 에코 높이의 감소를 일으키는 원인이 아닌 것은? 64 금속재료의 펄스반사법에 따른 초음파탐상 시험방법 통칙(KS B 0817)에 따른 에코 높이 기록 방법이 아닌 것은? 65 페라이트계 강 용접부에 대한 초음파탐상검사(KS B 0896)에 따라 판 두께 50mm인 용접부에 대하여 탠덤탐상을 할 때 탐상하는 면과 방향의 설명으로 틀린 것은? 66 페라이트계 강 용접부에 대한 초음파탐상검사(KS B 0896)에 의한 평판 이음 용접부의 탐상에서 탐상면, 탐상의 방향 및 방법에 대한 설명 중 틀린 것은? 67 금속재료의 펄스반사법에 따른 초음파탐상 시험방법 통칙(KS B 0817)에서 기본 기호의 설명이 잘못된 것은? 68 초음파탐상 시험용 표준시험편(KS B 0831)에서 규정하는 STB-A1시험편 제작 시 입사점의 허용도는? 69 페라이트계 강 용접부에 대한 초음파탐상검사(KS B 0896)에 따라 탐촉자를 접촉시키는 부분의 판 두께가 100mm인 맞대기 용접부를 주파수 2MHz, 진동자 치수 20×20mm의 탐촉자를 사용하여 경사각탐상할 때의 불연속부의 지시 길이를 바르게 설명한 것은? 70 초음파탐상 시험용 표준시험편(KS B 0831)에 따르면 후판, 조강 및 단조품에 대한 초음파탐상검사를 할 때, 탐상감도의 조정, 수직탐촉자의 특성측정 및 탐상기의 종합성능 측정 등의 목적으로 사용되는 표준 시험편은? 71 초음파탐상 시험용 표준시험편(KS B 0831)에서 STB-N1 표준시험편은 어떤 경우에 사용하는가? 72 보일러 및 압력용기에 대한 초음파탐상검사(ASME Sec. V Art.4)에서 평판 용접부의 두께가 1인치일 때 사용할 수 있는 기본교정시험편의 두께는?
73 페라이트계 강 용접부에 대한 초음파탐상검사(KS B 0896)에서 다음 불연속부의 등급은? (단, 불연속부 지시 : 판두께 80mm, 주파수 2MHz 사용, 영역 Ⅳ에서 에코 최대높이 지시 평가에 따른 지시 길이가 18mm 이다.) 74 보일러 및 압력용기의 재료에 대한 초음파탐상검사(ASME Sec.V Art.5)에서 볼트의 수직 초음파탐상검사에서 사용하는 교정시험편이 아닌 것은? 75 압력용기 제작기준 규격 강제 부록(ASME Code Sec.Ⅷ Div.1 App.12)에 따라 75mm(3인치) 두께를 갖는 맞대기 용접부를 검사한 결과 다음과 같은 흠집이 검출되었을 때 불합격인 지시는? 76 페라이트계 강 용접부에 대한 초음파탐상검사(KS B 0896)에서 경사가감상의 에코높이 구분선의 작성 시 RB-4 시험편을 사용했을 때 눈금판의 몇 스킵거리 이내의 범위를 그 스킵거리의 에코높이로 하는가? 77 금속재료의 펄스반사법에 따른 초음파탐상 시험방법 통칙(KS B 0817)에 의거 초음파탐상시험을 실시하고 시험의 결과를 평가하는 경우 고려하여야 할 사항에 해당되지 않는 것은? 78 페라이트계 강 용접부에 대한 초음파탐상검사(KS B 0896)에 따른 초음파탐상기가 갖추어야 할 성능으로 잘못된 것은? 79 보일러 및 압력용기에 대한 초음파탐상검사(ASME Sec. V Art.4)에 사용되는 교정시험편은 최소한 어떤 열처리가 행하여진 것을 사용해야 하는가? 80 페라이트계 강 용접부에 대한 초음파탐상검사(KS B 0896)에 따른 대비시험편 RB-4 No.1 표준 구멍의 지름은?
App Store Google Play
오늘학습 예시 이미지

시험에 합격하려면
복습을 제대로 해야 합니다.

오늘학습은 스스로 기억을 떠올리고 계획적으로 복습할 수 있도록 설계돼 있어요.
그것도, 가장 과학적인 방식으로요!

능동적 회상

능동적 회상
(Active Recall)

배운 내용을 단순 읽으며 반복하는 것이 아니라,
능동적으로 기억하고 있는지를
스스로 테스트하며
공부할 수 있는
학습 환경을 제공해 학습 효과를 높여요

간격 반복 학습

간격 반복 학습
(Spaced Repetition)

에빙하우스 망각곡선을 바탕으로
가장 최적의 시점에 복습을 제공하여
배운 내용이 잊히지 않도록 장기 기억화해요

Data 기반의
뇌과학적 복습 시스템

학습 결과 Data를 분석해, 문제별 최적화된
반복 학습량을
자동으로 분배해요.
학습에 소요되는 시간을 최소화하는
동시에
단기 기억을 장기 기억으로 전환해줘요.

36만 개 이상의
기출문제 무료 제공

공무원 및 약 300여종의 자격증 시험 기출문제
36만개
이상을 무료로 이용할 수 있어요.
여러 앱을 설치할 필요
없이, 오늘학습 하나로
모든 시험을 준비할 수 있어요.

다양한 문제 유형으로 만드는
나만의 단어장&문제집

기출 외에도 외워야 하는 내용은
객관식, 주관식, 카드, 빈칸
등 다양한 형식으로
직접 만들어 보세요. 내 학습 스타일에
맞게
나만의 단어장과 문제집을 만들 수 있어요.

시험별 체계적인
문제 관리

시험에 문제를 추가해 체계적으로
관리할 수 있어요.
주제나 단원별로
분류하고 싶다면,
시험에 챕터를 만들어
문제를 추가할 수도 있어요.

수십만 명이
오늘학습을 사랑합니다

앱 스토어 평점 4.9
구글 플레이 평점 4.8
누적 회원수 100,000+
지금 오늘학습을
시작해보세요
지금 시작하기
문제 선택