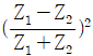
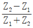
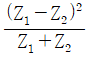
탄소강(음향 임피던스 Z1)의 한 쪽에 스테인리스강(음향임피던스 Z2)을 클래딩(cladding)하였다. 탄소강측으로부터 2MHz로 수직탐상했을 때 경계면에서의 음압반사율은?
지금 시작하기 →

・・・ 문제은행 초음파비파괴검사기사(2019년 1회) 27번

초음파비파괴검사기사 2019년 03월 27번

탄소강(음향 임피던스 Z1)의 한 쪽에 스테인리스강(음향임피던스 Z2)을 클래딩(cladding)하였다. 탄소강측으로부터 2MHz로 수직탐상했을 때 경계면에서의 음압반사율은?

1
2
3
4
단축키
이전 문제로 이동은 키를 누르고, 다음 문제로 이동은 키를 누르세요
이전 문제 , 다음 문제
문제(80)
25 알루미늄과 물의 경계면에서 초음파의 반사각은? 26 종파(Longitudinal Wave)에 대한 설명으로 틀린 것은? 27 탄소강(음향 임피던스 Z1)의 한 쪽에 스테인리스강(음향임피던스 Z2)을 클래딩(cladding)하였다. 탄소강측으로부터 2MHz로 수직탐상했을 때 경계면에서의 음압반사율은? 28 결정립에 대한 초음파의 산란감쇠에서 파장(λ)와 결정입자(Ds)의 비가 λ/Ds≒1일 때의 산란은? 29 결함의 크기를 측정하는 방법 중 기준선(Threshold Value)법과 dB drop법을 비교하였을 때 장단점으로 틀린 것은? 30 경사각탐상용 감도 조정 시험편으로는 STB-A2와 RB-4가 사용된다. STB-A2와 비교하여 RB-4의 특징이 아닌 것은? 31 결함으로부터 최대에코를 검출한 후 최대에코의 높이가 좌우로 50% 낮아지는 탐촉자의 이동거리를 결함 길이로 평가하는 방법은? 32 수직탐촉자를 사용할 경우 원거리 음장에서 빔 분산이 가장 적은 탐촉자는? 33 동일 탐촉자로 표면에서 일정한 거리에 있는 3개의 결함을 탐상하니 초음파 탐상기의 CRT스크린 상에 각각 80% FSH(Full Screen Height), 50% FSH, 20% FSH 였다. 이 결함들의 면적비는? (단, 비례는 80% : 50% : 20% FSH 순 이다.) 34 초음파탐상검사에서 큰 결함영역의 크기를 측정하는 경우의 옳은 설명은? 35 다음 ()안에 알맞은 말은? 36 동일한 두께의 2개 강판을 수직 탐상하였다. 하나는 저면반사가 많이 나타났지만 다른 하나는 몇 회만 나타났다. 다음 중 저면 에코가 적게 나타난 재료로 옳은 것은?
37 초음파가 다른 매질의 경계에 어떤 각도로 입사할 때 제 2매질 내 음파의 진행방향을 정하는 굴절각은 무엇에 의해서 결정되는가? 38 초음파탐상검사에서 표면파로 검출할 수 있는 결함의 위치는? 39 근거리 음장에서 신호의 진폭에 변화를 일으키는 이유는? 40 초음파탐상검사 시 원거리음장에서 빔분산각에 영향을 주는 주된 인자는? 41 탐촉자의 진동자 크기보다 작거나 동일한 크기의 기공과 융합불량이 같은 거리에 있다면 일반적으로 스크린상의 에코 높이는 어떻게 표시되는가? (단, 음파는 결함에 수직방향으로 입사된다.) 42 초음파 탐상검사에서 탐상방향을 선정하는 경우 기본적으로 고려해야할 사항으로 틀린 것은?(오류 신고가 접수된 문제입니다. 반드시 정답과 해설을 확인하시기 바랍니다.) 43 2진동자 탐촉자에 관한 설명으로 옳은 것은? 44 매질 1에서 입사각이 15°로 초음파가 경사입사할 때 매질 2에서의 굴절각은 얼마인가? (단, 매질 1의 음향임피던스는 6kg/m2s, 밀도는 3g/cm3, 매질 2의 음향임피던스는 8kg/m2s, 밀도는 4g/cm3이다.) 45 초음파 탐상검사에서 결함의 크기를 측정할 때 정확성을 기하기 위해 고려하여야 할 사항으로 틀린 것은? 46 초음파탐상기의 중요한 3가지 기본 성능으로 옳은 것은? 47 같은 크기의 결함이 시험체내에 있는 경우 초음파탐상시험으로 가장 발견되기 쉬운 결함은? 48 시험체를 탐촉자 5Z20N을 사용하여 초음파검사를 하였더니 임상에코가 많이 나타나서 검사가 불가능하였다. 검사를 진행하기 위하여 교체하기에 가장 적절한 탐촉자는?
49 강 용접부 내부 융합부에 존재하는 불연속을 검출하는데 가장 일반적인 초음파탐상검사는? 50 아래 그림에 나타낸 STB-A3 시험편의 ㉠위치와 ㉡위치의 측정한 치수(mm)를 순서대로 나타낸 것은? 51 펄스반사식 초음파탐상법에서 평판 맞대기 용접부 내부에 원형 기공이 1개 존재한다면 경사각탐촉자의 주사방법에 따른 에코의 변화로 옳은 것은? 52 탐촉자 2개로 송ㆍ수신(Pitch-catch)하여 결함을 탐상하는 방법으로 아래 그림과 같이 탐촉자를 배열하여 검사하는 방법은? 53 수침 공진법을 이용하여 초음파탐상검사를 할 때 설명으로 옳은 것은? 54 수침법에서 초음파가 14°의 각도로 강재에 입사되었다면 강재 내에서 횡파의 굴절각은? (단, 강의 횡파속도는 3200m/sec이고 물의 횡파속도는 1500m/sec이다.) 55 X형 개선의 용접부에 발생하는 결함 중 내부용입불량은 방향성 때문에 검출하기 어려운 결함으로 검출하기에 가장 적절한 방법은? 56 경사각탐상을 할 때 용접 덧붙임을 제거한 상태에서 용접부의 가로터짐(횡균열) 등의 결함을 검출하기 위하여 용접부 및 열 영향부 위에 놓고 초음파 빔을 용접선 방향으로 돌려 용접선 방향으로 이동시키는 주사법은? 57 초음파탐상검사를 할 때 시험주파수를 선정할 때 고려사항으로 옳은 것은? 58 STB-A1 표준시험편으로 초음파 탐촉자의 굴절각을 측정한 결과 45°이었다. 이 탐촉자로 알루미늄에 대한 굴절각을 측정하면 약 얼마인가? 59 재질이 다른 동일 두께의 판재 2장을 각각 수직탐상 하였다. 전자는 저면 에코의 반사 횟수가 매우 많은데 비해 후자는 몇 회 정도만 보였다. 후자와 같은 재료는 어느 것에 해당되는가? 60 표준시험편인 STB-A1의 용도를 설명한 것으로 틀린 것은?
61 보일러 및 압력용기에 대한 표준초음파탐상검사(ASME Sec.V, Art.23 SB-548)에서 권장하는 탐촉자에 대한 설명과 가장 거리가 먼 것은? 62 강 용접부의 초음파 탐상 시험방법(KS B 0896)에서 탐촉자의 이동 거리에 추정한 흠의 겉보기 길이를 나타내는 것은? 63 강 용접부의 초음파 탐상 시험방법(KS B 0896)에 따른 다음 표를 이용하여 제시된 결함지시 등급은? 64 아크용접 강관의 초음파탐상검사 방법(KS D 0252)에서 자동참상에 의한 탐상방법의 설명으로 틀린 것은? 65 강 용접부의 초음파 탐상 시험방법(KS B 0896)에서 접촉자 흠 거리가 나타내는 의미는? 66 보일러 및 압력용기에 대한 표준초음파탐상검사(ASME Sec.V, Art.4)에서 아날로그 장치의 직선성 점검은 얼마의 기간을 초과하지 않는 범위에서 하여야 하는가? 67 보일러 및 압력용기에 대한 표준초음파탐상검사(ASME Sec.V, Art.4)에 의한 용접부 탐상 시 교정 확인 중 감도 설정이 그 진폭의 2dB 또는 몇 % 이상 변할 때 감도를 수정하고 재시험을 해야 하는가? 68 강 용접부의 초음파 탐상 시험방법(KS B 0896)에 따른 음향 이방성 검정을 위한 횡파 음속비 측정에 사용할 수 있는 탐촉자는? 69 압력용기용 강판의 초읍파 탐상검사(KS D 0233)에서 수직법에 의한 펄스반사법으로 탐상하고자 할 때 단일 진동자 수직 탐촉자로 검사할 대상이 아닌 강판의 두께는? 70 압력용기 제작기준 규격 강제 부록(ASME Code Sev.Ⅷ Div.1 App.12)에 따라 초음파탐상 결과를 판정하고자 할 때 결함의 길이에 관계없이 불합격 처리되는 결함은? 71 보일러 및 압력용기에 대한 표준초음파탐상검사(ASME Sec.V, Art.23 SB-548)에 따른 표준방법 중 진동자 수정체의 실제 지름이 10mm일 때 주사 간격(mm)은? 72 탄소강 및 저합금강 단강품의 초음파탐상시험방법(KS D 0248)에 따른 탐상방식에 관한 설명으로 옳지 않은 것은?
App Store Google Play
오늘학습 예시 이미지

시험에 합격하려면
복습을 제대로 해야 합니다.

오늘학습은 스스로 기억을 떠올리고 계획적으로 복습할 수 있도록 설계돼 있어요.
그것도, 가장 과학적인 방식으로요!

능동적 회상

능동적 회상
(Active Recall)

배운 내용을 단순 읽으며 반복하는 것이 아니라,
능동적으로 기억하고 있는지를
스스로 테스트하며
공부할 수 있는
학습 환경을 제공해 학습 효과를 높여요

간격 반복 학습

간격 반복 학습
(Spaced Repetition)

에빙하우스 망각곡선을 바탕으로
가장 최적의 시점에 복습을 제공하여
배운 내용이 잊히지 않도록 장기 기억화해요

Data 기반의
뇌과학적 복습 시스템

학습 결과 Data를 분석해, 문제별 최적화된
반복 학습량을
자동으로 분배해요.
학습에 소요되는 시간을 최소화하는
동시에
단기 기억을 장기 기억으로 전환해줘요.

36만 개 이상의
기출문제 무료 제공

공무원 및 약 300여종의 자격증 시험 기출문제
36만개
이상을 무료로 이용할 수 있어요.
여러 앱을 설치할 필요
없이, 오늘학습 하나로
모든 시험을 준비할 수 있어요.

다양한 문제 유형으로 만드는
나만의 단어장&문제집

기출 외에도 외워야 하는 내용은
객관식, 주관식, 카드, 빈칸
등 다양한 형식으로
직접 만들어 보세요. 내 학습 스타일에
맞게
나만의 단어장과 문제집을 만들 수 있어요.

시험별 체계적인
문제 관리

시험에 문제를 추가해 체계적으로
관리할 수 있어요.
주제나 단원별로
분류하고 싶다면,
시험에 챕터를 만들어
문제를 추가할 수도 있어요.

수십만 명이
오늘학습을 사랑합니다

앱 스토어 평점 4.9
구글 플레이 평점 4.8
누적 회원수 100,000+
지금 오늘학습을
시작해보세요
지금 시작하기
문제 선택