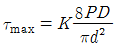
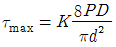
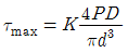
코일 스프링에서 축방향 작용하중을 P, 코일의 유효지름을 D, 소선의 지름을 d, Wahl의 응력수정계수를 K라 할 때 최대전단응력 τmax 를 구하는 식으로 옳은 것은?
지금 시작하기 →

・・・ 문제은행 기계설계기사(2018년) 43번

기계설계기사 2018년 04월 43번

코일 스프링에서 축방향 작용하중을 P, 코일의 유효지름을 D, 소선의 지름을 d, Wahl의 응력수정계수를 K라 할 때 최대전단응력 τmax 를 구하는 식으로 옳은 것은?

1
2
3
4
단축키
이전 문제로 이동은 키를 누르고, 다음 문제로 이동은 키를 누르세요
이전 문제 , 다음 문제
문제(80)
1 그림의 H형 단면의 도심축인 Z축에 관한 회전반경(radius of gyration)은 얼마인가? 2 그림과 같이 A, B의 원형 단면봉은 길이가 같고, 지름이 다르며, 양단에서 같은 압축하중 P를 받고 있다. 응력은 각 단면에서 균일하게 분포된다고 할 때 저장되는 탄성 변형 에너지의 비 UB/UA는 얼마가 되겠는가? 3 길이 6m 인 단순 지지보에 등분포하중 q가 작용할 때 단면에 발생하는 최대 굽힘응력이 337.5MPa이라면 등분포하중 q는 약 몇 kN/m인가? (단, 보의 단면은 폭×높이=40mm×100mm이다.) 4 지름 20mm, 길이 1000mm의 연강봉이 50kN의 인장하중을 받을 때 발생하는 신장량은 약 몇 mm인가? (단, 탄성계수 E=210GPa이다.) 5 다음과 같이 3개의 링크를 핀을 이용하여 연결하였다. 2000N의 하중 P가 작용할 경우 핀에 작용되는 전단응력은 약 몇 MPa인가? (단, 핀의 직경은 1cm이다.) 6 지름이 60mm인 연강축이 있다. 이 축의 허용전단응력은 40MPa이며 단위 길이 1m당 허용회전각도는 1.5°이다. 연강의 전단 탄성계수를 80GPa이라 할 때 이 축의 최대 허용 토크는 약 몇 N·m인가? 7 평면 응력 상태에서 εx=-150×10-6, εy=-280×10-6, γxy=850×10-6일 때, 최대주 변형률(ε1)과 최소주변형률(ε2)은 각각 약 얼마인가? 8 지름 3cm인 강축이 26.5rev/s의 각속도로 26.5kW의 동력을 전달하고 있다. 이 축에 발생하는 최대 전단응력은 약 몇 MPa인가? 9 폭 3cm, 높이 4cm의 직사각형 단면을 갖는 외팔보가 자유단에 그림에서와 같이 집중하중을 받을 때 보 속에 발생하는 최대전단응력은 몇 N/cm인가? 10 그림과 같은 보에서 발생하는 최대굽힘 모멘트는 몇 kN·m인가? 11 그림과 같은 외팔보에 대한 전단력 선도로 옳은 것은? (단, 아랫방향을 양(+)으로 본다.) 12 보의 자중을 무시할 때 그림과 같이 자유단 C에 집중하중 2P가 작용할 때 B점에서 처짐 곡선의 기울기각은? (단, 세로탄성계수를 E, 단면 2차 모멘트를 I라고 한다.)
13 원형 단면축이 비틀림을 받을 때, 그 속에 저장되는 탄성 변형에너지 U는 얼마인가? (단, T : 토크, L : 길이, G : 가로탄성계수, IP : 극관성모멘트, I : 관성모멘트, E : 세로 탄성계수이다.) 14 그림에 표시한 단순 지지보에서의 최대 처짐량은? (단, 보의 굽힘 강성은 EI이고, 자중은 무시한다.) 15 원통형 압력용기에 내압 P가 작용할 때, 원통부에 발생하는 축 방향의 변형률 εx및 원주 방향 변형률 εy는? (단, 강판의 두께 t는 원통의 지름 D에 비하여 충분히 작고, 강판 재료의 탄성계수 및 포아송 비는 각각 E, v이다.) 16 그림에서 784.8N과 평형을 유지하기 위한 힘 F1과 F2는? 17 최대 사용강도 400MPa의 연강봉에 30kN의 축방향의 인장하중이 가해질 경우 강봉의 최소지름은 몇 cm까지 가능한가? (단, 안전율은 5이다.) 18 지름이 0.1m이고 길이가 15m인 양단힌지인 원형강 장주의 좌굴임계하중은 약 몇 kN인가? (단, 장주의 탄성계수는 200GPa이다.) 19 그림과 같이 길이가 동일한 2개의 기둥 상단에 중심 압축 하중 2500N이 작용할 경우 전체 수축량은 약 몇 mm 인가? (단 단면적 A1=1000mm2, A2=2000mm2, 길이 L=300mm, 재료의 탄성계수 E=90GPa이다.) 20 그림과 같이 전길이에 걸쳐 균일 분포하중 ω를 받는 보에서 최대처짐 δmax 를 나타내는 식은? (단, 보의 굽힘 강성계수는 EI이다.) 21 너트를 조정하여 점접촉이 이루어지므로 마찰이 적고 백래쉬를 “0”에 가깝게 할 수 있는 나사는? 22 가공물, 미디어(media), 가공액 등을 통속에 혼합하여 회전시킴으로써 깨끗한 가공면을 얻을 수 있는 특수 가공법은? 23 프로젝션 용접(projection welding)의 특징에 관한 설명으로 틀린 것은? 24 지그의 종류 중 공작물의 전체 면이 지그로 둘러싸인 것으로써 공작물을 한번 고정한 후 지그를 회전시키면서 전면을 가공할 수 있는 것은?
37 용접재를 강하게 맞대어 대전류를 통하게 하면 이음부 부근의 접촉 저항열에 의해 용접부가 적당한 온도에 도달한다. 이 때 축방향으로 큰 압력을 주어 용접하는 방법은? 38 광유에 비눗물을 첨가한 것으로 원액과 물을 혼합하여 냉각과 윤활성이 좋고 값이 저렴하여 널리 사용되는 절삭유는? 39 방전가공용 전극재료의 구비조건으로 틀린 것은? 40 머시닝센터에서 로터리 테이블을 추가할 때 그 상부의 팰릿을 자동으로 교환시켜 기계정지 시간을 단축시킬 수 있는 장치는? 41 회전수가 1500rpm, 베어링 하중이 2500N, 기본 동정격하중이 35000N인 롤러 베어링의 수명은 약 몇 시간인가? 42 핀(pin)이 주로 사용되는 용도에 해당하지 않는 것은? 43 코일 스프링에서 축방향 작용하중을 P, 코일의 유효지름을 D, 소선의 지름을 d, Wahl의 응력수정계수를 K라 할 때 최대전단응력 τmax 를 구하는 식으로 옳은 것은? 44 V-벨트 전동장치에서 벨트의 마찰계수 μ, V 홈의 각도는 2α라고 할 때, 벨트의 유효마찰계수 μ′를 구하는 식으로 옳은 것은? 45 용접이음의 일반적인 장·단점에 대한 설명으로 옳지 않은 것은? 46 단식 블록 브레이크에서 드럼의 원주속도는 8m/s, 제동 동력은 1.9kW일 때, 브레이크 용량(μpv, MPa·m/s)은? (단, 블록의 마찰면적은 50cm2이고, 마찰계수는 0.3이다.) 47 벨트방식의 무단변속기에서 구동축의 회전수 2400rpm, 토크 150N·m이고 벨트 구동 풀리의 반지름은 60mm이다. 여기서 피동 풀리의 반지름이 180mm라고 할 때 피동축에서의 회전수(N)와 토크(T)는? 48 모듈이 3인 인벌류트 치형의 표준 스퍼기어에서 이 뿌리 틈새를 0.25×모듈(m)으로 할 때 총 이 높이는 몇 mm인가?
49 그림과 같이 탄성체인 볼트, 너트, 와셔, 두 평판이 체결되어 있다. 두 평판은 동일 재질로서 이들 스프링 상수는 K이며, 볼트의 스프링 상수는 Kb라고 할 때 K=8Kb가 성립한다. 볼트의 초기 체결력이 5000N, 두 평판 사이에 걸리는 외부하중(P)이 9000N이고 볼트의 단면에서의 허용인장응력이 70MPa일 때, 볼트의 최소 골지름은 약 몇 mm인가? (단, 와셔의 영향은 무시한다.) 50 역류를 방지하고 유체를 한쪽 방향으로만 흐르게 하는 밸브는? 51 표점거리가 100mm, 시험편의 평행부 지름이 14mm인 시험편을 최대하중 6400kgf로 인장한 후 표점거리가 120mm로 변화 되었을 때 인장강도는 약 몇 kgf/mm2인가? 52 상온에서 순철의 결정격자는? 53 탄소함유량이 0.8%가 넘는 고탄소강의 담금질 온도로 가장 적당한 것은? 54 다음은 일반적으로 수지에 나타나는 배향 특성에 대한 설명으로 틀린 것은? 55 금속침투법 중 Zn을 강 표면에 침투 확산시키는 표면처리법은? 56 다음 합금 중 베어링용 합금이 아닌 것은? 57 다음 그림과 같은 상태도의 명칭은? 58 황(S) 성분이 적은 선철을 용해로에서 용해한 후 주형에 주입 전 Mg, Ca 등을 첨가시켜 흑연을 구상화한 주철은? 59 금속나트륨 또는 플루오르화 알칼리 등의 첨가에 의해 조직이 미세화 되어 기계적 성질의 개선 및 가공성이 증대되는 합금은? 60 영구 자석강이 갖추어야 할 조건으로 가장 적당한 것은?
61 CAD 시스템에 의하여 수행되어지는 설계와 관련된 업무가 아닌 것은? 62 다음 중 특징형상 모델링(feature-based modeling)에 대한 설명으로 거리가 먼 것은? 63 다음 중 RP(쾌속조형장치)에 관한 설명으로 가장 옳은 것은? 64 다음은 경도(u)와 위도(v)를 매개변수로 한 지구표면의 곡면식이다. 이와 관련된 설명 중 틀린 것은? 65 다음 형상 모델링에 대한 설명 중 틀린 것은? 66 다음 중 컴퓨터 그래픽에서 3차원 공간 위의 한 점을 정의하는 기본적인 3차원 좌표계가 아닌 것은? 67 다음 중 직사각형을 평행사변형으로 만들려고 할 때 사용되는 변환은? 68 다음 은선, 은면 제거 알고리즘에 대한 설명 중 옳은 것은? 69 다음 중 Bezier 곡선에 해당하지 않는 사항은? 70 의료용 영상자료를 3차원으로 모델링하기 위해서 자주 사용되는 방법으로서 일정한 간격의 부피를 차지하는 기본적인 입체요소들의 집합으로 임의의 형상을 표현하는 형상모델을 지칭하는 용어는? 71 다음 그림에서 OP가 정지상태에서 출발하여 O를 중심으로 하여 각 가속도 10rad/s2으로 화살표 방향으로 회전했을 때, 0.6초 후의 P점의 속도(v′)는 약 몇 cm/s인가? (단, 의 길이는 20cm이다.) 72 마찰차에서 운전 중에 운전자가 원하는 대로 속도비를 변경할 수 있는 무단변속기구가 아닌 것은?
App Store Google Play
오늘학습 예시 이미지

시험에 합격하려면
복습을 제대로 해야 합니다.

오늘학습은 스스로 기억을 떠올리고 계획적으로 복습할 수 있도록 설계돼 있어요.
그것도, 가장 과학적인 방식으로요!

능동적 회상

능동적 회상
(Active Recall)

배운 내용을 단순 읽으며 반복하는 것이 아니라,
능동적으로 기억하고 있는지를
스스로 테스트하며
공부할 수 있는
학습 환경을 제공해 학습 효과를 높여요

간격 반복 학습

간격 반복 학습
(Spaced Repetition)

에빙하우스 망각곡선을 바탕으로
가장 최적의 시점에 복습을 제공하여
배운 내용이 잊히지 않도록 장기 기억화해요

Data 기반의
뇌과학적 복습 시스템

학습 결과 Data를 분석해, 문제별 최적화된
반복 학습량을
자동으로 분배해요.
학습에 소요되는 시간을 최소화하는
동시에
단기 기억을 장기 기억으로 전환해줘요.

36만 개 이상의
기출문제 무료 제공

공무원 및 약 300여종의 자격증 시험 기출문제
36만개
이상을 무료로 이용할 수 있어요.
여러 앱을 설치할 필요
없이, 오늘학습 하나로
모든 시험을 준비할 수 있어요.

다양한 문제 유형으로 만드는
나만의 단어장&문제집

기출 외에도 외워야 하는 내용은
객관식, 주관식, 카드, 빈칸
등 다양한 형식으로
직접 만들어 보세요. 내 학습 스타일에
맞게
나만의 단어장과 문제집을 만들 수 있어요.

시험별 체계적인
문제 관리

시험에 문제를 추가해 체계적으로
관리할 수 있어요.
주제나 단원별로
분류하고 싶다면,
시험에 챕터를 만들어
문제를 추가할 수도 있어요.

수십만 명이
오늘학습을 사랑합니다

앱 스토어 평점 4.9
구글 플레이 평점 4.8
누적 회원수 100,000+
지금 오늘학습을
시작해보세요
지금 시작하기
문제 선택