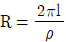
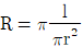
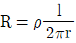
고유저항이 ρ(Ω-m), 길이가 l(m), 반지름이 r(m)인 전선의 저항 R(Ω)은?
지금 시작하기 →

・・・ 문제은행 항공전자정비기능사(2012년) 31번

항공전자정비기능사 2012년 04월 31번

고유저항이 ρ(Ω-m), 길이가 l(m), 반지름이 r(m)인 전선의 저항 R(Ω)은?

1
2
3
4
단축키
이전 문제로 이동은 키를 누르고, 다음 문제로 이동은 키를 누르세요
이전 문제 , 다음 문제
문제(60)
13 항공용 주파수 대역 중 초단파(VHF) 통신 장치의 사용 주파수는? 14 비행의 안전과 경제적인 운항을 위한 조종사 지원 시스템으로 조종사의 업무경감에 큰 기여를 하고 있는 것은? 15 한정된 공역을 많은 항공기가 사용하면서 지상에서 항공기에 지시를 내리기 위해 필요한 것은? 16 초단파 전방향 무선표지 지상국을 기준으로 한 항공기의 방위각이 이고 기체의 침로가 270°일 EO 항공기에서 지상국을 볼 EO의 상대방위로 옳은 것은? 17 비행자료기록장치(FDR)의 충격 보호 용기에 대한 설명으로 옳지 못한 것은? 18 다음 ( )안에 들어갈 알맞은 것은? 19 다음 ( )안에 들어갈 내용으로 가장 적합한 것은? 20 활주로에 접근하는 항공기에 활주로 중심선을 제공해 주는 지상 시설물은? 21 거리측정장치(DME)에서 항공기에 탑재된 장치의 송신과 수신 주파수의 차이는 몇 (MHz)인가? 22 활주로에 접근하는 항공기가 안전하게 착륙할 수 있도록 전파 신호를 이용하여 활주로에 대해 적절한 하강을 하도록 수직 방향의 위치 신호를 제공해 주는 장치는? 23 조종사가 시계 비행으로 착륙시키거나 착륙을 포기할 것인가를 결정하는 고도는? 24 조종실 음성 기록 장치에 기록된 대화는 충돌 전 최종 어느 정도의 시간까지 지워지거나 덮어쓰기가 되지 않아야 하는가?
App Store Google Play
오늘학습 예시 이미지

시험에 합격하려면
복습을 제대로 해야 합니다.

오늘학습은 스스로 기억을 떠올리고 계획적으로 복습할 수 있도록 설계돼 있어요.
그것도, 가장 과학적인 방식으로요!

능동적 회상

능동적 회상
(Active Recall)

배운 내용을 단순 읽으며 반복하는 것이 아니라,
능동적으로 기억하고 있는지를
스스로 테스트하며
공부할 수 있는
학습 환경을 제공해 학습 효과를 높여요

간격 반복 학습

간격 반복 학습
(Spaced Repetition)

에빙하우스 망각곡선을 바탕으로
가장 최적의 시점에 복습을 제공하여
배운 내용이 잊히지 않도록 장기 기억화해요

Data 기반의
뇌과학적 복습 시스템

학습 결과 Data를 분석해, 문제별 최적화된
반복 학습량을
자동으로 분배해요.
학습에 소요되는 시간을 최소화하는
동시에
단기 기억을 장기 기억으로 전환해줘요.

36만 개 이상의
기출문제 무료 제공

공무원 및 약 300여종의 자격증 시험 기출문제
36만개
이상을 무료로 이용할 수 있어요.
여러 앱을 설치할 필요
없이, 오늘학습 하나로
모든 시험을 준비할 수 있어요.

다양한 문제 유형으로 만드는
나만의 단어장&문제집

기출 외에도 외워야 하는 내용은
객관식, 주관식, 카드, 빈칸
등 다양한 형식으로
직접 만들어 보세요. 내 학습 스타일에
맞게
나만의 단어장과 문제집을 만들 수 있어요.

시험별 체계적인
문제 관리

시험에 문제를 추가해 체계적으로
관리할 수 있어요.
주제나 단원별로
분류하고 싶다면,
시험에 챕터를 만들어
문제를 추가할 수도 있어요.

수십만 명이
오늘학습을 사랑합니다

앱 스토어 평점 4.9
구글 플레이 평점 4.8
누적 회원수 100,000+
지금 오늘학습을
시작해보세요
지금 시작하기
문제 선택