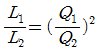
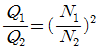
송풍기의 상사법칙에서 회전수(N)와 송풍량(Q), 소요동력(L), 정압(P)과의 관계를 올바르게 나타낸 것은?
지금 시작하기 →

・・・ 문제은행 산업위생관리산업기사(2020년 1회) 80번

산업위생관리산업기사 2020년 06월 80번

송풍기의 상사법칙에서 회전수(N)와 송풍량(Q), 소요동력(L), 정압(P)과의 관계를 올바르게 나타낸 것은?

1
2
3
4
단축키
이전 문제로 이동은 키를 누르고, 다음 문제로 이동은 키를 누르세요
이전 문제 , 다음 문제
문제(80)
13 작업자가 유해물질에 어느 정도 노출되었는지를 파악하는 지표로서 작업자의 생체시료에서 대사산물 등을 측정하여 유해물질의 노출량을 추정하는데 사용되는 것은? 14 산업안전보건법령에 의한 「화학물질의 분류ㆍ표시 및 물질안전보건자료에 관한 기준」에서 정하는 경고표지의 색상으로 옳은 것은? 15 육체적 작업능력(PWC)이 16kcal/min인 근로자가 물체운반작업을 하고 있다. 작업대사량은 7kcal/min, 휴식 시의 대사량이 2kcal/min일 때 휴식 및 작업시간을 가장 적절히 배분한 것은? (단, Hertig의 식을 이용하며, 1일 8시간 작업기준이다.) 16 미국의 ACGIH, AIHA, ABIH 등에서 채택한 산업위생에 종사하는 사람들이 반드시 지켜야 할 윤리강령 중 전문가로서의 책임에 해당하지 않는 것은? 17 NIOSH의 들기 작업 권장무게한계(RWL)에서 중량물상수와 수평위치값의 기준으로 옳은 것은? 18 산업위생의 기본적인 과제와 가장 거리가 먼 것은? 19 작업에 소요된 열량이 400kcal/시간인 작업의 작업대사율(RMR)은 약 얼마인가? (단, 작업자의 기초대사량은 60kcal/시간이며, 안정 시 열량은 기초대사량의 1.2배이다.) 20 혐기성 대사에서 혐기성 반응에 의해 에너지를 생산하지 않는 것은? 21 산에 쉽게 용해되므로 입자상 물질 중의 금속을 채취하여 원자흡광법으로 분석하는데 적당하며, 석면의 현미경 분석을 위한 시료채취에도 이용되는 여과지는? 22 다음 중 검지관 측정법의 장ㆍ단점으로 틀린 것은? 23 포스겐(COCI2) 가스 농도가 120μg/m3이었을 때, ppm으로 환산하면 약 몇 ppm인가? (단, COCI2의 분자량은 99이고, 25℃, 1기압을 기준으로 한다.) 24 코크스 제조공정에서 발생되는 코크스오븐 배출물질을 채취하는 데 많이 이용되는 여과지는?
25 원자흡광분석기에서 빛이 어떤 시료 용액을 통과할 때 그 빛의 85%가 흡수될 경우의 흡광도는? 26 고유량 공기 채취 펌프를 수동 무마찰 거품관으로 보정하였다. 비눗방울이 300cm3의 부피까지 통과하는 데 12.5초 걸렸다면 유량(L/min)은? 27 사업장에서 70dB과 80dB의 소음이 발생되는 장비가 각각 설치되어 있을 때, 장비 2대가 동시에 가동할 때 발생되는 소음은 몇 dB인가? 28 일정한 부피조건에서 가스의 압력과 온도가 비례한다는 것과 관계있는 것은? 29 소음의 음압수준(LP)를 구하는 식은?(단, P: 음압, PO: 기준 음압) 30 주물공장 내에서 비산되는 먼지를 측정하기 위해서 High volume air sampler을 사용하였을 때, 분당 3L로 60분간 포집한 결과 여과지의 무게가 2.46mg이면, 주물공장 내 먼지 농도는 약 몇 mg/m3인가? (단, 포집 전의 여과지의 무게는 1.66mg이다.) 31 가스크로마토그래피-질량분석기(GC-MS)를 이용하여 물질분석을 할 때 사용하는 일반적인 이동상 가스는 무엇인가? 32 다음 중 고분자화합물질의 분석에 적합하며 이동상으로 액체를 사용하는 분석기기는? 33 가스상물질을 채취하는 흡착제로서 활성탄 대비 실리카겔이 갖는 장점이 아닌 것은? 34 부탄올 흡수액을 이용하여 시료를 채취한 후 분석된 양이 75μg이며, 공시료에 분석된 평균양은 0.5μg, 공기채취량은 10L일 때, 부탄의 농도는 약 몇 mg/m3인가? (단, 탈착효율은 100%이다.) 35 음력이 1.0W인 작은 점음원으로부터 500m 떨어진 곳의 음압레벨은 약 몇 dB(A)인가? (단, 기준음력은 10-12W이다.) 36 가스크로마토그래피(GC)에서 이황화탄소, 니트로메탄을 분석할 때 주로 사용하는 검출기는?
37 다음 중 1차 표준기구가 아닌 것은? 38 하루 8시간 작업하는 근로자가 200ppm 농도에서 1시간, 100ppm 농도에서 2시간, 50ppm에 3시간 동안 TCE에 노출되었을 때, 이 근로자가 8시간 동안 TWA 농도는? 39 누적소음노출량 측정기로 소음을 측정하는 경우 소음계의 Exchange rate 설정 기준은? (단, 고용노동부 고시를 기준으로 한다.) 40 공기 중 석면 농도를 허용기준과 비교할 때 가장 일반적으로 사용되는 석면 측정방법은? 41 주물사업장에서 습구흑구온도를 측정한 결과 자연습구온도 40℃, 흑구온도 42℃, 건구온도 41℃로 확인되었다면 습구흑구온도지수는? (단, 옥외(태양광선이 내리쬐지 않는 장소)를 기준으로 한다.) 42 비중격 천공의 원인물질로 알려진 중금속은? 43 염료, 합성고무 등의 원료로 사용되며 저농도로 장기간 폭로 시 혈액장애, 간장장애를 일으키고 재생불량성 빈혈, 백혈병까지 발병할 수 있는 물질은? 44 분진이 발생되는 사업장의 작업공정개선 대책으로 틀린 것은? 45 공기 중 트리클로로에틸렌이 고농도로 존재하는 작업장에서 아크 용접을 실시하는 경우 트리클로로에틸렌은 어떠한 물질로 전환될 수 있는가? 46 인공조명을 선정 및 설치할 때, 고려사항으로 틀린 것은? 47 전신진동의 주파수 범위로 가장 적절한 것은? 48 소음에 대한 차음을 위해 사용하는 귀덮개와 귀마개를 비교 설명한 내용으로 옳지 않은 것은?
61 환기장치에서 관경이 350mm인 직관을 통하여 풍량 100m3/min의 표준공기를 송풍할 때 관내 평균풍속은 약 몇 m/sec인가? 62 A사업장에서 적용중인 후드의 유입계수가 0.8이라면, 유입손실계수는 약 얼마인가? 63 일반적으로 제어속도를 결정하는 인자와 가장 거리가 먼 것은? 64 실내의 중량 절대습도가 80kg/kg, 외부의 중량 절대습도가 60kg/kg, 실내의 수증기가 시간당 3kg씩 발생할 때 수분 제거를 위하여 중량단위로 필요한 환기량(m3/min)은 약 얼마인가? (단, 공기의 비중량은 1.2kgf/m3으로 한다.) 65 다음 중 송풍기의 정압효율이 가장 우수한 형식은? 66 플랜지가 붙은 슬롯 후드가 있다. 제어거리가 30cm, 제어속도가 1m/s일 때, 필요송풍량(m3/min)은 약 얼마인가? (단, 슬롯의 길이는 10cm이다.) 67 전압, 정압, 속도압에 관한 설명으로 옳지 않은 것은? 68 외부식 후드의 흡인기능의 불량 원인과 거리가 먼 것은? 69 입자상 물질의 원심력을 집진장치에 주로 이요하는 공기정화장치는? 70 전체환기시설의 설치 전제조건과 가장 거리가 먼 것은? 71 1기압, 0℃에서 공기의 비중량이 1.293kgf/m3일 경우, 동일 기압에서 23℃일 때, 공기의 비중량은 약 얼마인가? 72 공기정화장치의 입구와 출구의 정압이 동시에 감소되었다면, 국소배기장치(설비)의 이상원인으로 가장 적합한 것은?
App Store Google Play
오늘학습 예시 이미지

시험에 합격하려면
복습을 제대로 해야 합니다.

오늘학습은 스스로 기억을 떠올리고 계획적으로 복습할 수 있도록 설계돼 있어요.
그것도, 가장 과학적인 방식으로요!

능동적 회상

능동적 회상
(Active Recall)

배운 내용을 단순 읽으며 반복하는 것이 아니라,
능동적으로 기억하고 있는지를
스스로 테스트하며
공부할 수 있는
학습 환경을 제공해 학습 효과를 높여요

간격 반복 학습

간격 반복 학습
(Spaced Repetition)

에빙하우스 망각곡선을 바탕으로
가장 최적의 시점에 복습을 제공하여
배운 내용이 잊히지 않도록 장기 기억화해요

Data 기반의
뇌과학적 복습 시스템

학습 결과 Data를 분석해, 문제별 최적화된
반복 학습량을
자동으로 분배해요.
학습에 소요되는 시간을 최소화하는
동시에
단기 기억을 장기 기억으로 전환해줘요.

36만 개 이상의
기출문제 무료 제공

공무원 및 약 300여종의 자격증 시험 기출문제
36만개
이상을 무료로 이용할 수 있어요.
여러 앱을 설치할 필요
없이, 오늘학습 하나로
모든 시험을 준비할 수 있어요.

다양한 문제 유형으로 만드는
나만의 단어장&문제집

기출 외에도 외워야 하는 내용은
객관식, 주관식, 카드, 빈칸
등 다양한 형식으로
직접 만들어 보세요. 내 학습 스타일에
맞게
나만의 단어장과 문제집을 만들 수 있어요.

시험별 체계적인
문제 관리

시험에 문제를 추가해 체계적으로
관리할 수 있어요.
주제나 단원별로
분류하고 싶다면,
시험에 챕터를 만들어
문제를 추가할 수도 있어요.

수십만 명이
오늘학습을 사랑합니다

앱 스토어 평점 4.9
구글 플레이 평점 4.8
누적 회원수 100,000+
지금 오늘학습을
시작해보세요
지금 시작하기
문제 선택