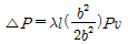
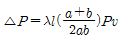
정방형 송풍관의 압력손실()을 계산하는 식은? (단, λ : 마찰손실계수, l : 송풍관의 길이, Pv :속도압, a,b : 변의길이 이다.)
지금 시작하기 →

・・・ 문제은행 산업위생관리산업기사(2016년 2회) 79번

산업위생관리산업기사 2016년 05월 79번

정방형 송풍관의 압력손실()을 계산하는 식은? (단, λ : 마찰손실계수, l : 송풍관의 길이, Pv :속도압, a,b : 변의길이 이다.)

1
2
3
4
단축키
이전 문제로 이동은 키를 누르고, 다음 문제로 이동은 키를 누르세요
이전 문제 , 다음 문제
문제(80)
13 산업위생활동의 기본 4요소와 거리가 먼 것은? 14 산업피로를 예방하기 위한 개선대책으로 적당하지 않는 것은? 15 육체적 작업능력이 15kcal/min인 성인 남성 근로자가 1일 8시간 동안 물체를 운반하고 있다. 작업대사량이 6.5kcal/min, 휴식시의 대사량이 1.5kcal/min일 때 매시간별 휴식시간과 작업시간으로 가장 적합한 것은?(단, Hertig의 산시기을 적용한다.) 16 20℃, 1기압에서 MEK 50ppm은 약 몇 mg/m3인가?(단, MEK의 그램분자량 72.06이다.) 17 산소결핍장소에서의 관리 방법에 관한 내용으로 틀린 것은? 18 크레졸의 노출기준에는 시간가중평균노출기준(TWA)외에 '피부(Skin)'표시가 표시되어 있다. 이 표시에 대한 설명으로 틀린 것은? 19 산업안전보건법령산 사업주는 근골격계 부담 작업에 근로자를 종사하도록 하는 경우에는 몇 년마다 유해요인조사를 실시하여야 하는가? 20 직업병 발생요인 중 간접요인에 대한 설명과 거리가 먼 것은? 21 납이 발생되는 공정에서 공기 중 납 농도를 측정하기 위해 공기시료를0.550m3 채취하였고 이 시료를 10mL의 10% HNO3에 용해시켰다. 원자흡광분석기를 이용하여 시료 중 납을 분석하여 검량선과 비교한 결과 시료 용액 중 납의 농도가 49ug/mL로 나타났다면 채취한 시간 동안의 공기 중 납의 농도(mg/m3)는? 22 미국 ACGIH에서 정의한 흉곽성 입자상 물질의 평균 입경(μm)은? 23 작업장의 작업환경 측정결과가 보기와 같았다면 이 작업장에 대한 평가로 가장 알맞은 것은?(단, 측정농도는 시간가중평규농도를 의미한다.) 24 허용기준 대상 유해인자의 노출 농도 측정 및 분석을 위한 화학시험의 일반사항 중 용어에 관한 내용으로 틀린 것은?(단, 고용노동부 고시 기준)
25 우리나라 작업장 내 공기중의 석면섬유, 먼지, 입자상물질, 벤젠 그리고 방사성물질 등의 농도와 대기 중 이산화황 농도의 측정 결과를 분포화시킬 때 볼 수 있는 산업위생통계의 일반적인 분포는? 26 직접포집방법에 사용되는 시료채취백의 특징으로 가장 거리가 먼 것은? 27 크롬에 대한 흡광광도 분석법에 사용되는 발색액은? 28 공기 중 벤젠(분자량=78.1)을 활성탄관에 0.1L/분의 유량으로 2시간 동안 채취하여 분석한 결과 2.5mg이 나왔다. 공기 중 벤젠의 농도(ppm)은? (단, 공시료에서는 벤젠이 검출되지 않았으며 25℃, 1기압 기준) 29 납 분석 시 구연산 및 시안염을 가하여 약알칼리성으로 조제한 납용액에 디페닐티오카아비죤을 가하면 납이온과의 반응에 의하여 생성되는 적색의 킬레이트 화합물을 유기용매로 추출해서 흡광도를 정량하는 분석법은? 30 가스상 물질의 분석 및 평가를 위해 [알고 있는 공기 중 농도]를 만드는 방법인 Dynamic Method에 관한 설명으로 옳지 않은 것은? 31 활성탄관에 비하여 실리카겔관(흡착)을 사용하여 채취하기 용이한 시료는? 32 입경이 14μm이고, 밀도가 1.5g/cm3인 입자의 침강속도(cm/s)는? 33 음압도 측정시 정상청력을 가진 사람이 1000Hz에서 가청할 수 있는 최소 음압 실효치(N/m2)는? 34 유기화합물을 운반기체와 함께 수소와 공기의 불꽃속에 도입함으로써 생기는 이온의 증가를 이용한 검출기는? 35 작업장 내의 조명상태를 조사하고자 할 때 측정해야 되는 기본 항목에 포함되지 않는 것은? 36 유해화학물질 분석 시 침전법을 이용한 적정이 아닌 것은?
37 측정기구의 보정을 위한 비누거품미터(Soap bubble meter)의 활용 시 두 눈금 통과 측정시간의 정확성 범위와 눈금도달 시간 측정 시 초시계의 측정 한계범위가 바르게 표기된 것은? 38 가스크로마토그래피의 분리관은 성능은 분해능과 효율로 표시할 수 있다. 분해능을 높이려는 조작으로 틀린 것은? 39 실카겔에 대한 친화력이 가장 큰 물질은? 40 고열 측정구분이 습구온도이고, 측정기기가 자연습구 온도계인 경우 측정시간 기준은? (단, 고용노동부 고시 기준) 41 먼지의 한쪽 끝 가장자리와 다른쪽 끝 가장자리 사이의 거리를 측정함으로써 입자상물질의 크기를 과대평가 할 가능성이 있는 직경은? 42 공기 중에 트리클로로에틸렌(trichloroethylene)이 고농도로 존재하는 작업장에서 아크 용접을 실시하는 경우 트리클로로에틸렌이 어떠한 물질로 전환될 수 있는가? 43 B공장 집진기용 송풍기의 소음을 측정한 결과, 가동시는 90dB(A)였으나, 가동 중지상태에서는 85dB(A)였다. 이 송풍기의 실제 소음도는? 44 입자상 물질의 호흡기 내 침착기전에서 먼지의 운동속도가 낮은 미세기관지나 폐포에서는 어떠한 기전이 중요한 역할을 하는가? 45 질소의 마취작용에 관한 설명으로 옳지 않은 것은? 46 비전리 방사선인 극저주파 전자장에 관한 내용으로 옳지 않은 것은? 47 감압병의 예방과 치료에 관한 설명으로 옳지 않은 것은? 48 유해화학물질이 체내로 침투되어 해독되는 경우 해독반응에 가장 중요한 작용을 하는 것은?
61 원형이나 정사각형의 후드인 경우 필요 환기량은 Dalla Valle 공식 (Q=V(10x2+A)을 활용한다. 이 공식은 오염원에서 후드까지의 거리가 닥트직경의 몇 배 이내일 때만 유효한가? 62 푸쉬-풀(push-pull)후드에 관한 설명으로 맞는 것은? 63 일정 용적을 갖는 작업장 내에서 매시간 Mm3의 CO2가 발생할 때 필요환기량(m3/hr)공식으로 맞는 것은?(단, Cs는 작업환경 실내 CO2기준농도(%), CO는 작업환경 실외 CO2농도(%)를 나타낸다.) 64 덕트에서 공기흐름의 평균 속도압은 16mmH2O였다. 덕트에서의 반송속도(m/s)는 약 얼마인가?(단, 공기의 밀도는 1.21kg/m3으로 한다.) 65 송풍량이 증가해도 동력이 증가하지 않는 장점을 가지며 한계부하송풍기라고도 하는 송풍기는? 66 표준 상태에서 관내 속도압을 측정한 결과 10mmH2O였다면 관내 유속은 약 얼마인가? 67 플랜지가 부착된 슬롯형 후드의 필요송풍량은 플랜지가 없는 슬롯형 후드에 비하여 필요송풍량이 몇 % 가 감소되는가? (단, 기타 조건의 변화는 없다.) 68 유량이 600m3/min인 배기가스 중의 분진을 2m/min의 여과속도로 bag filter에서 처리하고자 할 때 필요한 여포집진기의 면적은 얼마인가? 69 톨루엔(분자량 92)의 증기 발생량은 시간당 300g 이다. 실내의 평균 농도를 노출기준(55ppm)이하로 하려면 유효 환기량은 약 몇 m3/min인가?(단, 안전계수는 4이고, 공기의 온도는 21℃이다.) 70 덕트의 시작점에서 공기의 베나수축(vena contracta)이 일어난다. 베나수축이 일반적으로 붕괴되는 지점으로 맞는 것은? 71 전체환기시설을 설치하기에 가장 적절한 곳은? 72 국소배기장치의 배기덕트 내 공기에 의한 마찰손실과 관련이 가장 적은 것은?
App Store Google Play
오늘학습 예시 이미지

시험에 합격하려면
복습을 제대로 해야 합니다.

오늘학습은 스스로 기억을 떠올리고 계획적으로 복습할 수 있도록 설계돼 있어요.
그것도, 가장 과학적인 방식으로요!

능동적 회상

능동적 회상
(Active Recall)

배운 내용을 단순 읽으며 반복하는 것이 아니라,
능동적으로 기억하고 있는지를
스스로 테스트하며
공부할 수 있는
학습 환경을 제공해 학습 효과를 높여요

간격 반복 학습

간격 반복 학습
(Spaced Repetition)

에빙하우스 망각곡선을 바탕으로
가장 최적의 시점에 복습을 제공하여
배운 내용이 잊히지 않도록 장기 기억화해요

Data 기반의
뇌과학적 복습 시스템

학습 결과 Data를 분석해, 문제별 최적화된
반복 학습량을
자동으로 분배해요.
학습에 소요되는 시간을 최소화하는
동시에
단기 기억을 장기 기억으로 전환해줘요.

36만 개 이상의
기출문제 무료 제공

공무원 및 약 300여종의 자격증 시험 기출문제
36만개
이상을 무료로 이용할 수 있어요.
여러 앱을 설치할 필요
없이, 오늘학습 하나로
모든 시험을 준비할 수 있어요.

다양한 문제 유형으로 만드는
나만의 단어장&문제집

기출 외에도 외워야 하는 내용은
객관식, 주관식, 카드, 빈칸
등 다양한 형식으로
직접 만들어 보세요. 내 학습 스타일에
맞게
나만의 단어장과 문제집을 만들 수 있어요.

시험별 체계적인
문제 관리

시험에 문제를 추가해 체계적으로
관리할 수 있어요.
주제나 단원별로
분류하고 싶다면,
시험에 챕터를 만들어
문제를 추가할 수도 있어요.

수십만 명이
오늘학습을 사랑합니다

앱 스토어 평점 4.9
구글 플레이 평점 4.8
누적 회원수 100,000+
지금 오늘학습을
시작해보세요
지금 시작하기
문제 선택