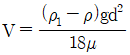
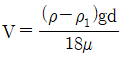
공기 중에 발산된 분진입자는 중력에 의하여 침강하는데 스토크스식이 많이 사용되고 있다. 침강속도는 식으로 맞는 것은? (단, V:침강속도, ρ1:먼지밀도, ρ:공기밀도, μ:공기의 점성, d:먼지직경, g:중력가속도)
지금 시작하기 →

・・・ 문제은행 산업위생관리산업기사(2019년 2회) 42번

산업위생관리산업기사 2019년 04월 42번

공기 중에 발산된 분진입자는 중력에 의하여 침강하는데 스토크스식이 많이 사용되고 있다. 침강속도는 식으로 맞는 것은? (단, V:침강속도, ρ1:먼지밀도, ρ:공기밀도, μ:공기의 점성, d:먼지직경, g:중력가속도)

1
2
3
4
단축키
이전 문제로 이동은 키를 누르고, 다음 문제로 이동은 키를 누르세요
이전 문제 , 다음 문제
문제(80)
61 아세톤이 공기 중에 10000ppm으로 존재한다. 아세톤 증기비중이 2.0이라면, 이 때 혼합물의 유효비중은? 62 터보팬형 송풍기의 특징을 설명한 것으로 틀린 것은? 63 국소배기장치에서 송풍량 30m3/min이고, 덕트의 직경이 200mm이면, 이 때 덕트 내의 속도는 약 몇 m/s인가? (단, 원형덕트인 경우이다.) 64 국소배기장치에서 후드를 추가로 설치해도 쉽게 정압 조절이 가능하고, 사용하지 않는 후드를 막아 다른 곳에 필요한 정압을 보낼 수 있어 현장에서 가장 편리하게 사용할 수 있는 압력 균형방법은? 65 일반적으로 국소배기장치를 가동할 경우에 가장 적합한 상황에 해당하는 것은? 66 덕트 내에서 압력손실이 발생되는 경우로 볼 수 없는 것은? 67 접착제를 사용하는 A공정에서는 메틸에틸케톤(MEK)과 톨루엔이 발생, 공기 중으로 완전혼합된다. 두 물질은 모두 마취작용을 하므로 상가효과가 있다고 판단되며, 각 물질의 사용 정보가 다음과 같을 때 필요환기량(m3/min)은 약 얼마인가? (단, 주위는 25℃, 1기압 상태이다.) 68 국소배기장치를 유지ㆍ관리하기 위한 자체검사 관련 필수 측정기와 관련이 없는 것은? 69 그림과 같은 송풍기 성능곡선에 대한 설명으로 맞는 것은? 70 직경이 38cm, 유효높이 5m인 원통형 백필터를 사용하여 0.5m3/s의 함진가스를 처리할 때, 여과속도(cm/s)은 약 얼마인가? 71 전체환기가 필요한 경우가 아닌 것은? 72 24시간 가동되는 작업장에서 환기하여야 할 작업장 실내의 체적은 3000m3이다. 환기시설에 의해 공급되는 공기의 유량이 4000m3/hr일 때, 이 작업장에서의 시간당 환기횟수는 얼마인가?
App Store Google Play
오늘학습 예시 이미지

시험에 합격하려면
복습을 제대로 해야 합니다.

오늘학습은 스스로 기억을 떠올리고 계획적으로 복습할 수 있도록 설계돼 있어요.
그것도, 가장 과학적인 방식으로요!

능동적 회상

능동적 회상
(Active Recall)

배운 내용을 단순 읽으며 반복하는 것이 아니라,
능동적으로 기억하고 있는지를
스스로 테스트하며
공부할 수 있는
학습 환경을 제공해 학습 효과를 높여요

간격 반복 학습

간격 반복 학습
(Spaced Repetition)

에빙하우스 망각곡선을 바탕으로
가장 최적의 시점에 복습을 제공하여
배운 내용이 잊히지 않도록 장기 기억화해요

Data 기반의
뇌과학적 복습 시스템

학습 결과 Data를 분석해, 문제별 최적화된
반복 학습량을
자동으로 분배해요.
학습에 소요되는 시간을 최소화하는
동시에
단기 기억을 장기 기억으로 전환해줘요.

36만 개 이상의
기출문제 무료 제공

공무원 및 약 300여종의 자격증 시험 기출문제
36만개
이상을 무료로 이용할 수 있어요.
여러 앱을 설치할 필요
없이, 오늘학습 하나로
모든 시험을 준비할 수 있어요.

다양한 문제 유형으로 만드는
나만의 단어장&문제집

기출 외에도 외워야 하는 내용은
객관식, 주관식, 카드, 빈칸
등 다양한 형식으로
직접 만들어 보세요. 내 학습 스타일에
맞게
나만의 단어장과 문제집을 만들 수 있어요.

시험별 체계적인
문제 관리

시험에 문제를 추가해 체계적으로
관리할 수 있어요.
주제나 단원별로
분류하고 싶다면,
시험에 챕터를 만들어
문제를 추가할 수도 있어요.

수십만 명이
오늘학습을 사랑합니다

앱 스토어 평점 4.9
구글 플레이 평점 4.8
누적 회원수 100,000+
지금 오늘학습을
시작해보세요
지금 시작하기
문제 선택