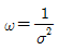
관측값의 표준편차(σ) 경중률(ω)과의 관계로 옳은 것은? (단, n: 관측회수)
지금 시작하기 →

・・・ 문제은행 지적기사(2021년 3회) 6번

지적기사 2021년 08월 6번

관측값의 표준편차(σ) 경중률(ω)과의 관계로 옳은 것은? (단, n: 관측회수)

1
2
3
4
단축키
이전 문제로 이동은 키를 누르고, 다음 문제로 이동은 키를 누르세요
이전 문제 , 다음 문제
문제(100)
13 그림에서 E1=20m, θ=150°일 때 S1은? 14 부정오차의 특성으로 옳지 않은 것은? 15 교회법에 의하여 지적삼각보조점측량을 실시할 경우 수평각 관측의 윤곽도는? 16 경위의측량방법에 따른 세부측량을 실시할 경우, 축척변경 시행지역의 측량결과도는 얼마의 축척으로 작성하여야 하는가? (단, 시ㆍ도지사의 승인을 얻는 경우는 고려하지 않는다.) 17 경계점좌표등록부 시행지역에서 지적도근점측량의 성과와 검사 성과의 연결교차는 얼마이내이어야 하는가? 18 경위의측량방법에 따른 세부측량을 할 때, 토지의 경계가 곡선인 경우 직선으로 연결하는 곡선의 중앙종거의 길이 기준으로 옳은 것은? 19 5km 간격의 지적삼각점 간 거리측량을 1/50000의 정밀도로 실시하고자 할 때, 각과거리리의 균형을 위한 각측량오차의 한계는? 20 특별소삼각원점의 좌표(종선좌표, 횡선좌표)는? 21 터널 내 중심선 측량시 다보(도벨, dowel)를 설치하는 주된 이유는? 22 다음 중 지질, 토양, 수자원, 삼림 조사 등의 판독작업에 가장 적합한 사진은? 23 초점거리 210mm의 카메라로 비고가 50m인 구릉지에서 촬영한 사진의 축적이 1:15000이다. 이 사진의 비고에 의한 최대 기복변위량은?(단, 사진크기 : 23cm X 23cm, 종중복도 : 60%) 24 그림과 같은 수평면과 45°의 경사를 가진 사면의 길이 ()가 25m이다. 이 사면의 경사를 30°로 완화한다면 사면의 길이 ()는?(오류 신고가 접수된 문제입니다. 반드시 정답과 해설을 확인하시기 바랍니다.)
25 종단곡선에서 상향기울기 , 하향기울기 인 두 노선이 반지름 2000m의 원곡선상에서 교차할 때 곡선길이(L)는? 26 축척 1:10000의 항공사진에서 건물의 시차를 측정하니 상부가 19.33mm, 하부가 16.83mm이었다면 건물의 높이는? (단, 촬영고도=800mm, 사진 상의 기선길이=68mm) 27 1:25000 지형도상에서 어떤 산정상으로부터 산기슭까지의 수평거리를 측정하니 48mm이었다. 산정상의 표고는 454m, 산기슭의 표고가 12m일 때 이 사면의 경사는? (단, 사면의 경사는 동일한 것으로 가정한다.) 28 각관측 장비를 이용하여 고저각을 관측하고 두 지점간의 수평거리를 알고 있을 때 적용할 수 있는 간접 수준 측량의 방법은? 29 지성선 중에서 빗물이 이것을 따라 좌우로 흐르게 되는 선으로 지표면이 높은 곳의 꼭대기 점을 연결한 선은? 30 중력장을 고려한 수직위치에 대한 설명으로 틀린 것은? 31 표고를 알고 있는 기지점에서 중요한 지성선을 따라 측선을 설치하고, 측선을 따라 여러 점의 표고와 거리를 측량하여 등고선을 측량하는 방법은? 32 레벨의 중심에서 100m 떨어진 곳에 표척을 세워 1.921m를 관측하고 기포가 5눈금 이동 후에 1.994m를 관측하였다면 이 기포관의 1눈금 이동에 대한 경사각(감도)은? 33 GPS측량에서 나타나는 오차의 종류 중 현재 영향을 받지 않는 오차는? 34 GNSS 측량에서 의사거리(pseudo-range)에 대한 설명으로 옳지 않은 것은? 35 노선측량에서 노선선정을 할 때 고려사항으로 가장 우선시 되는 것은? 36 터널측량의 작업 단계 중 지표에 설치된 중심선을 기준으로 하여 터널의 입구에서 굴착을 시작하여 굴착이 진행됨에 따라 터널내의 중심선을 설정하는 작업은?
App Store Google Play
오늘학습 예시 이미지

시험에 합격하려면
복습을 제대로 해야 합니다.

오늘학습은 스스로 기억을 떠올리고 계획적으로 복습할 수 있도록 설계돼 있어요.
그것도, 가장 과학적인 방식으로요!

능동적 회상

능동적 회상
(Active Recall)

배운 내용을 단순 읽으며 반복하는 것이 아니라,
능동적으로 기억하고 있는지를
스스로 테스트하며
공부할 수 있는
학습 환경을 제공해 학습 효과를 높여요

간격 반복 학습

간격 반복 학습
(Spaced Repetition)

에빙하우스 망각곡선을 바탕으로
가장 최적의 시점에 복습을 제공하여
배운 내용이 잊히지 않도록 장기 기억화해요

Data 기반의
뇌과학적 복습 시스템

학습 결과 Data를 분석해, 문제별 최적화된
반복 학습량을
자동으로 분배해요.
학습에 소요되는 시간을 최소화하는
동시에
단기 기억을 장기 기억으로 전환해줘요.

36만 개 이상의
기출문제 무료 제공

공무원 및 약 300여종의 자격증 시험 기출문제
36만개
이상을 무료로 이용할 수 있어요.
여러 앱을 설치할 필요
없이, 오늘학습 하나로
모든 시험을 준비할 수 있어요.

다양한 문제 유형으로 만드는
나만의 단어장&문제집

기출 외에도 외워야 하는 내용은
객관식, 주관식, 카드, 빈칸
등 다양한 형식으로
직접 만들어 보세요. 내 학습 스타일에
맞게
나만의 단어장과 문제집을 만들 수 있어요.

시험별 체계적인
문제 관리

시험에 문제를 추가해 체계적으로
관리할 수 있어요.
주제나 단원별로
분류하고 싶다면,
시험에 챕터를 만들어
문제를 추가할 수도 있어요.

수십만 명이
오늘학습을 사랑합니다

앱 스토어 평점 4.9
구글 플레이 평점 4.8
누적 회원수 100,000+
지금 오늘학습을
시작해보세요
지금 시작하기
문제 선택