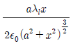
진공 중에 균일하게 대전된 반지름 a(m)인 선전하 밀도 λl(C/m)의 원환이 있을 때, 그 중심으로부터 중심축상 x(m)의 거리에 있는 점의 전계의 세기는 몇 V/m 인가?
지금 시작하기 →

・・・ 문제은행 전자기사(2018년 1회) 13번

전자기사 2018년 03월 13번

진공 중에 균일하게 대전된 반지름 a(m)인 선전하 밀도 λl(C/m)의 원환이 있을 때, 그 중심으로부터 중심축상 x(m)의 거리에 있는 점의 전계의 세기는 몇 V/m 인가?

1
2
3
4
단축키
이전 문제로 이동은 키를 누르고, 다음 문제로 이동은 키를 누르세요
이전 문제 , 다음 문제
문제(100)
1 그림과 같이 반지름 a(m)의 한번 감긴 원형코일이 균일한 자속밀도 B(Wb/m2)인 자계에 놓여 있다. 지금 코일 면을 자계와 나란하게 전류 I(A)를 흘리면 원형코일이 자계로부터 받는 회전 모멘트는 몇 N・m/rad인가? 2 그림과 같이 단면적 S=10[cm2], 자로의 길이 =20π[cm], 비유전율 μs=1000인 철심에 N1=N2=100인 두 코일을 감았다. 두 코일사이의 상호인덕턴스는 몇 mH 인가? 3 다음 조건들 중 초전도체에 부합되는 것은?(단, μr은 비투자율, xm은 비자화율, B는 자속밀도이며 작동온도는 임계온도 이하라 한다.) 4 자속밀도 10Wb/m2 자계 중에 10cm 도체를 자계와 30°의 각도로 30m/s 로 움직일 때, 도체에 유기되는 기전력은 몇 V 인가? 5 내부장치 또는 공간을 물질로 포위시켜 외부자계의 영향을 차폐시키는 방식을 자기차폐라 한다. 다음 중 자기차폐에 가장 좋은 것은? 6 40V/m인 전계 내의 50V되는 점에서 1C의 전하가 전계 방향으로 80cm 이동하였을 때, 그 점의 전위는 몇 V 인가? 7 1μA의 전류가 흐르고 있을 때, 1초 동안 통과하는 전자 수는 약 몇 개 인가?(단, 전자 1개의 전하는 1.602×10-19C 이다.)(오류 신고가 접수된 문제입니다. 반드시 정답과 해설을 확인하시기 바랍니다.) 8 내압 1000V 정전용량 1μF, 내압 750V 정전용량 2μF, 내압 500V 정전용량 5μF인 콘덴서 3개를 직렬로 접속하고 인가전압을 서서히 높이면 최초로 파괴되는 콘덴서는? 9 평면도체 표면에서 r(m)의 거리에 점전하 Q(C)이 있을 때 이 전하를 무한원까지 운반하는데 필요한 일은 몇 J 인가? 10 역자성체에서 비투자율(μs)은 어느 값을 갖는가? 11 비유전율 εr1, εr2인 두 유전체가 나란히 무한평면으로 접하고 있고, 이 경계면에 평행으로 유전체의 비유전율 εr1내에 경계면으로부터 d(m)인 위치에 선전하 밀도 ρ(C/m)인 선상전하가 있을 때, 이 선전하와 유전체 εr2간의 단위 길이당의 작용력은 몇 N/m 인가? 12 유전율이 εr1, εr2인 (F/m)인 유전체 경계면에 단위면적당 작용하는 힘은 몇 N/m2 인가?(단, 전계가 경계면에 수직인 경우이며, 두 유전체의 전속밀도 D1=D2=D이다.)
13 진공 중에 균일하게 대전된 반지름 a(m)인 선전하 밀도 λl(C/m)의 원환이 있을 때, 그 중심으로부터 중심축상 x(m)의 거리에 있는 점의 전계의 세기는 몇 V/m 인가? 14 점전하에 의한 전계는 쿨롱의 법칙을 사용하면 되지만 분포되어 있는 전하에 의한 전계를 구할 때는 무엇을 이용하는가? 15 x=0인 무한평면을 경계면으로 하여 x<0인 영역에는 비유전율 εr1=2, x>0인 영역에는 εr2=4인 유전체가 있다. εr1인 유전체내에서 전계 E1=20ax-10ay+5az(V/m)일 때 x>0인 영역에 있는 εr2인 유전체내에서 전속밀도 D2(C/m2)는? (단, 경계면상에는 자유전하가 없다고 한다.) 16 평면파 전파가 E=30cos(109t+20z)jV/m로 주어 졌다면 이 전자파의 위상 속도는 몇 m/s인가? 17 공기 중에 있는 지름 6cm인 단일 도체구의 정전용량은 약 몇 pF 인가? 18 한 변의 길이가 10cm인 정사각형 회로에 직류전류 10A가 흐를 때, 정사각형의 중심에서의 자계 세기는 몇 A/m 인가? 19 패러데이관(Faraday tube)의 성질에 대한 설명으로 틀린 것은? 20 균일하게 원형단면을 흐르는 전류 I(A)에 의한, 반지름 a(m), 길이 ℓ(m), 비투자율 μs인원통도체의 내부 인덕턴스는 몇 H 인가? 21 1μF인 정전용량을 가지는 콘덴서에 실효값 1414V, 주파수 10kHz, 위상각 0°인 전압을 가했을 때, 순시값 전류는 약 몇 A 인가? 22 다음과 같은 회로에서 t=0에서 스위치(K)가 닫혔다. 전류의 파형이 오실로스코프에 나타났을 때 전류의 초기값이 10mA로 측정되었을 경우, i(t)의 식으로 옳은 것은? 23 그림과 같은 주기성을 갖는 구형파 교류 전류의 실효치는 몇 A 인가? 24 감쇄계수(Damping factor) ζ가 0.05인 RL직렬 공진회로의 선택도(Q) 값은?
App Store Google Play
오늘학습 예시 이미지

시험에 합격하려면
복습을 제대로 해야 합니다.

오늘학습은 스스로 기억을 떠올리고 계획적으로 복습할 수 있도록 설계돼 있어요.
그것도, 가장 과학적인 방식으로요!

능동적 회상

능동적 회상
(Active Recall)

배운 내용을 단순 읽으며 반복하는 것이 아니라,
능동적으로 기억하고 있는지를
스스로 테스트하며
공부할 수 있는
학습 환경을 제공해 학습 효과를 높여요

간격 반복 학습

간격 반복 학습
(Spaced Repetition)

에빙하우스 망각곡선을 바탕으로
가장 최적의 시점에 복습을 제공하여
배운 내용이 잊히지 않도록 장기 기억화해요

Data 기반의
뇌과학적 복습 시스템

학습 결과 Data를 분석해, 문제별 최적화된
반복 학습량을
자동으로 분배해요.
학습에 소요되는 시간을 최소화하는
동시에
단기 기억을 장기 기억으로 전환해줘요.

36만 개 이상의
기출문제 무료 제공

공무원 및 약 300여종의 자격증 시험 기출문제
36만개
이상을 무료로 이용할 수 있어요.
여러 앱을 설치할 필요
없이, 오늘학습 하나로
모든 시험을 준비할 수 있어요.

다양한 문제 유형으로 만드는
나만의 단어장&문제집

기출 외에도 외워야 하는 내용은
객관식, 주관식, 카드, 빈칸
등 다양한 형식으로
직접 만들어 보세요. 내 학습 스타일에
맞게
나만의 단어장과 문제집을 만들 수 있어요.

시험별 체계적인
문제 관리

시험에 문제를 추가해 체계적으로
관리할 수 있어요.
주제나 단원별로
분류하고 싶다면,
시험에 챕터를 만들어
문제를 추가할 수도 있어요.

수십만 명이
오늘학습을 사랑합니다

앱 스토어 평점 4.9
구글 플레이 평점 4.8
누적 회원수 100,000+
지금 오늘학습을
시작해보세요
지금 시작하기
문제 선택