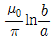
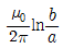
내부도체의 반지름이 a(m)이고, 외부도체의 내반지름이 b(m), 외반지름이 c(m)인 동축케이블의 단위 길이당 자기 인덕턴스는 몇 H/m 인가?
지금 시작하기 →

・・・ 문제은행 전자기사(2018년 2회) 4번

전자기사 2018년 04월 4번

내부도체의 반지름이 a(m)이고, 외부도체의 내반지름이 b(m), 외반지름이 c(m)인 동축케이블의 단위 길이당 자기 인덕턴스는 몇 H/m 인가?

1
2
3
4
단축키
이전 문제로 이동은 키를 누르고, 다음 문제로 이동은 키를 누르세요
이전 문제 , 다음 문제
문제(100)
1 대전 도체 표면전하밀도는 도체 표면의 모양에 따라 어떻게 분포하는가? 2 Biot-Savart의 법칙에 의하면, 전류소에 의해서 임의의 한 점(P)에 생기는 자계의 세기를 구할 수있다. 다음 중 설명으로 틀린 것은? 3 일정전압의 직류전원에 저항을 접속하여 전류를 흘릴 때, 저항값을 20% 감소시키면 흐르는 전류는 처음 저항에 흐르는 전류의 몇 배가 되는가? 4 내부도체의 반지름이 a(m)이고, 외부도체의 내반지름이 b(m), 외반지름이 c(m)인 동축케이블의 단위 길이당 자기 인덕턴스는 몇 H/m 인가? 5 무한장 솔레노이드에 전류가 흐를 때 발생되는 자장에 관한 설명으로 옳은 것은? 6 N회 감긴 환상코일의 단면적이 S(m2)이고 평균 길이가 ℓ(m)이다. 이 코일의 권수를 2배로 늘이고 인덕턴스를 일정하게 하려고 할 때, 다음 중 옳은 것은? 7 x > 0인 영역에 ε1=3인 유전체, x < 0인 영역에 ε2=5인 유전체가 있다. 유전율 ε2인 영역에서 전계가 E2 = 20ax + 30ay - 40az V/m 일 때, 유전율 ε1인 영역에서의 전계 E1(V/m)은? 8 자기회로에서 키르히호프의 법칙으로 알맞은 것은? (단, R : 자기저항, ø : 자속, N : 코일 권수, I : 전류이다.) 9 전계 (V/m)의 평면 전자파가 있다. 진공 중에서 자계의 실효값은 몇 A/m 인가? 10 공기 중에서 코로나방전이 3.5kV/mm 전계에서 발생된다고 하면, 이 때 도체의 표면에 작용하는 힘은 약 몇 N/m2 인가? 11 매질 1의 μs1=500, 매질 2의 μs2=1000이다. 매질 2에서 경계면에 대하여 45°의 각도로 자계가 입사한 경우 매질 1에서 경계면과 자계의 각도에 가장 가까운 것은? 12 유전율이 ε인 유전체 내에 있는 점전하 Q에서 발산되는 전기력선의 수는 총 몇 개인가?
13 대지의 고유저항이 ρ(Ω∙m)일 때 반지름 a(m)인 그림과 같은 반구 접지극의 접지저항(Ω)은? 14 반지름 a(m)의 원형 단면을 가진 도선에 전도전류 ic=Icsin2πft(A)가 흐를 때 변위전류밀도의 최대값 Jd는 몇 A/m2가 되는가? (단, 도전율은 σ(S/m)이고, 비유전율은 εr이다.) 15 공기 중에서 1m 간격을 가진 두 개의 평행 도체 전류의 단위길이에 작용하는 힘은 몇 N 인가? (단, 전류는 1A라고 한다.) 16 전하밀도 ρs(C/m2)인 무한 판상 전하분포에 의한 임의 점의 전장에 대하여 틀린 것은? 17 히스테리시스 곡선에서 히스테리시스 손실에 해당하는 것은? 18 한 변의 길이가 ℓ(m)인 정사각형 도체 회로에 전류 I(A)를 흘릴 때 회로의 중심점에서 자계의 세기는 몇 AT/m 인가? 19 무한장 직선 전류에 의한 자계의 세기(AT/m)는? 20 다음 (가), (나)에 대한 법칙으로 알맞은 것은? 21 그림과 같은 회로에서 최대 전력이 공급되기 위한 복소임피던스(ZL)의 값은? 22 인덕턴스 0.01H의 코일에 전압 100V인 교류신호를 가하였을 때 이 코일에 흐르는 전류는 몇 A 인가? (단, 주파수는 50㎐이다.) 23 단위 세기의 임펄스 함수인 δ(t)의 Fourier 변환은? 24 2개의 4단자 회로를 연결했을 때 전체 임피던스 파라미터가 각각의 임피던스 파라미터의 합으로 표시되었다면 2개의 4단자 회로에 연결 상태로 옳은 것은?
25 t=0일 때 스위치를 닫으면 C에 걸리는 전압의 과도현상을 올바르게 표현한 것은? 26 에서 정저항 회로가 되기 위한 조건으로 옳은 것은? (단, A0, A1, B0, B1은 ω의 함수로 실수이다.) 27 컨덕턴스가 G = G0 + 2G1cosω0t인 회로에 정현파 전압 V = V0ejωt을 인가할 때, 전류의 주파수 성분이 아닌 것은? 28 내부 임피던스가 순저항 50Ω인 전원과 450Ω의 순저항 부하 사이에 임피던스 정합을 위한 이상변압기의 권선비 N1 : N2는? 29 다음 그림의 회로망에서 V1(t) = e-2tu(t)일 때 V2(t)는? (단, 콘덴서는 미리 충전되어 있지 않다.) 30 이상변압기의 합성인덕턴스는 얼마인가? 31 단위 계단함수 u(t)을 라플라스 변환하면? 32 두 개의 코일 L1과 L2을 동일방향으로 직렬 접속하였을 때 합성인덕턴스가 100mH이고, 반대방향으로 접속 하였더니 합성인덕턴스가 40mH 였다. 이때, L1=60mH이면 결합계수(K)는 약 얼마인가? 33 회로에서 스위치가 오랫동안 개방되어 있다가 t=0에 닫았을 때 바로 직후의 vL(0+)과 vC(0+)로 적절한 것은? (단, t<0 에서 vC=3V이다.) 34 다음 회로를 테브난의 등가회로로 변환하였을 때, 개방 단자전압(Vab)은 몇 V 인가? 35 어떤 회로에서 단자전압이 v=40sinωt+20sin(2ωt+30°)+10sin(3ωt+60°)일 때 실효치는 약 얼마인가? 36 위상 정수 β가 π/2 [rad/m]인 선로에 대해 10[MHz]의 주파수를 인가한 경우 위상 속도 v[m/s]와 파장 λ[m]을 구하면?
73 다음 중 Pauli의 배타율 원리가 만족되는 분포함수는? 74 MOSFET의 채널폭이 공픽층 길이와 거의 같은 크기일 때, 필드 산화막 아래에서 축적된 전하에 의해 문턱전압이 증가하는 효과를 무엇이라고 하는가? 75 n 채널 전계 효과 트랜지스터에 흐르는 전류는 주로 어느 현상에 의한 것인가? 76 가전자대의 전자밀도가 1022[m-3]인 금속에 전류밀도가 106[A/m2]인 전류가 흐른다면 드리프트 속도는? 77 열평형 상태인 pn접합 다이오드에서 p영역의 전자밀도를 np 라 하면, n영역의 전자농도 nn은? (단, VO는 전위장벽, K는 볼츠만 상수, T는 절대온도이다.) 78 건(Gunn) 다이오드에서 부성저항이 생기는 원인은? 79 pn접합 다이오드에 역바이어스 전압을 인가할 때 나타나는 현상에 관한 설명 중 옳은 것은? (단, 브레이크다운 전압(breakdown voltage) 보다는 낮은 범위이다.) 80 태양광을 DC 전기에너지로 변환하는데 사용하는 반도체 pn접합 소자를 무엇이라 하는가? 81 레지스터에 내에 저장된 어떤 수를 2배, 4배, 8배 등의 2의 승수에 해당하는 배수를 구할 때 사용할 수 있는 가장 효율적인 연산자는? 82 1024 × 16 비트의 주기억장치를 가진 컴퓨터에서 MAR(Memory Address Register)과 MBR(Memory Buffer Register)의 비트 수는? 83 FIFO 구조를 가지는 자료의 구조는? 84 메모리에 관한 설명으로 가장 옳지 않은 것은?
App Store Google Play
오늘학습 예시 이미지

시험에 합격하려면
복습을 제대로 해야 합니다.

오늘학습은 스스로 기억을 떠올리고 계획적으로 복습할 수 있도록 설계돼 있어요.
그것도, 가장 과학적인 방식으로요!

능동적 회상

능동적 회상
(Active Recall)

배운 내용을 단순 읽으며 반복하는 것이 아니라,
능동적으로 기억하고 있는지를
스스로 테스트하며
공부할 수 있는
학습 환경을 제공해 학습 효과를 높여요

간격 반복 학습

간격 반복 학습
(Spaced Repetition)

에빙하우스 망각곡선을 바탕으로
가장 최적의 시점에 복습을 제공하여
배운 내용이 잊히지 않도록 장기 기억화해요

Data 기반의
뇌과학적 복습 시스템

학습 결과 Data를 분석해, 문제별 최적화된
반복 학습량을
자동으로 분배해요.
학습에 소요되는 시간을 최소화하는
동시에
단기 기억을 장기 기억으로 전환해줘요.

36만 개 이상의
기출문제 무료 제공

공무원 및 약 300여종의 자격증 시험 기출문제
36만개
이상을 무료로 이용할 수 있어요.
여러 앱을 설치할 필요
없이, 오늘학습 하나로
모든 시험을 준비할 수 있어요.

다양한 문제 유형으로 만드는
나만의 단어장&문제집

기출 외에도 외워야 하는 내용은
객관식, 주관식, 카드, 빈칸
등 다양한 형식으로
직접 만들어 보세요. 내 학습 스타일에
맞게
나만의 단어장과 문제집을 만들 수 있어요.

시험별 체계적인
문제 관리

시험에 문제를 추가해 체계적으로
관리할 수 있어요.
주제나 단원별로
분류하고 싶다면,
시험에 챕터를 만들어
문제를 추가할 수도 있어요.

수십만 명이
오늘학습을 사랑합니다

앱 스토어 평점 4.9
구글 플레이 평점 4.8
누적 회원수 100,000+
지금 오늘학습을
시작해보세요
지금 시작하기
문제 선택