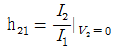
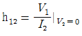
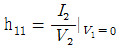
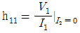
하이브리드 h파라미터 중 V1=h11I1+h12V2, I2=h21I1+h22V2가 주어졌을 때 단락 순방향 전류 이득은?
지금 시작하기 →

・・・ 문제은행 전자기사(2018년 3회) 30번

전자기사 2018년 09월 30번

하이브리드 h파라미터 중 V1=h11I1+h12V2, I2=h21I1+h22V2가 주어졌을 때 단락 순방향 전류 이득은?

1
2
3
4
단축키
이전 문제로 이동은 키를 누르고, 다음 문제로 이동은 키를 누르세요
이전 문제 , 다음 문제
문제(100)
1 자계의 세기를 표시하는 단위와 관계 없는 것은? 2 질량 m=5×10-10[kg]이고, 전하량 q=2.5×10-8[C]인 전하가 전기장에 의해 가속되어 운동하고 있다. 이 때 가속도를 a=103i +102j 라 하면 전장은? 3 두 종류의 유전율(ε1, ε2)을 가진 유전체 경계면에 진전하가 존재하지 않을 때 성립하는 경계조건을 옳게 나타낸 것은? (단, θ1, θ2는 각각 유전체 경계면의 법선벡터와 E1, E2가 이루는 각이다.) 4 자기회로의 자기저항에 대한 설명으로 옳은 것은? 5 높은 주파수의 전자파가 전파될 때 일기가 좋은 날보다 비 오는 날 전자파의 감쇠가 심한 원인은? 6 스토크스(Stokes)의 정리를 표시하는 일반식은? 7 평행판 콘덴서의 극판 사이에 유전율이 각각 ε1, ε2인 두 유전체를 반씩 채우고 극판 사이에 일정한 전압을 걸어줄 때 매질 (1), (2) 내의 전계의 세기 E1, E2 사이에 성립하는 관계로 옳은 것은? 8 코일 A 및 코일 B가 있다. 코일 A의 전류가 1/30초간에 10A 변화할 때 코일 B에 10V의 기전력을 유도한다고 한다. 이 때의 상호인덕턴스는 몇 H 인가? 9 전계 E(V/m)가 두 유전체의 경계면에 평행으로 작용하는 경우 경계면의 단위면적당 작용하는 힘은 몇 N/m2 인가? (단, ε1, ε2는 두 유전체의 유전율이다.) 10 자기 벡터포텐셜 (Wb/m) 일 때, , 1 < ρ < 2m, 0 < Z < 5m 표면을 통과하는 전 자속은 몇 Wb 인가? 11 반지름 a(m), 권수 N, 길이 ℓ(m)인 무한히 긴 공심 솔레노이드의 인덕턴스는 몇 H 인가? 12 자유공간 중에서 점 P(2, -4, 5)가 도체면상에 있으며, 이 점에서 전계 E=3ax-6ay+2az[V/m]이다. 도체면에 법선성분 En 및 접선성분 Ei의 크기는 몇 [V/m] 인가?
49 RC 결합 소신호 증폭기에서, 고역 주파수 응답을 구하는 식으로 옳은 것은? (단, 중역이득은 Am이고, 고역차단 주파수는 fh이다.) 50 단위 이득 주파수(fT)가 260MHz인 트랜지스터가 중간 영역에서 전압이득이 50인 증폭기로 사용될 때 이상적으로 이룰 수 있는 대역폭은? 51 베이스 접지 증폭기 회로에서 전류 증폭율(αo)과 차단 주파수(fo)가 각각 0.97, 1MHz인 트랜지스터가 2MHz로 동작할 때 전류 증폭율(α)은? 52 다이오드와 커패시터를 사용하여 입력전압의 2배, 3배, 4배로 증가시키는 회로는? 53 다음 회로에 vi=100sinwt의 입력이 가해질 경우 출력파형의 형태와 최대치 전압으로 가장 적합한 것은? (단, D1, D2는 이상적인 다이오드이다.) 54 다음 중 플립플롭과 같은 기능을 가지는 회로는? 55 빈 브리지 발진기에서 R=3.3kΩ, C=5nF일 때 발진 주파수는 몇 kHz 인가? 56 베이스 변조와 비교한 컬렉터 변조의 특징으로 적합하지 않은 것은? 57 다음 회로는 한 쌍의 이미터 폴로어가 직렬로 연결된 달링턴 증폭기이다. 전압이득은 1에 근사한 값인데 달링턴 증폭기가 많이 사용되는 이유는? 58 다음과 같은 클램프(Clamp)회로의 출력 파형으로 가장 적합한 것은? (단, 다이오드는 이상적이고, RC의 시정수는 대단히 크다.) 59 비안정 멀티바이브레이터 회로에서 출력 전압의 파형은? 60 전원 정류 회로의 리플 함유율을 작아지게 하는 방법으로서 가장 적당한 것은?
App Store Google Play
오늘학습 예시 이미지

시험에 합격하려면
복습을 제대로 해야 합니다.

오늘학습은 스스로 기억을 떠올리고 계획적으로 복습할 수 있도록 설계돼 있어요.
그것도, 가장 과학적인 방식으로요!

능동적 회상

능동적 회상
(Active Recall)

배운 내용을 단순 읽으며 반복하는 것이 아니라,
능동적으로 기억하고 있는지를
스스로 테스트하며
공부할 수 있는
학습 환경을 제공해 학습 효과를 높여요

간격 반복 학습

간격 반복 학습
(Spaced Repetition)

에빙하우스 망각곡선을 바탕으로
가장 최적의 시점에 복습을 제공하여
배운 내용이 잊히지 않도록 장기 기억화해요

Data 기반의
뇌과학적 복습 시스템

학습 결과 Data를 분석해, 문제별 최적화된
반복 학습량을
자동으로 분배해요.
학습에 소요되는 시간을 최소화하는
동시에
단기 기억을 장기 기억으로 전환해줘요.

36만 개 이상의
기출문제 무료 제공

공무원 및 약 300여종의 자격증 시험 기출문제
36만개
이상을 무료로 이용할 수 있어요.
여러 앱을 설치할 필요
없이, 오늘학습 하나로
모든 시험을 준비할 수 있어요.

다양한 문제 유형으로 만드는
나만의 단어장&문제집

기출 외에도 외워야 하는 내용은
객관식, 주관식, 카드, 빈칸
등 다양한 형식으로
직접 만들어 보세요. 내 학습 스타일에
맞게
나만의 단어장과 문제집을 만들 수 있어요.

시험별 체계적인
문제 관리

시험에 문제를 추가해 체계적으로
관리할 수 있어요.
주제나 단원별로
분류하고 싶다면,
시험에 챕터를 만들어
문제를 추가할 수도 있어요.

수십만 명이
오늘학습을 사랑합니다

앱 스토어 평점 4.9
구글 플레이 평점 4.8
누적 회원수 100,000+
지금 오늘학습을
시작해보세요
지금 시작하기
문제 선택