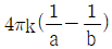
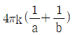
반지름이 a(m), b(m)인 두 개의 구 형상 도체 전극이 도전율 k인 매질 속에 거리 r(m) 만큼 떨어져 있다. 양 전극 간의 저항(Ω)은? (단, r》a, r》b 이다.)
지금 시작하기 →

・・・ 문제은행 전자기사(2020년 2회) 12번

전자기사 2020년 09월 12번

반지름이 a(m), b(m)인 두 개의 구 형상 도체 전극이 도전율 k인 매질 속에 거리 r(m) 만큼 떨어져 있다. 양 전극 간의 저항(Ω)은? (단, r》a, r》b 이다.)

1
2
3
4
단축키
이전 문제로 이동은 키를 누르고, 다음 문제로 이동은 키를 누르세요
이전 문제 , 다음 문제
문제(100)
1 서로 같은 2개의 구 도체에 동일양의 전하로 대전시킨 후 20cm 떨어뜨린 결과 구 도체에 서로 8.6×10-4N의 반발력이 작용하였다. 구 도체에 주어진 전하는 약 몇 C인가? 2 반지름이 3cm인 원형 단면을 가지고 있는 환상 연철심에 코일을 감고 여기에 전류를 흘려서 철심 중의 자계 세기가 400AT/m가 되도록 여자할 때, 철심 중의 자속 밀도는 약 몇 Wb/m2 인가? (단, 철심의 비투자율은 400이라고 한다.) 3 변위전류와 관계가 가장 깊은 것은? 4 유전율이 ε1, ε2인 유전체 경계면에 수직으로 전계가 작용할 때 단위 면적당 수직으로 작용하는 힘(N/m2)은? (단, E는 전계(V/m)이고, D는 전속밀도(C/m2)이다.) 5 임의의 형상의 도선에 전류 I(A)가 흐를 때, 거리 r(m)만큼 떨어진 점에서의 자계의 세기 H(AT/m)를 구하는 비오-사바르의 법칙에서, 자계의 세기 H(AT/m)와 거리 r(m)의 관계로 옳은 것은? 6 진공 중에서 2m 떨어진 두 개의 무한 평행도선에 단위 길이 당 10-7N의 반발력이 작용할 때 각 도선에 흐르는 전류의 크기와 방향은? (단, 각 도선에 흐르는 전류의 크기는 같다.) 7 다음 정전계에 관한 식 중에서 틀린 것은? (단, D는 전속밀도, V는 전위, ρ는 공간(체적)전하밀도, ε은 유전율이다.) 8 영구자석 재료로 사용하기에 적합한 특성은? 9 자기 인덕턴스(self inductance) L(H)을 나타낸 식은? (단, N은 권선수, I는 전류(A), ø는 자속(Wb), B는 자속밀도(Wb/m2), H는 자계의 세기(AT/m), A는 벡터 퍼텐셜(Wb/m), J는 전류밀도(A/m2)이다.) 10 환상 솔레노이드 철심 내부에서 자계의 세기(AT/m)는? (단, N은 코일 권선수, r은 환상 철심의 평균 반지름, I는 코일에 흐르는 전류이다.) 11 질량(m)이 10-10 kg 이고, 전하량(Q)이 10-8C인 전하가 전기장에 의해 가속되어 운동하고 있다. 가속도가 a = 102i + 102j (m/s2)일 때 전기장의 세기 E(V/m)는? 12 반지름이 a(m), b(m)인 두 개의 구 형상 도체 전극이 도전율 k인 매질 속에 거리 r(m) 만큼 떨어져 있다. 양 전극 간의 저항(Ω)은? (단, r》a, r》b 이다.)
13 저항의 크기가 1Ω인 전선이 있다. 전선의 체적을 동일하게 유지하면서 길이를 2배로 늘였을 때 전선의 저항(Ω)은? 14 내부 원통의 반지름이 a, 외부 원통의 반지름이 b인 동축 원통 콘덴서의 내외 원통 사이에 공기를 넣었을 때 정전용량이 C1이었다. 내외 반지름을 모두 3배로 증가시키고 공기 대신 비유전율이 3인 유전체를 넣었을 경우의 정전용량 C2는? 15 정전계 내 도체 표면에서 전계의 세기가 (V/m)일 때 도체 표면상의 전하 밀도 ρs(C/m2)를 구하면? (단, 자유공간이다.) 16 전류 I가 흐르는 무한 직선 도체가 있다. 이 도체로부터 수직으로 0.1m 떨어진 점에서 자계의 세기가 180 AT/m이다. 도체로부터 수직으로 0.3m 떨어진 점에서 자계의 세기(AT/m)는? 17 자속밀도가 10Wb/m2인 자계 내에 길이 4cm의 도체를 자계와 직각으로 놓고 이 도체를 0.4초 동안 1m씩 균일하게 이동하였을 때 발생하는 기전력은 몇 V 인가? 18 길이가 l(m), 단면적의 반지름이 a(m)인 원통이 길이 방향으로 균일하게 자화되어 자화의 세기가 J(Wb/m2)인 경우, 원통 양단에서의 자극의 세기 m(Wb)은? 19 자기회로와 전기회로에 대한 설명으로 틀린 것은? 20 진공 중에서 전자파의 전파속도(m/s)는? 21 다음 회로의 스위치 k를 t = 0s에 닫았을 때 초기 전류 i(0+)는 몇 A 인가? (단, 모든 초기 값은 0 이다.) 22 다음 회로가 정저항 회로가 되려면 L은 몇 H인가? (단, R = 20Ω. C = 200㎌) 23 내부 임피던스 Zg = 0.2+j2(Ω)인 발전기에 임피던스 Zl = 2.0+j3(Ω)인 선로를 연결하여 부하에 전력을 공급할 때 부하에 최대 전력이 전송되기 위한 부하 임피던스는 몇 Ω 인가? 24 그림의 회로에서 입·출력 간의 4단자 정수(A, B, C, D 파라미터) 중 틀린 것은?
25 그림 (a)의 회로를 그림 (b)와 같은 테브닌 등가회로로 변경했을 때, 테브닌 등가전압 Vth(V)와 테브닌 등가저항 Rth(Ω)는 각각 약 얼마인가? 26 v(t) = 100sinωt(V)이고, (A)에 대한 평균전력(W)은? 27 RLC가 직렬로 연결될 때 공진현상이 일어날 조건은? (단, ω는 각 주파수이다.) 28 의 라플라스 역변환은? 29 다음 중 4단자 회로망에서 가역정리가 성립되는 조건이 아닌 것은? (단, Z12, Z21은 각각 입력과 출력 개방 전달 임피던스이고, Y12, Y21는 각각 입력과 출력 단락 전달 어드미턴스이고, h12, h21는 각각 입력 개방 전압 이득과 출력 단락 전류 이득이고, A, B, C, D는 각각 출력 개방 전압 이득, 출력 단락 전달 임피던스, 출력 개방 전달 어드미턴스, 출력 단락 전류 이득이다.) 30 그림의 T형 회로에서 4단자 정수 중 A는? 31 f(t) = sinωt + 2cosωt의 라플라스 변환은? 32 기본파의 10%인 제3고조파와 20%인 제5고조파를 포함하는 전압파의 왜형률은 약 얼마인가? 33 인덕턴스 L과 커패시턴스 C가 병렬로 구성된 2단자 회로망에서 리액턴스 함수가 으로 표현된다. 2단자망의 인덕턴스 L(H)과 커패시턴스 C(F)는? 34 그림의 정편하 v(t) = Vsin(ωt+ø)의 주기 T(s)는? 35 그림과 같은 4단자 회로망에서 영상 임피던스 Z01은 몇 Ω 인가? 36 무효전력이 Q(var)일 때 역률이 0.8이라면 피상전력(VA)은?
App Store Google Play
오늘학습 예시 이미지

시험에 합격하려면
복습을 제대로 해야 합니다.

오늘학습은 스스로 기억을 떠올리고 계획적으로 복습할 수 있도록 설계돼 있어요.
그것도, 가장 과학적인 방식으로요!

능동적 회상

능동적 회상
(Active Recall)

배운 내용을 단순 읽으며 반복하는 것이 아니라,
능동적으로 기억하고 있는지를
스스로 테스트하며
공부할 수 있는
학습 환경을 제공해 학습 효과를 높여요

간격 반복 학습

간격 반복 학습
(Spaced Repetition)

에빙하우스 망각곡선을 바탕으로
가장 최적의 시점에 복습을 제공하여
배운 내용이 잊히지 않도록 장기 기억화해요

Data 기반의
뇌과학적 복습 시스템

학습 결과 Data를 분석해, 문제별 최적화된
반복 학습량을
자동으로 분배해요.
학습에 소요되는 시간을 최소화하는
동시에
단기 기억을 장기 기억으로 전환해줘요.

36만 개 이상의
기출문제 무료 제공

공무원 및 약 300여종의 자격증 시험 기출문제
36만개
이상을 무료로 이용할 수 있어요.
여러 앱을 설치할 필요
없이, 오늘학습 하나로
모든 시험을 준비할 수 있어요.

다양한 문제 유형으로 만드는
나만의 단어장&문제집

기출 외에도 외워야 하는 내용은
객관식, 주관식, 카드, 빈칸
등 다양한 형식으로
직접 만들어 보세요. 내 학습 스타일에
맞게
나만의 단어장과 문제집을 만들 수 있어요.

시험별 체계적인
문제 관리

시험에 문제를 추가해 체계적으로
관리할 수 있어요.
주제나 단원별로
분류하고 싶다면,
시험에 챕터를 만들어
문제를 추가할 수도 있어요.

수십만 명이
오늘학습을 사랑합니다

앱 스토어 평점 4.9
구글 플레이 평점 4.8
누적 회원수 100,000+
지금 오늘학습을
시작해보세요
지금 시작하기
문제 선택