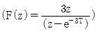
z 변환된 함수 에 대응되는 라플라스 변환 함수는?
지금 시작하기 →

・・・ 문제은행 전기공사기사(2020년 1회) 79번

전기공사기사 2020년 06월 79번

z 변환된 함수 에 대응되는 라플라스 변환 함수는?

1
2
3
4
단축키
이전 문제로 이동은 키를 누르고, 다음 문제로 이동은 키를 누르세요
이전 문제 , 다음 문제
문제(100)
37 수전단의 전력원 방정식이 Pr2+(Qr+400)2=250000 으로 표현되는 전력계통에서 조상설비 없이 전압을 일정하게 유지하면서 공급할 수 있는 부하전력은? (단, 부하는 무유도성이다.) 38 사고, 정전 등의 중대한 영향을 받는 지역에서 정전과 동시에 자동적으로 예비전원용 배전선로로 전환하는 장치는? 39 3상 배전선로의 말단에 역률 60%(늦음), 60kW의 평형 3상 부하가 있다. 부하점에 부하와 병렬로 전력용 콘덴서를 접속하여 선로손실을 최소로 하고자 할 때 콘덴서 용량(kVA)은? (단, 부하단의 전압은 일정하다.) 40 3상3선식에서 전선 한 가닥에 흐르는 전류는 단상2선식의 경우의 몇 배가 되는가? (단, 송전전력, 부하역률, 송전거리, 전력손실 및 선간전압이 같다.) 41 전압변동률이 작은 동기발전기의 특성으로 옳은 것은? 42 단자전압 110V, 전기자 전류 15A, 전기자회로의 저항 2Ω, 정격속도 1800rpm 으로 전부하에서 운전하고 있는 직류 분권전동기의 토크는 약 몇 N·m 인가? 43 단권변압기의 설명으로 틀린 것은? 44 출력이 20kW인 직류발전기의 효율이 80%이면 전 손실은 약 몇 kW인가? 45 용량 1kVA, 3000/200V의 단상변압기를 단권변압기로 결선해서 3000/3200V의 승압기로 사용할 때 그 부하용량(kVA)은? 46 단상 유도전동기의 분상 기동형에 대한 설명으로 틀린 것은? 47 스텝 모터에 대한 설명으로 틀린 것은? 48 계자 권선이 전기자에 병렬로만 연결된 직류기는?
49 1차 전압 6600V, 권수비 30인 단상변압기로 전등부하에 30A를 공급할 때의 입력(kW)은? (단, 변압기의 손실은 무시한다.) 50 유도전동기를 정격상태로 사용 중, 전압이 10% 상승할 때 특성변화로 틀린 것은? (단, 부하는 일정 토크라고 가정한다.) 51 정격전압 6600V인 3상 동기발전기가 정격출력(역률=1)으로 운전할 때 전압 변동률이 12%이었다. 여자전류와 회전수를 조정하지 않은 상태로 무부하 운전하는 경우 단자전압(V)은? 52 동기전동기의 공급 전압과 부하를 일정하게 유지하면서 역률을 1로 운전하고 있는 상태에서 여자 전류를 증가시키면 전기자전류는? 53 전원전압이 100V인 단상 전파정류제어에서 점호각이 30°일 때 직류 평균전압은 약 몇 V인가? 54 도통(on)상태에 있는 SCR을 차단(off)상태로 만들기 위해서는 어떻게 하여야 하는가? 55 단상 유도전동기의 기동 시 브러시를 필요로 하는 것은? 56 3선 중 2선의 전원 단자를 서로 바꾸어서 결선하면 회전방향이 바뀌는 기기가 아닌 것은? 57 직류전동기의 워드레오나드 속도제어 방식으로 옳은 것은? 58 변압기의 %Z가 커지면 단락전류는 어떻게 변화하는가? 59 직류발전기에 P(N·m/s)의 기계적 동력을 주면 전력은 몇 W로 변환되는가? (단, 손실은 없으며 ia는 전기자 도체의 전류, e는 전기자 도체의 유도기전력, Z는 총도체수이다.) 60 3상 20000kVA인 동기발전기가 있다. 이 발전기는 60Hz 일 때는 200rpm, 50Hz일 때는 약 167rpm으로 회전한다. 이 동기발전기의 극수는?
85 지중 전선로를 직접 매설식에 의하여 시설할 때, 중량물의 압력을 받을 우려가 있는 장소에 저압 또는 고압의 지중전선을 견고한 트라프 기타 방호물에 넣지 않고도 부설할 수 있는 케이블은? 86 저압 수상전선로에 사용되는 전선은? 87 교류 전차선 등과 삭도 또는 그 지주 사이의 이격거리를 몇 m 이상 이격하여야 하는가? 88 저압전로에서 그 전로에 지락이 생긴 경우 0.5초 이내에 자동적으로 전로를 차단하는 장치를 시설하는 경우에는 특별 제3종 접지공사의 접지저항 값은 자동 차단기의 정격감도 전류가 30mA 이하일 때 몇 Ω이하로 하여야 하는가?(관련 규정 개정전 문제로 여기서는 기존 정답인 4번을 누르면 정답 처리됩니다. 자세한 내용은 해설을 참고하세요.) 89 저압 가공전선로 또는 고압 가공전선로와 기설 가공 약전류 전선로가 병행하는 경우에는 유도작용에 의한 통신상의 장해가 생기지 아니하도록 전선과 기설 약전류 전선간의 이격거리를 몇 m 이사이어야 하는가? (단, 전기철도용 급전선로는 제외한다.) 90 태양전지 발전소에 시설하는 태양전지 모듈, 전선 및 개폐기 기타 기구의 시설기준에 대한 내용으로 틀린 것은? 91 특고압 가공전선로의 지지물에 첨가하는 통신선 보안장치에 사용되는 피뢰기의 동작전압은 교류 몇 V 이하인가? 92 출퇴표시등 회로에 전기를 공급하기 위한 변압기는 1차측 전로의 대지전압이 300V 이하, 2차측 전로의 사용전압은 몇 V 이하인 절연변압기이어야 하는가? 93 어느 유원지의 어린이 놀이기구인 유희용 전차에 전기를 공급하는 전로의 사용전압은 교류인 경우 몇 V 이하이어야 하는가? 94 전개된 건조한 장소에서 400V 이상의 저압 옥내배선을 할 때 특별히 정해진 경우를 제외하고는 시공할 수 없는 공사는? 95 440V 옥내 배선에 연결된 전동기 회로의 절연저항 최소 값은 몇 MΩ인가?(2021년 변경된 KEC 규정 적용됨) 96 가공전선로의 지지물의 강도계산에 적용하는 풍압하중은 빙설이 많은 지방이외의 지방에서 저온계절에는 어떤 풍압하중을 적용하는가? (단, 인가가 연접되어 있지 않다고 한다.)
App Store Google Play
오늘학습 예시 이미지

시험에 합격하려면
복습을 제대로 해야 합니다.

오늘학습은 스스로 기억을 떠올리고 계획적으로 복습할 수 있도록 설계돼 있어요.
그것도, 가장 과학적인 방식으로요!

능동적 회상

능동적 회상
(Active Recall)

배운 내용을 단순 읽으며 반복하는 것이 아니라,
능동적으로 기억하고 있는지를
스스로 테스트하며
공부할 수 있는
학습 환경을 제공해 학습 효과를 높여요

간격 반복 학습

간격 반복 학습
(Spaced Repetition)

에빙하우스 망각곡선을 바탕으로
가장 최적의 시점에 복습을 제공하여
배운 내용이 잊히지 않도록 장기 기억화해요

Data 기반의
뇌과학적 복습 시스템

학습 결과 Data를 분석해, 문제별 최적화된
반복 학습량을
자동으로 분배해요.
학습에 소요되는 시간을 최소화하는
동시에
단기 기억을 장기 기억으로 전환해줘요.

36만 개 이상의
기출문제 무료 제공

공무원 및 약 300여종의 자격증 시험 기출문제
36만개
이상을 무료로 이용할 수 있어요.
여러 앱을 설치할 필요
없이, 오늘학습 하나로
모든 시험을 준비할 수 있어요.

다양한 문제 유형으로 만드는
나만의 단어장&문제집

기출 외에도 외워야 하는 내용은
객관식, 주관식, 카드, 빈칸
등 다양한 형식으로
직접 만들어 보세요. 내 학습 스타일에
맞게
나만의 단어장과 문제집을 만들 수 있어요.

시험별 체계적인
문제 관리

시험에 문제를 추가해 체계적으로
관리할 수 있어요.
주제나 단원별로
분류하고 싶다면,
시험에 챕터를 만들어
문제를 추가할 수도 있어요.

수십만 명이
오늘학습을 사랑합니다

앱 스토어 평점 4.9
구글 플레이 평점 4.8
누적 회원수 100,000+
지금 오늘학습을
시작해보세요
지금 시작하기
문제 선택