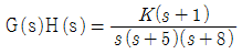
일 때 근궤적에서 점근선의 실수축과의 교차점은?
지금 시작하기 →

・・・ 문제은행 전기공사기사(2018년 3회) 75번

전기공사기사 2018년 09월 75번

일 때 근궤적에서 점근선의 실수축과의 교차점은?

1
-6
2
-5
3
-4
4
-1
단축키
이전 문제로 이동은 키를 누르고, 다음 문제로 이동은 키를 누르세요
이전 문제 , 다음 문제
문제(100)
49 차동 복권발전기를 분권발전기로 하려면 어떻게 하여야 하는가? 50 3상 유도전동기의 회전자 입력에 P2, 슬립이 s일 때 2차 동손을 나타내는 식은? 51 기동토크가 가장 큰 직류전동기는? 52 60Hz, 6300/210V, 15kVA의 단상변압기에 있어서 임피던스 전압은 185V, 임피던스 와트는 250W이다. 이 변압기를 5kVA, 지상 역률 0.8의 부하를 건 상태에서의 전압변동률은 약 몇 %인가? 53 변압기의 권수비 a=6600/220, 철심의 단면적 0.02m2, 최대 자속밀도 1.2Wb/m2일 때 1차 유도기전력은 약 몇 V인가? (단, 주파수는 60Hz이다.) 54 동기발전기를 회전계자형으로 사용하는 이유 중 틀린 것은? 55 변압기의 습기를 제거하여 절연을 향상시키는 건조법이 아닌 것은? 56 6극, 30㎾, 380V, 60Hz의 정격을 가진 Y결선 3상 유도전동기의 구속시험 결과 선간전압 50V, 선전류 60A, 3상 입력 2.5㎾이고 또 단자간의 직류 저항은 0.18Ω이었다. 이 전동기를 정격전압으로 기동하는 경우 기동 토크는 약 몇 ㎏·m인가? 57 △결선 변압기의 1대가 고장으로 V결선으로 할 때 공급전력은 고장 전 전력에 대하여 몇 %인가? 58 전동기 제어에 많이 사용되는 인버터를 입력 전원의 형태로 구분한 것은? 59 저항 부하의 단상 반파 정류회로에서 맥동률은 약 얼마인가? 60 3상 동기발전기의 전기자권선을 2중 성형결선으로 했을 때 발전기의 용량[VA]은?
61 다음 회로는 스위치 K가 열린 상태에서 정상상태에 있었다. t=0에서 스위치를 갑자기 닿았을 때 V(0+) 및 i(0+)는? 62 의 역 라플라스 변환은? 63 다음과 같이 Y결선을 △결선으로 변환할 경우 R1의 임피던스는 몇 Ω인가? 64 60Hz, 120V 정격인 단상 유도전동기의 출력은 3HP이고 효율은 90%이며 역률은 80%이다. 역률을 100%로 개선하기 위한 병렬 콘덴서가 흡수하는 복소전력은 몇 VA인가? (단, 1HP=746W이다.) 65 2단자 임피던스의 허수부가 어떤 주파수에 관해서도 언제나 0이 되고, 실수부도 주파수에 무관하게 항상 일정하게 되는 회로는? 66 불평형 3상 회로에서 전압의 대칭분을 각각 I0, I1, I2전류의 대칭분을 각각 V0, V1, V2라 할 때 대칭분으로 표시 되는 복소전력은?(오류 신고가 접수된 문제입니다. 반드시 정답과 해설을 확인하시기 바랍니다.) 67 그림에서 2Ω에 흐르는 전류 i는 몇 A인가? 68 처음 10초간은 100A의 전류를 흘리고 다음 20초간은 20A의 전류를 흘리는 전류의 실효값은 몇 A인가? 69 3상 부하가 Δ결선되었을 때 n상에는 콘덕턴스 0.3℧, b상에는 콘덕턴스 0.3℧, c상은 유도 서셉턴스 0.3℧가 연결되어있다. 이 부하의 영상 어드미턴스[℧]는? 70 R=4Ω, ωL=3Ω의 직렬 RL회로에서 의 전압을 인가할 때 저항에서 소비되는 전력[W]은? 71 의 나이퀴스트 선도를 도시한 것은? (단, K > 0이다.) 72 일 때, e*(t)의 최종값은?
73 물체의 위치, 방위, 각도 등의 기계적 변위량으로 임의의 목표값에 추종하는 제어장치는? 74 이고, T=2초일 때 크기 G|jω|와 위상 ∠G(jω)는 각각 얼마인가? 75 일 때 근궤적에서 점근선의 실수축과의 교차점은? 76 논리식 와 같은 논리식은? 77 그림과 같은 피드백제어의 전달함수를 구하면? 78 근궤적에 관한 설명으로 틀린 것은? 79 두 개의 그림이 등가인 경우 A는? 80 다음과 같은 차분 방정식으로 표시되는 불연속계가 있다. 이 계의 전달함수는? 81 사용전압 15kV 이하인 특고압 가공전선로의 중성선 다중접지식에 사용되는 접지선의 공칭단면적은 몇 mm2의 연동선 또는 이와 동등이상의 굵기로서 고장전류를 안전하게 통할 수 있는 것이어야 하는가? (단, 전로에 지락이 생긴 경우 2초 이내에 전로로부터 자동차단하는 장치를 하였다.) 82 22kV의 특고압 가공전선로의 전선을 특고압 절연전선으로 시가지에 시설할 경우, 전선의 지표상의 높이는 최소 몇 m 이상인가? 83 특고압용 변압기의 내부에 고장이 생겼을 경우에 자동차단장치 또는 경보장치를 하여야 하는 최소 뱅크용량은 몇 kVA인가? 84 35kV 이하의 모선에 접속되는 전력용콘덴서에 울타리를 시설하는 경우에 울타리의 높이와 울타리로부터 충전부분까지의 거리의 합계는 최소 몇 m 이상이 되어야 하는가?
85 지중 전선로를 관로식에 의하여 시설하는 경우 매설 깊이를 최소 몇 m 이상으로 하여야 하는가? 86 사람이 상시 통행하는 터널 안의 배선을 애자사용공사에 의하여 시설하는 경우 설치 높이는 노면상 몇 m 이상이어야 하는가? 87 전력 보안 가공통신선을 시설할 때 철도의 궤도를 횡단하는 경우에는 레일면상 몇 m 이상의 높이이어야 하는가? 88 사무실 건물의 조명설비에 사용되는 백열전등 또는 방전등에 전기를 공급하는 옥내전로의 대지전압은 몇 V 이하인가? 89 가요전선관 공사에 의한 저압 옥내배선으로 틀린 것은? 90 고압 또는 특고압의 전로 중에서 기계 기구 및 전선을 보호하기 위하여 필요한 곳에 시설하는 것은? 91 발전기·전동기·조상기·기타 회전기(회전 변류기 제외)의 절연내력 시험 시 시험전압은 권선과 대지 사이에 연속하여 몇 분간 가하여야 하는가? 92 가공인입선 및 수용장소의 조영물의 옆면 등에 시설하는 전선으로서 그 수용장소의 인입구에 이르는 부분의 전선을 무엇이라고 하는가? 93 옥내에 시설하는 저압전선에 나전선을 사용할 수 있는 경우는? 94 교류식 전기철도는 그 단상부하에 의한 전압 불평형으로 전기사업용 발전기·조상기·변압기·기타의 기계기구에 장해가 생기지 아니하도록 시설하여야 한다. 전압불평형의 한도는? 95 발전소, 변전소 또는 이에 준하는 곳의 최소 몇 V를 초과하는 전로에는 그의 보기 쉬운 곳에 상별 표시를 하여야 하는가? 96 철주가 강관에 의하여 구성되는 사각형의 것일 때 갑종풍압하중을 계산하려 한다. 수직 투영면적 1m2에 대한 풍압하중은 몇 Pa를 기초하여 계산하는가?
App Store Google Play
오늘학습 예시 이미지

시험에 합격하려면
복습을 제대로 해야 합니다.

오늘학습은 스스로 기억을 떠올리고 계획적으로 복습할 수 있도록 설계돼 있어요.
그것도, 가장 과학적인 방식으로요!

능동적 회상

능동적 회상
(Active Recall)

배운 내용을 단순 읽으며 반복하는 것이 아니라,
능동적으로 기억하고 있는지를
스스로 테스트하며
공부할 수 있는
학습 환경을 제공해 학습 효과를 높여요

간격 반복 학습

간격 반복 학습
(Spaced Repetition)

에빙하우스 망각곡선을 바탕으로
가장 최적의 시점에 복습을 제공하여
배운 내용이 잊히지 않도록 장기 기억화해요

Data 기반의
뇌과학적 복습 시스템

학습 결과 Data를 분석해, 문제별 최적화된
반복 학습량을
자동으로 분배해요.
학습에 소요되는 시간을 최소화하는
동시에
단기 기억을 장기 기억으로 전환해줘요.

36만 개 이상의
기출문제 무료 제공

공무원 및 약 300여종의 자격증 시험 기출문제
36만개
이상을 무료로 이용할 수 있어요.
여러 앱을 설치할 필요
없이, 오늘학습 하나로
모든 시험을 준비할 수 있어요.

다양한 문제 유형으로 만드는
나만의 단어장&문제집

기출 외에도 외워야 하는 내용은
객관식, 주관식, 카드, 빈칸
등 다양한 형식으로
직접 만들어 보세요. 내 학습 스타일에
맞게
나만의 단어장과 문제집을 만들 수 있어요.

시험별 체계적인
문제 관리

시험에 문제를 추가해 체계적으로
관리할 수 있어요.
주제나 단원별로
분류하고 싶다면,
시험에 챕터를 만들어
문제를 추가할 수도 있어요.

수십만 명이
오늘학습을 사랑합니다

앱 스토어 평점 4.9
구글 플레이 평점 4.8
누적 회원수 100,000+
지금 오늘학습을
시작해보세요
지금 시작하기
문제 선택