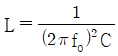
전력용콘덴서를 변전소에 설치할 때 직렬리액터를 설치 하고자 한다. 직렬리액터의 용량을 결정하는 계산식은? (단, f0는 전원의 기본주파수, C는 역률 개선용 콘덴서의 용량, L은 직렬리액터의 용량이다.)
지금 시작하기 →

・・・ 문제은행 전기공사기사(2020년 3회) 21번

전기공사기사 2020년 09월 21번

전력용콘덴서를 변전소에 설치할 때 직렬리액터를 설치 하고자 한다. 직렬리액터의 용량을 결정하는 계산식은? (단, f0는 전원의 기본주파수, C는 역률 개선용 콘덴서의 용량, L은 직렬리액터의 용량이다.)

1
2
3
4
단축키
이전 문제로 이동은 키를 누르고, 다음 문제로 이동은 키를 누르세요
이전 문제 , 다음 문제
문제(100)
13 가선 금구 중 완금에 특고압 전선의 조수가 3일 때 완금의 길이(mm)는? 14 콘크리트 매입 금속관 공사에 사용하는 금속관의 두께는 최소 몇 mm 이상이어야 하는가? 15 옥내배선용 공구 중 리머의 사용 목적으로 옳은 것은? 16 박스에 금속관을 연결시키고자 할 때 박스의 노크아웃 지름이 금속관의 지름보다 큰 경우 박스에 사용되는 것은? 17 피뢰시스템의 인하도선 재료로 원형 단선으로 된 알루미늄을 쓰고자 한다. 해당 재료의 단면적(mm2)은 얼마 이상이어야 하는가? (단, KS C IEC 62561-2를 기준으로 한다.) 18 300W 이상의 백열전구에 사용되는 베이스의 크기는? 19 배전반 및 분전반을 넣은 함이 내아크성, 난연성의 합성수지로 되어 있을 때 함의 최소 두께(mm)는? 20 조명기구나 소형전기기구에 전력을 공급하는 것으로 상점이나 백화점, 전시장 등에서 조명기구의 위치를 빈번하게 바꾸는 곳에 사용되는 것은? 21 전력용콘덴서를 변전소에 설치할 때 직렬리액터를 설치 하고자 한다. 직렬리액터의 용량을 결정하는 계산식은? (단, f0는 전원의 기본주파수, C는 역률 개선용 콘덴서의 용량, L은 직렬리액터의 용량이다.) 22 다음 중 송전선로의 역섬락을 방지하기 위한 대책으로 가장 알맞은 방법은? 23 증기 사이클에 대한 설명 중 틀린 것은? 24 배전선로의 3상 3선식 비접지 방식을 채용할 경우 나타나는 현상은?
37 개폐서지의 이상전압을 감쇄할 목적으로 설치하는 것은? 38 반지름 0.6cm인 경동선을 사용하는 3상 1회선 송전선에서 선간거리를 2m로 정삼각형 배치할 경우, 각 선의 인덕턴스(mH/km)는 약 얼마인가? 39 수력발전소의 형식을 취수방법, 운용방법에 따라 분류할 수 있다. 다음 중 취수방법에 따른 분류가 아닌 것은? 40 부하의 역률을 개선할 경우 배전선로에 대한 설명으로 틀린 것은? (단, 다른 조건을 동일하다.) 41 직류발전기를 병렬운전 할 때 균압모선이 필요한 직류기는? 42 3상 분권 정류자전동기에 속하는 것은? 43 3상 유도전동기의 기계적 출력 P(kW), 회전수 N(rpm)인 전동기의 토크(N·m)는? 44 단권변압기에서 1차 전압 100V, 2차 전압 110V인 단권변압기의 자기용량과 부하용량의 비는? 45 전부하로 운전하고 있는 50Hz, 4극의 권선형 유도전동기가 있다. 전부하에서 속도를 1440 rpm에서 1000 rpm으로 변화시키자면 2차에 약 몇 Ω 의 저항을 넣어야 하는가? (단, 2차 저항은 0.02Ω 이다.) 46 4극, 중권, 총 도체 수 500, 극당 자속이 0.01 Wb인 직류발전기가 100V의 기전력을 발생시키는데 필요한 회전수는 몇 rpm 인가? 47 취급이 간단하고 기동시간이 짧아서 섬과 같이 전력계통에서 고립된 지역, 선박 등에 사용되는 소용량 전원용 발전기는? 48 포화되지 않은 직류발전기의 회전수가 4배로 증가되었을 때 기전력을 전과 같은 값으로 하려면 자속을 속도 변화 전에 비해 얼마로 하여야 하는가?
85 사람이 상시 통행하는 터널 안의 배선(전기기계기구 안의 배선, 관등회로의 배선, 소세력 회로의 전선 및 출퇴 표시등 회로의 전선은 제외)의 시설기준에 적합하지 않은 것은? (단, 사용전압이 저압의 것에 한한다.) 86 과전류차단기로 시설하는 퓨즈 중 고압전로에 사용하는 비포장 퓨즈는 정격전류 2배 전류 시 몇 분안에 용단되어야 하는가? 87 옥내에 시설하는 저압전선에 나전선을 사용할 수 있는 경우는? 88 제2종 특고압 보안공사 시 지지물로 사용하는 철탑의 경간을 400m 초과로 하려면 몇 mm2 이상의 경동연선을 사용하여야 하는가?(2021년 개정된 KEC 규정 적용됨) 89 케이블 트레이공사에 사용하는 케이블 트레이에 대한 기준으로 틀린 것은? 90 지중전선로에 사용하는 지중함의 시설기준으로 틀린 것은? 91 그림은 전력선 반송통신용 결합장치의 보안장치이다. 여기에서 CC는 어떤 커패시터인가? 92 가공전선로의 지지물에 하중이 가하여지는 경우에 그 하중을 받는 지지물의 기초 안전율은 얼마 이상이어야 하는가? (단, 이상 시 상정하중은 무관) 93 교량의 윗면에 시설하는 고압 전선로는 전선의 높이를 교량의 노면상 몇 m 이상으로 하여야 하는가? 94 발전소에서 계측하는 장치를 시설하여야 하는 사항에 해당하지 않는 것은? 95 수소냉각식 발전기 및 이에 부속하는 수소냉각장치의 시설에 대한 설명으로 틀린 것은? 96 사용전압이 35000V 이하인 특고압 가공전선과 가공약전류 전선을 동일 지지물에 시설하는 경우, 특고압 가공전선로의 보안공사로 적합한 것은?
App Store Google Play
오늘학습 예시 이미지

시험에 합격하려면
복습을 제대로 해야 합니다.

오늘학습은 스스로 기억을 떠올리고 계획적으로 복습할 수 있도록 설계돼 있어요.
그것도, 가장 과학적인 방식으로요!

능동적 회상

능동적 회상
(Active Recall)

배운 내용을 단순 읽으며 반복하는 것이 아니라,
능동적으로 기억하고 있는지를
스스로 테스트하며
공부할 수 있는
학습 환경을 제공해 학습 효과를 높여요

간격 반복 학습

간격 반복 학습
(Spaced Repetition)

에빙하우스 망각곡선을 바탕으로
가장 최적의 시점에 복습을 제공하여
배운 내용이 잊히지 않도록 장기 기억화해요

Data 기반의
뇌과학적 복습 시스템

학습 결과 Data를 분석해, 문제별 최적화된
반복 학습량을
자동으로 분배해요.
학습에 소요되는 시간을 최소화하는
동시에
단기 기억을 장기 기억으로 전환해줘요.

36만 개 이상의
기출문제 무료 제공

공무원 및 약 300여종의 자격증 시험 기출문제
36만개
이상을 무료로 이용할 수 있어요.
여러 앱을 설치할 필요
없이, 오늘학습 하나로
모든 시험을 준비할 수 있어요.

다양한 문제 유형으로 만드는
나만의 단어장&문제집

기출 외에도 외워야 하는 내용은
객관식, 주관식, 카드, 빈칸
등 다양한 형식으로
직접 만들어 보세요. 내 학습 스타일에
맞게
나만의 단어장과 문제집을 만들 수 있어요.

시험별 체계적인
문제 관리

시험에 문제를 추가해 체계적으로
관리할 수 있어요.
주제나 단원별로
분류하고 싶다면,
시험에 챕터를 만들어
문제를 추가할 수도 있어요.

수십만 명이
오늘학습을 사랑합니다

앱 스토어 평점 4.9
구글 플레이 평점 4.8
누적 회원수 100,000+
지금 오늘학습을
시작해보세요
지금 시작하기
문제 선택