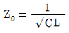
분포 정수회로에서 선로정수가 R, L, C, G이고 무왜형 조건이 RC=GL과 같은 관계가 성립될 때 선로의 특성 임피던스 Z0는? (단, 선로의 단위길이당 저항을 R, 인덕턴스를 L, 정전용량을 C, 누설컨덕턴스를 G라 한다.
지금 시작하기 →

・・・ 문제은행 전기공사기사(2018년 1회) 70번

전기공사기사 2018년 03월 70번

분포 정수회로에서 선로정수가 R, L, C, G이고 무왜형 조건이 RC=GL과 같은 관계가 성립될 때 선로의 특성 임피던스 Z0는? (단, 선로의 단위길이당 저항을 R, 인덕턴스를 L, 정전용량을 C, 누설컨덕턴스를 G라 한다.

1
2
3
4
단축키
이전 문제로 이동은 키를 누르고, 다음 문제로 이동은 키를 누르세요
이전 문제 , 다음 문제
문제(100)
85 사용전압이 60kV 이하인 경우 전화선로의 길이 12km 마다 유도전류는 몇 ㎂를 넘지 않도록 하여야 하는가? 86 특고압을 직접 저압으로 변성하는 변압기를 시설하여서는 아니 되는 변압기는? 87 고압 가공전선으로 경동선 또는 내열 동합금선을 사용할 때 그 안전율은 최소 얼마 이상이되는 이도로 시설하여야 하는가? 88 저압 옥측전선로에서 목조의 조영물에 시설할 수 있는 공사 방법은? 89 터널 안 전선로의 시설방법으로 옳은 것은? 90 과전류차단기로 시설하는 퓨즈 중 고압전로에 사용하는 포장퓨즈는 정격전류의 몇 배의 전류에 견디어야 하는가? 91 발전소ㆍ변전소ㆍ개폐소 또는 이에 준하는 곳에서 개폐기 또는 차단기에 사용하는 압축공기장치의 공기압축기는 최고 사용압력의 1.5배의 수압을 연속하여 몇 분간 가하여 시험을 하였을 때에 이에 견디고 또한 새지 아니하여야 하는가? 92 전로에 대한 설명 중 옳은 것은? 93 가공 직류 전차선의 레일면상의 높이는 4.8m 이상이어야 하나 광산 기타의 갱도 안의 윗면에 시설하는 경우는 몇 m 이상이어야 하는가?(오류 신고가 접수된 문제입니다. 반드시 정답과 해설을 확인하시기 바랍니다.) 94 그림은 전력선 반송통신용 결합장치의 보안장치를 나타낸 것이다. S의 명칭으로 옳은 것은? 95 저압 옥상전선로를 전개된 장소에 시설하는 내용으로 틀린 것은? 96 가공전선로 지지물의 승탑 및 승주방지를 위한 발판 볼트는 지표상 몇 m 미만에 시설 하여서는 아니 되는가?
App Store Google Play
오늘학습 예시 이미지

시험에 합격하려면
복습을 제대로 해야 합니다.

오늘학습은 스스로 기억을 떠올리고 계획적으로 복습할 수 있도록 설계돼 있어요.
그것도, 가장 과학적인 방식으로요!

능동적 회상

능동적 회상
(Active Recall)

배운 내용을 단순 읽으며 반복하는 것이 아니라,
능동적으로 기억하고 있는지를
스스로 테스트하며
공부할 수 있는
학습 환경을 제공해 학습 효과를 높여요

간격 반복 학습

간격 반복 학습
(Spaced Repetition)

에빙하우스 망각곡선을 바탕으로
가장 최적의 시점에 복습을 제공하여
배운 내용이 잊히지 않도록 장기 기억화해요

Data 기반의
뇌과학적 복습 시스템

학습 결과 Data를 분석해, 문제별 최적화된
반복 학습량을
자동으로 분배해요.
학습에 소요되는 시간을 최소화하는
동시에
단기 기억을 장기 기억으로 전환해줘요.

36만 개 이상의
기출문제 무료 제공

공무원 및 약 300여종의 자격증 시험 기출문제
36만개
이상을 무료로 이용할 수 있어요.
여러 앱을 설치할 필요
없이, 오늘학습 하나로
모든 시험을 준비할 수 있어요.

다양한 문제 유형으로 만드는
나만의 단어장&문제집

기출 외에도 외워야 하는 내용은
객관식, 주관식, 카드, 빈칸
등 다양한 형식으로
직접 만들어 보세요. 내 학습 스타일에
맞게
나만의 단어장과 문제집을 만들 수 있어요.

시험별 체계적인
문제 관리

시험에 문제를 추가해 체계적으로
관리할 수 있어요.
주제나 단원별로
분류하고 싶다면,
시험에 챕터를 만들어
문제를 추가할 수도 있어요.

수십만 명이
오늘학습을 사랑합니다

앱 스토어 평점 4.9
구글 플레이 평점 4.8
누적 회원수 100,000+
지금 오늘학습을
시작해보세요
지금 시작하기
문제 선택