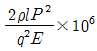
순저항 부하의 부하전력 P(kW), 전압 E(V), 선로의 길이 l(m), 고유저항 ρ(Ω·mm2/m)인 단상 2선식 선로에서 선로 손실을 q(W)라 하면, 전선의 단면적(mm2)은 어떻게 표현되는가?(오류 신고가 접수된 문제입니다. 반드시 정답과 해설을 확인하시기 바랍니다.)
지금 시작하기 →

・・・ 문제은행 전기공사기사(2018년 2회) 29번

전기공사기사 2018년 04월 29번

순저항 부하의 부하전력 P(kW), 전압 E(V), 선로의 길이 l(m), 고유저항 ρ(Ω·mm2/m)인 단상 2선식 선로에서 선로 손실을 q(W)라 하면, 전선의 단면적(mm2)은 어떻게 표현되는가?(오류 신고가 접수된 문제입니다. 반드시 정답과 해설을 확인하시기 바랍니다.)

1
2
3
4
단축키
이전 문제로 이동은 키를 누르고, 다음 문제로 이동은 키를 누르세요
이전 문제 , 다음 문제
문제(100)
49 3상 수은 정류기의 직류 평균 부하전류가 50A가 되는 1상 양극 전류 실효값은 약 몇 A 인가? 50 직류기에서 기계각의 극수가 P인 경우 전기각과의 관계는 어떻게 되는가? 51 유도전동기의 2차 회로에 2차 주파수와 같은 주파수로 적당한 크기와 적당한 위상의 전압을 외부에서 가해주는 속도제어법은? 52 직류발전기의 유기기전력과 반비례하는 것은? 53 이상적인 변압기의 무부하에서 위상관계로 옳은 것은? 54 부하전류가 2배로 증가하면 변압기의 2차측 동손은 어떻게 되는가? 55 직류 분권발전기의 극수 4, 전기자 총 도체수 600으로 매분 600회전할 때 유기기전력이 220V라 한다. 전기자 권선이 파권일 때 매극당 자속은 약 몇 Wb인가? 56 변압기의 1차측을 Y결선, 2차측을 △결선으로 한 경우 1차와 2차간의 전압의 위상차는? 57 직류기의 철손에 관한 설명으로 틀린 것은? 58 정격출력 50kW, 4극 220V, 60Hz인 3상 유도전동기가 전부하 슬립 0.04, 효율 90%로 운전되고 있을 때 다음 중 틀린 것은? 59 동기전동기에서 출력이 100%일 때 역률이 1이 되도록 계자전류를 조정한 다음에 공급 전압 V 및 계자전류 If 를 일정하게 하고, 전부하 이하에서 운전하면 동기전동기의 역률은? 60 3상 변압기를 1차, Y, 2차 △로 결선하고 1차에 선간전압 3300V를 가했을 때의 무부하 2차 선간전압은 몇 V인가? (단, 전압비는 30:1이다.)
61 선간전압이 200V인 대칭 3상 전원에 평형 3상 부하가 접속되어 있다. 부하 1상의 저항은 10Ω, 유도리액턴스 15Ω, 용량리액턴스 5Ω가 직렬로 접속된 것이다. 부하가 △결선일 경우, 선로전류(A)와 3상 전력(W)은 약 얼마인가? 62 그림(a)와 그림(b)가 역회로 관계에 있으려면 L의 값은 몇 mH인가? 63 공간적으로 서로 (rad)의 각도를 두고 배치한 n개의 코일에 대칭 n상 교류를 흘리면 그 중심에 생기는 회전자계의 모양은? 64 2개의 전력계로 평형 3상 부하의 전력을 측정하였더니 한쪽의 지시가 다른 쪽 전력계 지시의 3배였다면 부하의 역률은 약 얼마인가? 65 어떤 소자에 걸리는 전압이 V이고, 흐르는 전류가 A일 때 소비되는 전력(W)은? 66 의 라플라스 역변환은? 67 어떤 회로에 전압을 115V 인가하였더니 유효전력이 230W, 무효전력이 345Var를 지시한다면 회로에 흐르는 전류는 약 몇 A 인가? 68 무손실 선로에 있어서 감쇠정수 α, 위상정수를 β라 하면 α와 β의 값은? (단, R, G, L, C는 선로 단위 길이당의 저항, 컨덕턴스, 인덕턴스, 커패시턴스이다.) 69 시정수의 의미를 설명한 것 중 틀린 것은? 70 R=100Ω, Xc=100Ω이고 L만을 가변 할 수 있는 RLC 직렬회로가 있다. 이 때 f=500Hz, E=100V를 인가하여 L을 변화시킬 때 L의 단자전압 EL의 최대값은 몇 V 인가? (단, 공진회로이다.) 71 단위 부궤환 제어시스템의 루프전달함수 G(s)H(s)가 다음과 같이 주어져 있다. 이득 여유가 20dB이면 이 때의 K의 값은? 72 그림은 제어계와 그 제어계의 근궤적을 작도한 것이다. 이것으로부터 결정된 이득여유 값은?
85 전력계통의 일부가 전력계통의 전원과 전기적으로 분리된 상태에서 분산형전원에 의해서만 가압되는 상태를 무엇이라 하는가? 86 샤워시설이 있는 욕실 등 인체가 물에 젖어있는 상태에서 전기를 사용하는 장소에 콘센트를 시설할 경우 인체감전보호용 누전차단기의 정격감도전류는 몇 mA 이하인가? 87 ( )안에 들어갈 내용으로 옳은 것은? 88 사용전압이 몇 V 이상의 중성점 직접접지식 전로에 접속하는 변압기를 설치하는 곳에는 절연유의 구외 유출 및 지하 침투를 방지하기 위하여 절연유 유출 방지설비를 하여야 하는가? 89 전로의 사용전압이 400V 미만이고, 대지전압이 220V인 옥내전로에서 분기회로의 절연저항 값은 몇 MΩ 이상이어야 하는가?(관련 규정 개정전 문제로 여기서는 기존 정답인 2번을 누르면 정답 처리됩니다. 자세한 내용은 해설을 참고하세요.) 90 전기울타리용 전원 장치에 전기를 공급하는 전로의 사용전압은 몇 V 이하이어야 하는 가? 91 가반형의 용접 전극을 사용하는 아크 용접장치의 용접변압기의 1차측 전로의 대지전압은 몇 V 이하이어야 하는가? 92 사용전압이 22.9kV인 특고압 가공전선로(중성선 다중접지식의 것으로서 전로에 지락이 생겼을 때에 2초 이내에 자동적으로 이를 전로로부터 차단하는 장치가 되어 있는 것에 한 한다.)가 상호 간 접근 또는 교차하는 경우 사용전선이 양쪽 모두 케이블인 경우 이격거리는 몇 m 이상인가? 93 발전용 수력 설비에서 필댐의 축제재료로 필댐의 본체에 사용하는 토질재료로 적합하지 않은 것은? 94 특고압 가공전선이 도로 등과 교차하여 도로 상부측에 시설할 경우에 보호망도 같이 시설하려고 한다. 보호망은 제 몇 종 접지공사로 하여야 하는가?(관련 규정 개정전 문제로 여기서는 기존 정답인 1번을 누르면 정답 처리됩니다. 자세한 내용은 해설을 참고하세요.) 95 지중 전선로를 직접 매설식에 의하여 시설하는 경우에 차량 기타 중량물의 압력을 받을 우려가 없는 장소의 매설 깊이는 몇 cm 이상이어야 하는가?(2021년 개정된 KEC 규정 적용됨) 96 특고압의 기계기구·모선 등을 옥외에 시설하는 변전소의 구내에 취급자 이외의 자가 들어가지 못하도록 시설하는 울타리·담 등의 높이는 몇 m 이상으로 하여야 하는가?
App Store Google Play
오늘학습 예시 이미지

시험에 합격하려면
복습을 제대로 해야 합니다.

오늘학습은 스스로 기억을 떠올리고 계획적으로 복습할 수 있도록 설계돼 있어요.
그것도, 가장 과학적인 방식으로요!

능동적 회상

능동적 회상
(Active Recall)

배운 내용을 단순 읽으며 반복하는 것이 아니라,
능동적으로 기억하고 있는지를
스스로 테스트하며
공부할 수 있는
학습 환경을 제공해 학습 효과를 높여요

간격 반복 학습

간격 반복 학습
(Spaced Repetition)

에빙하우스 망각곡선을 바탕으로
가장 최적의 시점에 복습을 제공하여
배운 내용이 잊히지 않도록 장기 기억화해요

Data 기반의
뇌과학적 복습 시스템

학습 결과 Data를 분석해, 문제별 최적화된
반복 학습량을
자동으로 분배해요.
학습에 소요되는 시간을 최소화하는
동시에
단기 기억을 장기 기억으로 전환해줘요.

36만 개 이상의
기출문제 무료 제공

공무원 및 약 300여종의 자격증 시험 기출문제
36만개
이상을 무료로 이용할 수 있어요.
여러 앱을 설치할 필요
없이, 오늘학습 하나로
모든 시험을 준비할 수 있어요.

다양한 문제 유형으로 만드는
나만의 단어장&문제집

기출 외에도 외워야 하는 내용은
객관식, 주관식, 카드, 빈칸
등 다양한 형식으로
직접 만들어 보세요. 내 학습 스타일에
맞게
나만의 단어장과 문제집을 만들 수 있어요.

시험별 체계적인
문제 관리

시험에 문제를 추가해 체계적으로
관리할 수 있어요.
주제나 단원별로
분류하고 싶다면,
시험에 챕터를 만들어
문제를 추가할 수도 있어요.

수십만 명이
오늘학습을 사랑합니다

앱 스토어 평점 4.9
구글 플레이 평점 4.8
누적 회원수 100,000+
지금 오늘학습을
시작해보세요
지금 시작하기
문제 선택