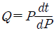
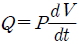
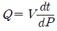
누설율을 구하는 식으로 옳은 것은? (단, P : 기체의 압력, Q : 누설율, V : 상자의 부피, t : 기체를 모으는 시간이다.
지금 시작하기 →

・・・ 문제은행 자기비파괴검사산업기사(구)(2010년) 10번

자기비파괴검사산업기사(구) 2010년 07월 10번

누설율을 구하는 식으로 옳은 것은? (단, P : 기체의 압력, Q : 누설율, V : 상자의 부피, t : 기체를 모으는 시간이다.

1
2
3
4
단축키
이전 문제로 이동은 키를 누르고, 다음 문제로 이동은 키를 누르세요
이전 문제 , 다음 문제
문제(80)
37 코일법으로 직경 50mm, 길이 125mm 인 환봉을 자분탐상검사법으로 검사할 때 요구되는 자화전류가 3600A 라면 시험체에 코일을 몇 회 감아야 하는가? 38 자분탐상검사시 극이나 전류 방향이 주기적으로 바뀌는 전류는? 39 실린더를 전류관통법으로 자분탐상검사할 때 자계의 세기가 가장 강한 부분은? 40 시험체의 자기특성, 탈자의 정도 등을 측정하는 계측기가 아닌 것은? 41 철강 재료의 자분탐상 시험방법 및 자분모양의 분류(KS D0213)에서 자화전류의 설정시 시험체의 외경 또는 두께가 미치는 영향이 가장 작은 자화 방법은? 42 철강 재료의 자분탐상 시험방법 및 자분모양의 분류(KS D0213)에 의한 자분모양의 분류에서 선상의 자분모양 및 원형상의 자분모양은 어떤 분류에 속하는가? 43 철강 재료의 자분탐상 시험방법 및 자분모양의 분류(KS D0213)에서 자분의 현탁성을 나타내는 철강속도 분포를 구하는 방법으로 적당한 것은? 44 보일러 및 압력용기에 대한 표준자분탐상검사(ASME Sec.V Art.25 SE-709)에 따라 탐상 후 탈자를 했을 때 별도의 규정이 없다면 탈자 후 제품은 자장계로 측정하여 몇 가우스(G)를 넘지 않아야 하는가? 45 보일러 및 압력용기에 대한 자분탐상검사(ASME Sec.V Art.7)에 따라 탐상을 실시할 때 시험체의 길이 9인치, 직경 3인치 인 강봉을 5회 감아 선형자화법으로 자화할 때 요구되는 자화전류는? 46 철강 재료의 자분탐상 시험방법 및 자분모양의 분류(KS D 0213)와 보일러 및 압력용기에 대한 자분탐상검사(ASME Sec.V Art.7)에 따른 자분모양의 관찰에서 형광자분을 사용할 경우 시험체 관찰 면에서 최소 자외선강도를 각각 어떻게 규정하고 있는가? 47 보일러 및 압력용기에 대한 자분탐상검사(ASME Sec.V Art.7)에 따른 자화 장치의 교정주기와 장치 계기의 허용오차 범위를 옳게 나타낸 것은? 48 보일러 및 압력용기에 대한 자분탐상검사(ASME Sec.VArt.7)에서 다음과 같은 식을 사용하는 자화방법은? (암페어턴 A.T= )
49 철강 재료의 자분탐상 시험방법 및 자분모양의 분류(KS D0213)에 따른 자화방법과 그 부호가 잘못 연결된 것은? 50 보일러 및 압력용기에 대한 자분탐상검사(ASME Sec.V Art.7)에 따라 백색광 및 형광의 측정을 위한 조도계는 수리되었을 때마다 교정을 실시하여야 하며 또한 최대 얼마의 기간마다 교정을 실시하여야 하는가? 51 ASME Sec.V Art.7 '자분탐상검사' 에 따라 습식자분의 농도를 측정할 때 물베이스 현탁액 침전시간의 규정으로 옳은 것은? 52 철강 재료의 자분탐상 시험방법 및 자분모양의 분류(KS D0213)에 따른 자화방법의 설명 중 틀린 것은? 53 항공 우주용 자기탐상 검사방법(KS W 4041)의 원형자화에 대한 다음 설명 중 ( )안에 알맞은 수치로 옳은 것은? 54 보일러 및 압력용기에 대한 자분탐상검사(ASME Sec.V Art.7)에 따라 교류를 이용하는 극간법의 경우 최대 극간거리에서 최소 몇 파운드의 인상력을 가져야 하는가? 55 배관용접부의 비파괴시험 방법(KS B 0888)에 따라 관용접부를 탐상시험할 때 전처리 범위는 용접선 양끝에서 모재쪽 바깥면으로 얼마나 넓게 잡아야 하는가? 56 다음이 설명하고 있는 웹 페이지 검색엔진의 유형으로 옳은 것은? 57 제어프로그램(Control Program)은 운영체제의 중심이 되는 프로그램으로 시스템 전체의 작동상태를 관리하는 소프트웨어이다. 다음 중 제어프로그램에 해당하지 않는 것은? 58 E-mail의 송수신에 관련된 프로토콜이 아닌 것은? 59 인터넷의 표준 주소 방식인 URL에 포함되지 않는 정보는? 60 중앙 처리 장치의 기능이 아닌 것은?
App Store Google Play
오늘학습 예시 이미지

시험에 합격하려면
복습을 제대로 해야 합니다.

오늘학습은 스스로 기억을 떠올리고 계획적으로 복습할 수 있도록 설계돼 있어요.
그것도, 가장 과학적인 방식으로요!

능동적 회상

능동적 회상
(Active Recall)

배운 내용을 단순 읽으며 반복하는 것이 아니라,
능동적으로 기억하고 있는지를
스스로 테스트하며
공부할 수 있는
학습 환경을 제공해 학습 효과를 높여요

간격 반복 학습

간격 반복 학습
(Spaced Repetition)

에빙하우스 망각곡선을 바탕으로
가장 최적의 시점에 복습을 제공하여
배운 내용이 잊히지 않도록 장기 기억화해요

Data 기반의
뇌과학적 복습 시스템

학습 결과 Data를 분석해, 문제별 최적화된
반복 학습량을
자동으로 분배해요.
학습에 소요되는 시간을 최소화하는
동시에
단기 기억을 장기 기억으로 전환해줘요.

36만 개 이상의
기출문제 무료 제공

공무원 및 약 300여종의 자격증 시험 기출문제
36만개
이상을 무료로 이용할 수 있어요.
여러 앱을 설치할 필요
없이, 오늘학습 하나로
모든 시험을 준비할 수 있어요.

다양한 문제 유형으로 만드는
나만의 단어장&문제집

기출 외에도 외워야 하는 내용은
객관식, 주관식, 카드, 빈칸
등 다양한 형식으로
직접 만들어 보세요. 내 학습 스타일에
맞게
나만의 단어장과 문제집을 만들 수 있어요.

시험별 체계적인
문제 관리

시험에 문제를 추가해 체계적으로
관리할 수 있어요.
주제나 단원별로
분류하고 싶다면,
시험에 챕터를 만들어
문제를 추가할 수도 있어요.

수십만 명이
오늘학습을 사랑합니다

앱 스토어 평점 4.9
구글 플레이 평점 4.8
누적 회원수 100,000+
지금 오늘학습을
시작해보세요
지금 시작하기
문제 선택