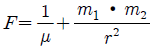
쿨롱의 법칙에서 두 자극사이에 작용하는 힘(F)을 구하는 식으로 옳은 것은?(단, 자극의 세기는 각각 m1, m2, 투자율은 μ, 자극간의 간격은 r 이다.)
지금 시작하기 →

・・・ 문제은행 자기비파괴검사산업기사(구)(2011년) 14번

자기비파괴검사산업기사(구) 2011년 08월 14번

쿨롱의 법칙에서 두 자극사이에 작용하는 힘(F)을 구하는 식으로 옳은 것은?(단, 자극의 세기는 각각 m1, m2, 투자율은 μ, 자극간의 간격은 r 이다.)

1
2
3
4
단축키
이전 문제로 이동은 키를 누르고, 다음 문제로 이동은 키를 누르세요
이전 문제 , 다음 문제
문제(80)
37 다음 중 자계를 측정하는 자기계측기로써 측정감도가 가장 높은 것은? 38 자분탐상검사에 사용되는 자분의 자기적 성질 및 구비조건에 관한 설명 중 틀린 것은? 39 자계의 세기를 측정하는데 사용되는 자속밀도의 단위로 틀린 것은? 40 연속법에서 사용하는 자화전류로 가장 거리가 먼 것은? 41 철강 재료의 자분탐상 시험방법 및 자분모양의 분류(KS D0213)에 따라 형광자분을 사용하는 경우 나타난 자분모양의 관찰은 자외선조사장치를 사용하여 형광자분 모양을 충분히 식별할 수 있는 어두운 장소에서 관찰하여야 하는데, 관찰면에서 가시광의 밝기는 몇 룩스(lux)이하이어야 하는 가? 42 철강 재료의 자분탐상 시험방법 및 자분모양의 분류(KS D0213)에 의한 재질 경계지시로 볼 수 없는 것은? 43 보일러 및 압력용기에 대한 자분탐상검사(ASME Sec.VArt.7)에서 축통전법으로 탐상할 때 자화전류는 직류나 정류 전류가 사용된다. 이 때 필요한 전류는 외경 인치당 얼마의 전류가 필요한가? 44 보일러 및 압력용기에 대한 자분탐상시험(ASME Sec.VArt.7)에서 규정한 링형시험편(Ring Specimen)에서의 표면하 구멍의 개수는? 45 철강 재료의 자분탐상 시험방법 및 자분모양의 분류(KS D0213)에서 시험결과 확인된 자분모양이 흠에 의한 것으로 판정하기 어려울 때는 일반적으로 어떻게 하는가? 46 철강 재료의 자분탐상 시험방법 및 자분모양의 분류(KS D0213)에서 규정한 자분모양의 분류에 해당되지 않는 것은? 47 보일러 및 압력용기에 대한 자분탐상검사(ASME Sec.VArt.7)에서 프로드법으로 직류를 사용할 때, 시험체 두께가 3/4인치 이상일 경우 프로드 간격에 대한 자화전류의 범위는 몇 A/in 인가? 48 보일러 및 압력용기에 대한 자분탐상검사(ASME Sec.VArt.7)에서 선형자화법으로 5000 암페어ㆍ턴이 요구되었다면 5회 감긴 코일에 몇 A를 사용하여야 하는가?
49 철강 재료의 자분탐상 시험방법 및 자분모양의 분류(KS D0213)에 따라 가장 높은 유효자계의 강도에서 자분모양이 나타날 수 있는 시험편은? 50 철강 재료의 자분탐상 시험방법 및 자분모양의 분류(KS D0213)에 따라 시험체를 자화시킬 때 고려할 사항이 아닌 것은? 51 철강 재료의 자분탐상 시험방법 및 자분모양의 분류(KS D0213)에 따라 A형 표준시험편을 사용하여 A1-15/100 로 자분모양을 얻었다면 (A1-15/100)x2는 어떻게 하여야 하는가? 52 철강 재료의 자분탐상 시험방법 및 자분모양의 분류(KS D0213)에서 규정된 A형 표준시험편의 사용방법으로 옳은 것은? 53 보일러 및 압력용기에 대한 자분탐상시험(ASME Sec.V Art.7)에 따라 전류관통법으로 실린더형 제품의 구멍에 하나의 케이블을 관통하여 6000A 전류에서 적정한 자화강도를 얻었다면 3개의 관통 케이블을 사용하면 몇 A의 자화전류가 필요하겠는가? 54 보일러 및 압력용기에 대한 자분탐상검사(ASME Sec.V Art.7)에 따르면 프로드(Prod)법에서 요구되는 최소의 Prod 간격은? 55 철강 재료의 자분탐상 시험방법 및 자분모양의 분류(KS D0213)에 의해 시험할 경우 용접부 열처리 후에 하는 시험의 원칙적인 자화방법에 대한 설명으로 옳은 것은? 56 다음이 설명하고 있는 것은? 57 컴퓨터통신 사용에 대한 예절로 가장 부적절한 것은? 58 다음 중 바이러스를 예방 또는 치료해주는 프로그램은? 59 PC 운영체제에 대한 설명으로 틀린 것은? 60 다음 인터넷 서비스에 대한 설명으로 잘못된 것은?
App Store Google Play
오늘학습 예시 이미지

시험에 합격하려면
복습을 제대로 해야 합니다.

오늘학습은 스스로 기억을 떠올리고 계획적으로 복습할 수 있도록 설계돼 있어요.
그것도, 가장 과학적인 방식으로요!

능동적 회상

능동적 회상
(Active Recall)

배운 내용을 단순 읽으며 반복하는 것이 아니라,
능동적으로 기억하고 있는지를
스스로 테스트하며
공부할 수 있는
학습 환경을 제공해 학습 효과를 높여요

간격 반복 학습

간격 반복 학습
(Spaced Repetition)

에빙하우스 망각곡선을 바탕으로
가장 최적의 시점에 복습을 제공하여
배운 내용이 잊히지 않도록 장기 기억화해요

Data 기반의
뇌과학적 복습 시스템

학습 결과 Data를 분석해, 문제별 최적화된
반복 학습량을
자동으로 분배해요.
학습에 소요되는 시간을 최소화하는
동시에
단기 기억을 장기 기억으로 전환해줘요.

36만 개 이상의
기출문제 무료 제공

공무원 및 약 300여종의 자격증 시험 기출문제
36만개
이상을 무료로 이용할 수 있어요.
여러 앱을 설치할 필요
없이, 오늘학습 하나로
모든 시험을 준비할 수 있어요.

다양한 문제 유형으로 만드는
나만의 단어장&문제집

기출 외에도 외워야 하는 내용은
객관식, 주관식, 카드, 빈칸
등 다양한 형식으로
직접 만들어 보세요. 내 학습 스타일에
맞게
나만의 단어장과 문제집을 만들 수 있어요.

시험별 체계적인
문제 관리

시험에 문제를 추가해 체계적으로
관리할 수 있어요.
주제나 단원별로
분류하고 싶다면,
시험에 챕터를 만들어
문제를 추가할 수도 있어요.

수십만 명이
오늘학습을 사랑합니다

앱 스토어 평점 4.9
구글 플레이 평점 4.8
누적 회원수 100,000+
지금 오늘학습을
시작해보세요
지금 시작하기
문제 선택