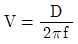
진동 진폭의 파라미터로서 진동변위 D(㎛), 진동속도V(mm/s), 진동주파수를 f(Hz)라 할 때 진동변위와 진동속도 관계를 올바르게 표현한 것은?
지금 시작하기 →

・・・ 문제은행 설비보전기사(구)(2018년 2회) 15번

설비보전기사(구) 2018년 09월 15번

진동 진폭의 파라미터로서 진동변위 D(㎛), 진동속도V(mm/s), 진동주파수를 f(Hz)라 할 때 진동변위와 진동속도 관계를 올바르게 표현한 것은?

1
2
3
4
단축키
이전 문제로 이동은 키를 누르고, 다음 문제로 이동은 키를 누르세요
이전 문제 , 다음 문제
문제(100)
25 공사를 완급도에 따라 구분할 때 구두 연락으로 즉시 착공하고, 착공 후 전표를 제출하는 공사는? 26 상비품 품목결정방식 중 비상비품의 재고방식을 계획 구입방식이라고 한다. 다음 계획 구입방식의 특성으로 틀린 것은? 27 설비의 종류, 설비의 수, 크기와 용량 그리고 설비 위치 등에 연계된 보전 개념과 보전 작업의 결정 및 정보 연계로서 설비 계획 및 관리에 대한 명확한 책임 및 권한이 있으며 동종 설비의 여러 지역 설치로 보전 능력의 분산을 갖는 설비망은? 28 다음 중 설비 계획의 필요성과 가장 거리가 먼 것은? 29 설비나 시스템의 효율을 극대화하기 위한 개별개선 활동에서 가장 첫 번째로 수행하는 것은? 30 공정에서 취한 계량치 데이터가 여러 개 있을 때, 데이터가 어떤 값을 중심으로 어떤 모습으로 산포하고 있는가를 조사하는데 사용하는 것은? 31 가공 및 조립형 설비로스의 종류와 정의에 종류에 따른 정의가 잘못 설명된 것은? 32 설비보전에 강한 작업자의 요구능력 중 수리할 수 있는 능력이 아닌 것은? 33 보전작업 표준화의 목적은 보전작업의 낭비를 제거하여 효율성을 증대시키기 위한 것이다. 다음 중 보전표준의 종류가 아닌 것은? 34 생산성을 향상시키기 위하여 현상을 파악하고 개선하기 위한 6대 요소에 해당되지 않는 것은? 35 공정별 배치에서 동일 기종이 모여 있는 시스템은? 36 설비의 효율성을 결정짓는 하나의 속성으로서 “시스템이 어떤 특정 환경과 운전조건 하에서 어느 주어진 시간동안 명시된 특정기능을 성공적으로 수행 할 수 있는 확률”을 무엇이라고 하는가?
49 운동체와 정지체와의 기계적 접촉에 의해 운동체를 감속 또는 정지시키고, 정지상태를 유지하는 기능을 가진 요소는? 50 와셔를 굽히거나 구멍을 만들어 그곳에 끼운후 볼트, 너트의 풀림을 방지하는 화셔는? 51 플랜지 커플링의 조립과 분해 시의 유의사항중 옳은 것은? (문제 오류로 실제 시험에서는1, 3, 4번이 정답처리 되었습니다. 여기서는 1번을 누르면 정답 처리 됩니다.) 52 다음 설비관계의 표준 중 설비의 열화측정, 열화의 진행방지 및 열화회복과 가장 관계가 깊은 표준은? 53 기어가 회전할 때 발생하는 이의 접촉압력에 의해 최대전단응력이 발생하여 표면에 가는 균열이 생기고, 그 균열 속에 윤활유가 들어가 고압을 받아 이의 면에 일부가 떨어져 나가는 현상은? 54 다음 중 터보형 압축기에 해당하는 것은? 55 산성 등의 화학 약품을 차단하는 경우에 내양품, 내열 고무제의 격막 판을 밸브시트에 밀어 붙이는 밸브이며, 유체 흐름 저항이 적고 기밀 유지에 패킹이 필요 없으며 부식의 염려가 없는 밸브는? 56 원심 펌프의 임펠러에 의해 유체에 가해진 속도에너지를 압력에너지로 변환되도록 하고 유체의 통로를 형성해 주는 역할을 하는 일종의 압력용기를 무엇이라 하는가? 57 용접법의 분류 중에서 융접에 해당하지 않는 것은? 58 다음 중 관이음의 종류가 아닌 것은? 59 송풍기의 풍량을 조절하는 방법으로 옳지 않는 것은? 60 일반적인 질화법의 특징으로 틀린 것은?
App Store Google Play
오늘학습 예시 이미지

시험에 합격하려면
복습을 제대로 해야 합니다.

오늘학습은 스스로 기억을 떠올리고 계획적으로 복습할 수 있도록 설계돼 있어요.
그것도, 가장 과학적인 방식으로요!

능동적 회상

능동적 회상
(Active Recall)

배운 내용을 단순 읽으며 반복하는 것이 아니라,
능동적으로 기억하고 있는지를
스스로 테스트하며
공부할 수 있는
학습 환경을 제공해 학습 효과를 높여요

간격 반복 학습

간격 반복 학습
(Spaced Repetition)

에빙하우스 망각곡선을 바탕으로
가장 최적의 시점에 복습을 제공하여
배운 내용이 잊히지 않도록 장기 기억화해요

Data 기반의
뇌과학적 복습 시스템

학습 결과 Data를 분석해, 문제별 최적화된
반복 학습량을
자동으로 분배해요.
학습에 소요되는 시간을 최소화하는
동시에
단기 기억을 장기 기억으로 전환해줘요.

36만 개 이상의
기출문제 무료 제공

공무원 및 약 300여종의 자격증 시험 기출문제
36만개
이상을 무료로 이용할 수 있어요.
여러 앱을 설치할 필요
없이, 오늘학습 하나로
모든 시험을 준비할 수 있어요.

다양한 문제 유형으로 만드는
나만의 단어장&문제집

기출 외에도 외워야 하는 내용은
객관식, 주관식, 카드, 빈칸
등 다양한 형식으로
직접 만들어 보세요. 내 학습 스타일에
맞게
나만의 단어장과 문제집을 만들 수 있어요.

시험별 체계적인
문제 관리

시험에 문제를 추가해 체계적으로
관리할 수 있어요.
주제나 단원별로
분류하고 싶다면,
시험에 챕터를 만들어
문제를 추가할 수도 있어요.

수십만 명이
오늘학습을 사랑합니다

앱 스토어 평점 4.9
구글 플레이 평점 4.8
누적 회원수 100,000+
지금 오늘학습을
시작해보세요
지금 시작하기
문제 선택