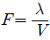
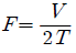
기본공진 주파수[F]의 결정식은? (단, V : 속도, T : 두께, λ : 파장, K는 상수이다.)
지금 시작하기 →

・・・ 문제은행 초음파비파괴검사산업기사(2016년 2회) 28번

초음파비파괴검사산업기사 2016년 08월 28번

기본공진 주파수[F]의 결정식은? (단, V : 속도, T : 두께, λ : 파장, K는 상수이다.)

1
2
3
4
F=λV
단축키
이전 문제로 이동은 키를 누르고, 다음 문제로 이동은 키를 누르세요
이전 문제 , 다음 문제
문제(60)
25 다음 중 초음파 탐촉자의 내부 구성요소에 해당되지 않는 것은? 26 수침법에서 물에 침윤제(Wetting agent)를 첨가하는 가장 주된 이유는? 27 수정을 사용하여 진동자를 만들 때 종파의 발생을 목적으로 결정면을 자른 것을 무엇이라 하는가? 28 기본공진 주파수[F]의 결정식은? (단, V : 속도, T : 두께, λ : 파장, K는 상수이다.) 29 산란감쇠계수 0.006(dB/mm)인 500mm 강재를 수식탐상하여 저면에코가 40%로 확인되었다면 감쇠를 보정한 실제의 저면 에코높이는 약 얼마인가? (단, 반사손실을 무시한다.) 30 수동이나 자동으로 탐상면을 따라 움직이는 탐촉자의 이동을 무엇이라 하는가? 31 건축용 강판 및 평강의 초음파탐상시험에 따른 등급분류와 판정기준(KS D 0040)에서 규정한 결함분류 중 틀린 것은? 32 강용접부의 초음파탐상 시험방법(KS B 0896)에서 경사각탐촉자의 접근한계길이를 정하고 있다. 진동자의 공칭치수가 10x10mm, 공칭 굴절각이 45˚ 일 때 접근 한계길이는 몇 mm인가? 33 초음파탐상장치의 성능 측정방법(KS B 0534)에서 분해능 시험편으로 사용하지 않는 것은? 34 강용접부의 초음파탐상 시험방법(KS B 0896)에 의한 원둘레이음 용접부 곡률 반지름 50~150mm를 검사하기 위한 대비시험편으로 옳은 것은? 35 보일러 및 압력용기의 재료에 대한 초음파탐상검사(ASME Sec.V Art5)에 의해 주조품을 수직빔으로 시험하는 경우 주조품의 전면과 후면간의 각이 몇 도를 초과하면 추가로 경사각빔 시험을 수행해야 하는가? 36 보일러 및 압력용기에 대한 표준초음파탐상검사 (ASME Sec.V Art23 SA-388)에 의거 오스테나이트계 스테인리스강의 단강품을 검사하고자 한다. 장비의 주파수는 어떻게 규정하고 있는가?(오류 신고가 접수된 문제입니다. 반드시 정답과 해설을 확인하시기 바랍니다.)
37 강용접부의 초음파탐상 시험방법(KS B 0896)에서 규정하는 경사각탐상에서 에코높이 구분선에 의한 Ⅱ영역이 의미하는 것은? 38 압력용기용 강판의 초음파탐상 검사방법(KS B 0233)에서 X 주사결함의 분류 중 중간에 해당하는 것은? 39 강용접부의 초음파탐상 시험방법(KS B 0896)에 따른 초음파 탐상기의 필요한 기능으로 틀린 것은? 40 보일러 및 압력용기에 대한 표준초음파탐상검사(ASME Sec.V Art23 SA388)에 따라 저면반사법으로 수직탐상 중에 재교정을 실시하였더니 게인(gain)레벨이 15% 증가하였다. 어떤 조치를 취하여야 하는가? 41 펄스반사식 초음파 탐상기를 사용하여 시간축의 측정범위조정, 시간축 직전성의 점검, 수직탐촉자의 분해능 점검, 경사각탐촉자의 입사점 및 굴절각 측정 등에 사용되는 표준시험편은? 42 물질 내의 음파속도와 밀도의 곱은 초음파에너지의 투과량과 반사량의 결정에 중요하게 작용하는데, 이를 무엇이라하는가? 43 전자주사형 초음파탐상기에 사용되는 배열형(Array) 탐촉자의 주된 특징에 대한 설명으로 틀린 것은? 44 전자음향탐촉자(electro-magnetic acoustic transducer : EMAT)에 관한 설명으로 틀린 것은? 45 경사각탐상에서 스위프지연 조정장치의 사용 목적은? 46 어떤 강재를 주파수 5MHz에서 2.25MHz로 바꾸어 탐상하였다. 이 경우 음속 및 파장은 어떻게 되는가? 47 진동자 설계 시 다음 중 최대의 감도를 갖는 경우는? 48 초음파 탐상장치의 시간축을 100mm로 거리 보정하고 DAC 회로를 이용하여 거리진폭특성곡선을 그렸다. 다른 것은 조정하지 않고 200mm로 거리 보정하면 거리진폭특성곡선은 어떻게 되는가?
App Store Google Play
오늘학습 예시 이미지

시험에 합격하려면
복습을 제대로 해야 합니다.

오늘학습은 스스로 기억을 떠올리고 계획적으로 복습할 수 있도록 설계돼 있어요.
그것도, 가장 과학적인 방식으로요!

능동적 회상

능동적 회상
(Active Recall)

배운 내용을 단순 읽으며 반복하는 것이 아니라,
능동적으로 기억하고 있는지를
스스로 테스트하며
공부할 수 있는
학습 환경을 제공해 학습 효과를 높여요

간격 반복 학습

간격 반복 학습
(Spaced Repetition)

에빙하우스 망각곡선을 바탕으로
가장 최적의 시점에 복습을 제공하여
배운 내용이 잊히지 않도록 장기 기억화해요

Data 기반의
뇌과학적 복습 시스템

학습 결과 Data를 분석해, 문제별 최적화된
반복 학습량을
자동으로 분배해요.
학습에 소요되는 시간을 최소화하는
동시에
단기 기억을 장기 기억으로 전환해줘요.

36만 개 이상의
기출문제 무료 제공

공무원 및 약 300여종의 자격증 시험 기출문제
36만개
이상을 무료로 이용할 수 있어요.
여러 앱을 설치할 필요
없이, 오늘학습 하나로
모든 시험을 준비할 수 있어요.

다양한 문제 유형으로 만드는
나만의 단어장&문제집

기출 외에도 외워야 하는 내용은
객관식, 주관식, 카드, 빈칸
등 다양한 형식으로
직접 만들어 보세요. 내 학습 스타일에
맞게
나만의 단어장과 문제집을 만들 수 있어요.

시험별 체계적인
문제 관리

시험에 문제를 추가해 체계적으로
관리할 수 있어요.
주제나 단원별로
분류하고 싶다면,
시험에 챕터를 만들어
문제를 추가할 수도 있어요.

수십만 명이
오늘학습을 사랑합니다

앱 스토어 평점 4.9
구글 플레이 평점 4.8
누적 회원수 100,000+
지금 오늘학습을
시작해보세요
지금 시작하기
문제 선택