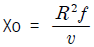
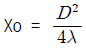
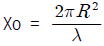
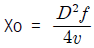
근거리음장거리를 구하는 공식으로 틀린 것은?(단, Xo : 근거리음장거리, D : 진동자의 직경, R : 진동자의 반경 v : 속도, λ : 파장, f : 주파수 이다.)
지금 시작하기 →

・・・ 문제은행 초음파비파괴검사산업기사(2018년 1회) 24번

초음파비파괴검사산업기사 2018년 03월 24번

근거리음장거리를 구하는 공식으로 틀린 것은?(단, Xo : 근거리음장거리, D : 진동자의 직경, R : 진동자의 반경 v : 속도, λ : 파장, f : 주파수 이다.)

1
2
3
4
단축키
이전 문제로 이동은 키를 누르고, 다음 문제로 이동은 키를 누르세요
이전 문제 , 다음 문제
문제(60)
13 금속의 격자결함 중 면결함에 해당되는 것은? 14 비중이 약 4.51, 강도가 크고, 항공이, 로켓 재료로 널리 사용되며, 용융점이 강(Steel)보다 높은 금속은? 15 금속이 일반적으로 갖는 특성으로 틀린 것은? 16 교류 아크 용접기 AW - 300에서 정격 2차 전류 값은 얼마인가? 17 일반적인 논 가스 아크 용접(non gas arc welding)의 특징으로 틀린 것은? 18 피복 아크 용접에서 무부하전압 80V, 아크전압 30V, 아크전류 200A라 하고, 이때의 내부손실을 4kW라 하면 용접기의 효율은 몇 %인가? 19 용착법 중 용접 이음부가 짧은 경우나, 변형과 잔류응력이 크게 문제되지 않을 때 이용되며 수축과 잔류응력이 용접의 시작부분보다 끝부분이 더 큰 용착법은? 20 일반적인 용접작업에서 비틀림 변형을 줄이기 위한 시공 상의 주의사항으로 틀린 것은? 21 초음파 빔의 원거리 음장영역에서 재질내의 에너지 감쇠는 어떻게 표현되는가? 22 수직입사에 의한 초음파의 반사와 통과에 중요한 인자인 음향임피던스에 대한 설명 중 올바른 것은? 23 초음파 두께측정기는 초음파 펄스의 어떤 정보를 이용하여 시험체의 두께를 측정하는가? 24 근거리음장거리를 구하는 공식으로 틀린 것은?(단, Xo : 근거리음장거리, D : 진동자의 직경, R : 진동자의 반경 v : 속도, λ : 파장, f : 주파수 이다.)
25 종파가 아크릴에서 철강재로 경사 입사할 때 종파의 임계각은 약 얼마인가? 26 결정립이 조대한 시험편을 초음파탐상시험할 때 투과력을 높이기 위해서는 어떤 주파수를 사용하는 것이 좋은가? 27 동일 조건으로 검사하여 원거리음장 영역에 존재하는 금속 내부의 원형평면 결함의 결함지시가 가장 큰 것은? 28 동일한 크기의 결함인 경우 초음파탐상시험으로 가장 발견하기 쉬운 결함은? 29 강의 V개선 맞대기 용접부(수동용접)의 경사각탐상시험에 대해 기술한 것으로 옳은 것은? 30 비파괴검사법 중 체적검사형태인 방사선 투과검사와 초음파탐상검사를 비교하였을 때 초음파 탐상검사의 장점이 아닌 것은? 31 초음파 펄스 반사법에 의한 두께 측정 방법(KS B 0536)의 초음파 두께 측정 대비시험편(RB-T)의 두께 허용 범위는? 32 보일러 및 압력용기에 대한 표준초음파 탐상검사(ASME Sec. V, Art.23 SA-609)에 규정된 품질 등급 구분의 수는? 33 알루미늄의 맞대기 용접부의 초음파경사각탐상시험방법(KS B 0897)에서 모재의 두께가 60mm이고, A종 지시를 2류 판정으로 내려질 경우 허용되는 지시의 최대 길이는 얼마인가? 34 초음파탐상장치의 성능측정 방법(KS B 0534)에서 초음파 탐상기의 성능측정 항목으로 틀린 것은? 35 보일러 및 압력용기에 대한 표준초음파탐상검사(ASME Sec. V, Art.23 SA-435)에서 수직빔탐상 적용 재료로 옳은 것은? 36 강 용접부의 초음파탐상 시험방법(KS B 0896)에서 경사각 탐상 시 흠의 횡단면 위치는 탐촉자가 어느 위치에 있을 때 표시하도록 규정하고 있는가?
37 강 용접부의 초음파탐상 시험방법(KS B 0896)의 탠덤탐상에서 Ⅲ영역 이상을 평가대상으로 할 때 어떤 검출 레벨을 지정하는가? 38 강 용접부의 초음파탐상 시험방법(KS B 0896)의 적용범위에 관한 사항 중 틀린 것은? 39 보일러 및 압력용기의 재료에 대한 초음파탐상검사(ASME Sec.V Art.5)에 의거 용접부에 대한 초음파탐상시험을 시행하기 위해 필요한 기본 교정시험편을 제작할 경우에 대한 설명으로 올바른 것은? 40 초음파탐상 시험용 표준시험편(KS B 0831)에 따른 STB-G형 시험편의 탐상 대상물로 부적당한 것은? 41 종파의 속도가 5800m/s인 재료에서 기본 공진주파수가 290kHz이라면 시험체의 두께는 얼마인가? 42 거리진폭교정곡선(DAC)은 무엇 때문에 생긴 신호의 손실을 보상하는 방법인가? 43 펄스반사 초음파 탐상기에서 진동자를 작동시키는 전압을 공급해 주는 부분은? 44 가장 기본적인 펄스-에코 방식의 초음파탐상 장비는? 45 초음파탐상에 지장을 주는 방해 에코가 발생하는 경우가 아닌 것은? 46 직접접촉법으로 초음파탐상시험을 실시하는데 검사물 표면이 아주 거칠 때 주로 사용되는 접촉매질은? 47 초음파탐상기의 조정기 중 리젝션(rejection) 손잡이를 조정하면 나타나는 현상으로 옳은 것은? 48 경사각탐상시험을 실시할 경우 탐상방향을 선정할 때 기본적으로 고려해야 할 사항으로 틀린 것은?
App Store Google Play
오늘학습 예시 이미지

시험에 합격하려면
복습을 제대로 해야 합니다.

오늘학습은 스스로 기억을 떠올리고 계획적으로 복습할 수 있도록 설계돼 있어요.
그것도, 가장 과학적인 방식으로요!

능동적 회상

능동적 회상
(Active Recall)

배운 내용을 단순 읽으며 반복하는 것이 아니라,
능동적으로 기억하고 있는지를
스스로 테스트하며
공부할 수 있는
학습 환경을 제공해 학습 효과를 높여요

간격 반복 학습

간격 반복 학습
(Spaced Repetition)

에빙하우스 망각곡선을 바탕으로
가장 최적의 시점에 복습을 제공하여
배운 내용이 잊히지 않도록 장기 기억화해요

Data 기반의
뇌과학적 복습 시스템

학습 결과 Data를 분석해, 문제별 최적화된
반복 학습량을
자동으로 분배해요.
학습에 소요되는 시간을 최소화하는
동시에
단기 기억을 장기 기억으로 전환해줘요.

36만 개 이상의
기출문제 무료 제공

공무원 및 약 300여종의 자격증 시험 기출문제
36만개
이상을 무료로 이용할 수 있어요.
여러 앱을 설치할 필요
없이, 오늘학습 하나로
모든 시험을 준비할 수 있어요.

다양한 문제 유형으로 만드는
나만의 단어장&문제집

기출 외에도 외워야 하는 내용은
객관식, 주관식, 카드, 빈칸
등 다양한 형식으로
직접 만들어 보세요. 내 학습 스타일에
맞게
나만의 단어장과 문제집을 만들 수 있어요.

시험별 체계적인
문제 관리

시험에 문제를 추가해 체계적으로
관리할 수 있어요.
주제나 단원별로
분류하고 싶다면,
시험에 챕터를 만들어
문제를 추가할 수도 있어요.

수십만 명이
오늘학습을 사랑합니다

앱 스토어 평점 4.9
구글 플레이 평점 4.8
누적 회원수 100,000+
지금 오늘학습을
시작해보세요
지금 시작하기
문제 선택