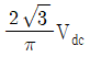
직류 입력전압이 Vdc[V]인 6-스텝 제어 3상 인버터가 3상 Y결선 평형 부하에 인가할 수 있는 선간전압 기본파의 최댓값[V]은?
지금 시작하기 →

・・・ 문제은행 9급 지방직 공무원 전기기기(2022년) 13번

9급 지방직 공무원 전기기기 2022년 06월 13번

직류 입력전압이 Vdc[V]인 6-스텝 제어 3상 인버터가 3상 Y결선 평형 부하에 인가할 수 있는 선간전압 기본파의 최댓값[V]은?

1
2
3
4
단축키
이전 문제로 이동은 키를 누르고, 다음 문제로 이동은 키를 누르세요
이전 문제 , 다음 문제
문제(20)
13 직류 입력전압이 Vdc[V]인 6-스텝 제어 3상 인버터가 3상 Y결선 평형 부하에 인가할 수 있는 선간전압 기본파의 최댓값[V]은? 14 동기발전기의 단락비에 대한 설명으로 옳지 않은 것은? 15 60[Hz], 4극 권선형 유도전동기가 전부하 조건에서 1,575[rpm]로 회전할 때 2차 회로의 상당 저항은 1[Ω]이다. 동일 부하에서 2차 회로의 상당 저항을 2[Ω]로 증가시켰을 때, 회전속도[rpm]는? 16 무부하 상태인 이상적인 단상 변압기의 1차 단자 전원을 50[Hz], 110[V]에서 60[Hz], 220[V]으로 변경하였을 때, 철심 내부의 자속 변화는? 17 직류기에 대한 설명으로 옳지 않은 것은? 18 손실이 없는 정상상태의 벅(Buck) 컨버터가 출력평균전압을 유지하면서 출력전압리플을 줄이는 방법으로 옳은 것은? (단, 출력 인덕터 전류는 연속적이고, 입력전압은 출력평균전압보다 크며 일정하다) 19 3상 비돌극형 동기전동기의 부하각이 30°, 한 상의 유도기전력이 120[V], 동기리액턴스가 3[Ω], 전기자전류가 40[A]일 때, 동기전동기의 역률각은? (단, 전기자저항과 기계적 손실은 무시한다) 20 정격속도로 무부하 운전 중인 손실이 없는 타여자 직류전동기의 속도를 증가시켰을 때, 자속, 역기전력 및 전기자전류의 변화로 옳은 것은? (단, 공급전압과 전기자저항은 일정하고, 속도는 정상상태로 가정한다)
App Store Google Play
오늘학습 예시 이미지

시험에 합격하려면
복습을 제대로 해야 합니다.

오늘학습은 스스로 기억을 떠올리고 계획적으로 복습할 수 있도록 설계돼 있어요.
그것도, 가장 과학적인 방식으로요!

능동적 회상

능동적 회상
(Active Recall)

배운 내용을 단순 읽으며 반복하는 것이 아니라,
능동적으로 기억하고 있는지를
스스로 테스트하며
공부할 수 있는
학습 환경을 제공해 학습 효과를 높여요

간격 반복 학습

간격 반복 학습
(Spaced Repetition)

에빙하우스 망각곡선을 바탕으로
가장 최적의 시점에 복습을 제공하여
배운 내용이 잊히지 않도록 장기 기억화해요

Data 기반의
뇌과학적 복습 시스템

학습 결과 Data를 분석해, 문제별 최적화된
반복 학습량을
자동으로 분배해요.
학습에 소요되는 시간을 최소화하는
동시에
단기 기억을 장기 기억으로 전환해줘요.

36만 개 이상의
기출문제 무료 제공

공무원 및 약 300여종의 자격증 시험 기출문제
36만개
이상을 무료로 이용할 수 있어요.
여러 앱을 설치할 필요
없이, 오늘학습 하나로
모든 시험을 준비할 수 있어요.

다양한 문제 유형으로 만드는
나만의 단어장&문제집

기출 외에도 외워야 하는 내용은
객관식, 주관식, 카드, 빈칸
등 다양한 형식으로
직접 만들어 보세요. 내 학습 스타일에
맞게
나만의 단어장과 문제집을 만들 수 있어요.

시험별 체계적인
문제 관리

시험에 문제를 추가해 체계적으로
관리할 수 있어요.
주제나 단원별로
분류하고 싶다면,
시험에 챕터를 만들어
문제를 추가할 수도 있어요.

수십만 명이
오늘학습을 사랑합니다

앱 스토어 평점 4.9
구글 플레이 평점 4.8
누적 회원수 100,000+
지금 오늘학습을
시작해보세요
지금 시작하기
문제 선택