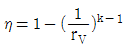
오토(Otto) 사이클의 효율(η)을 표시하는 식으로 옳은 것은? (단, k = 비열비, rV = 압축비, rf = 팽창비 이다.)
지금 시작하기 →

・・・ 문제은행 화공기사(구)(2018년 2회) 19번

화공기사(구) 2018년 04월 19번

오토(Otto) 사이클의 효율(η)을 표시하는 식으로 옳은 것은? (단, k = 비열비, rV = 압축비, rf = 팽창비 이다.)

1
2
3
4
단축키
이전 문제로 이동은 키를 누르고, 다음 문제로 이동은 키를 누르세요
이전 문제 , 다음 문제
문제(100)
1 1kg 질소가스가 2.3atm, 367K에서 압력이 2배로 증가하는데, PV1.3 = comst. 의 폴리트로픽 공정(Polytropic process)에 따라 변화한다고 한다. 질소가스의 최종 온도는 약 얼마인가? 2 그림의 2단 압축조작에서 각 단에서의 기체는 처음 온도로 냉각 된다고 한다. 각 압력사이에 어떤 관계가 성립할 때 압축에 소요되는 전 소요일(total work)량이 최소가 되겠는가? 3 공기표준 디젤 사이클의 구성요소로서 그 과정이 옳은 것은? 4 비리얼 방정식(Virial equation)이 Z = 1 + BP 로 표시되는 어떤 기체를 가역적으로 등온압축 시킬 때 필요한 일의 양은? (단, Z = PV/RT, B : 비리얼 계수) 5 열역학에 관한 설명으로 옳은 것은? 6 다음 그림은 A, B-2성분계 용액에 대한 1기압 하에서의 온도-농도간의 평형관계를 나타낸 것이다. A의 몰분율이 0.4 인 용액을 1기압 하에서 가열할 경우, 이 용액의 끓는 온도는 몇 ℃ 인가? (단, XA 는 액상 몰분률이고, yA는 기상 몰분률이다.) 7 여름철에 집안에 있는 부엌을 시원하게 하기 위하여 부엌의 문을 닫아 부엌을 열적으로 집안의 다른 부분과 격리하고 부엌에 있는 전기냉장고의 문을 열어놓았다. 이 부엌의 온도는? 8 평형상수의 온도에 따른 변화를 알기 위하여 필요한 물성은 무엇인가? 9 다음 중 이심인자(acentric factor) 값이 가장 큰 것은? 10 열역학 제2법칙에 대한 설명 중 틀린 것은? 11 다음 중에서 공기표준오토(Air-Standard Otto) 엔진의 압력-부피 도표에서 사이클을 옳게 나타낸 것은? 12 등온과정에서 300K일 때 기체의 압력이 10atm 에서 2atm 으로 변했다면 소요된 일의 크기는? (단, 기체는 이상기체라 가정하고, 기체상수 R은 1.987cal/mol·K이다.)
13 진공에서 CaCO3(s)가 CaO(s)와 CO2(g)로 완전분해하여 만들어진 계에 대해 자유도(Degree of freedom) 수는? 14 압축인자(compressibility factor)인 Z를 표현하는 비리얼 전개(Virial expansion)는 다음과 같다. 이에 대한 설명으로 옳지 않은 것은? (단, B, C, D 등은 비리얼 계수이다.) 15 화학평형상수에 미치는 온도의 영향을 옳게 나타낸 것은? (단, ΔH°는 표준반응 엔탈피로서 온도에 무관하며, K0 는 온도 T0 에서의 평형상수, K 는 온도 T 에서의 평형상수이다.) 16 1atm, 32℃의 공기를 0.8atm 까지 가역단열 팽창시키면 온도는 약 몇 ℃ 가 되겠는가? (단, 비열비가 1.4 인 이상기체라고 가정한다.) 17 열역학 제1법칙에 대한 설명 중 틀린 것은? 18 다음 중 기-액 상평형 자료의 건전성을 검증하기 위하여 사용하는 것으로 가장 옳은 것은? 19 오토(Otto) 사이클의 효율(η)을 표시하는 식으로 옳은 것은? (단, k = 비열비, rV = 압축비, rf = 팽창비 이다.) 20 0℃, 1atm 인 상태에 있는 100L 의 헬륨을 밀폐된 용기에서 100℃로 가열하였을 때 ΔH를 구하면 약 몇 cal 인가? (단, 헬륨은 인 이상기체로 가정하고, 기체상수 R=1.987cal/mol·K 이다.) 21 산소 75vol% 와 메탄 25vol%로 구성된 혼합가스의 평균분자량은? 22 25℃에서 다음 반응의 정압에서와 정용에서의 반응열의 차이를 구하면 약 몇 cal 인가? 23 500mL 플라스크에 4g 의 N2O4 를 넣고 50℃에서 해리시켜 평형에 도달하였을 때 전압이 3.63atm 이었다. 이때 해리도는 약 몇 % 인가? (단, 반응식은 N2O4 → 2NO2 이다.) 24 임계상태에 관련된 설명으로 옳지 않은 것은?
25 어떤 공업용수 내에 칼슘(Ca)함량이 100ppm 이면 무게 백분율(wt%)로 환산하면 얼마인가? (단, 공업용수의 비중은 1.0 이다.) 26 보일러에 Na2SO3 를 가하여 공급수 중의 산소를 제거한다. 보일러 공급수 200톤에 산소함량 2ppm 일 때 이 산소를 제거하는데 필요한 Na2SO3 의 이론량은? 27 점도 0.05 poise를 kg/m·s로 환산하면? 28 30℃, 742mmHg에서 수증기로 포화된 H2 가스가 2300cm3 의 용기 속에 들어있다. 30℃, 742mmHg에서 순 H2 가스의 용적은 약 몇 cm3 인가? (단, 30℃에서 포화수증기압은 32mmHg이다.) 29 도관 내 흐름을 해석할 때 사용되는 베르누이식에 대한 설명으로 틀린 것은? 30 300kg 의 공기와 24kg 의 탄소가 반응기내에서 연소하고 있다. 연소하기 전 반응기내에 있는 산소는 약 몇 kmol 인가? 31 반경이 R 인 원형파이프를 통하여 비압축성 유체가 층류로 흐를 때의 속도분포는 다음 식과 같다. v 는 파이프 중심으로부터 벽 쪽으로의 수직거리 r 에서의 속도이며, Vmax 는 중심에서의 최대속도이다. 파이프 내에서 유체의 평균속도는 최대속도의 몇 배 인가? 32 전압이 1atm에서 n-헥산과 n-옥탄의 혼합물이 기-액 평형에 도달하였다. n-헥산과 n-옥탄의 순성분 증기압이 1025mmHg 와 173mmHg 이다. 라울의 법칙이 적용될 경우 n-헥산의 기상 평형 조성은 약 얼마인가? 33 상계점(plait point)에 대한 설명 중 틀린 것은? 34 FPS 단위로부터 레이놀즈수를 계산한 결과 1000 이었다. MKS 단위로 환산하여 레이놀즈수를 계산하면 그 값은 얼마로 예상할 수 있는가? 35 건조조작에서 임계함수율(critical moisture content)을 옳게 설명한 것은? 36 확산에 의한 물질전달현상을 나타낸 Fick 의 법칙처럼 전달속도, 구동력 및 저항사이의 관계식으로 일반화되는 점에서 유사성을 갖는 법칙은 다음 중 어느 것인가?
37 공극률(porosity)이 0.3 인 충전탑 내를 유체가 유효 속도(superficial velocity) 0.9m/s 로 흐르고 있을 때 충전탑내의 평균 속도는 몇 m/s 인가? 38 다음 중에서 Nusselt 수(NNu)를 나타내는 것은? (단, h 는 경막열전달계수, D 는 관의 직경, k 는 열전도도 이다.) 39 혼합에 영향을 주는 물리적 조건에 대한 설명으로 옳지 않은 것은? 40 원심 펌프의 장점에 대한 설명으로 가장 거리가 먼 것은? 41 PI제어기는 Bode diagram상에서 어떤 특징을 갖는가? (단, τI 는 PI제어기의 적분시간을 나타낸다.) 42 비례 제어기를 이용하는 어떤 폐루프 시스템의 특성방정식이 와 같이 주어진다. 다음 중 진동응답이 예상되는 경우는? 43 다음 중 0 이 아닌 잔류편차(offset)를 발생시키는 제어방식이며 최종값 도달시간을 가장 단축시킬 수 있는 것은? 44 어떤 1차계의 함수가 일 때 이 계의 전달함수의 시정수(times constant)는? 45 앞먹임 제어(feedforward control)의 특징으로 옳은 것은? 46 센서는 선형이 되도록 설계되는 것에 반하여, 제어밸브는 quick opening 혹은 equal percentage 등으로 비선형 형태로 제작되기도 한다. 다음 중 그 이유로 가장 타당한 것은? 47 일 때에 y(t), t ≥ 0 값은? 48 50℃에서 150℃ 범위의 온도를 측정하여 4mA에서 20mA의 신호로 변환해 주는 변환기(transducer)에서의 영점(zero)과 변화폭(span)은 각각 얼마인가?
49 탑상에서 고순도 제품을 생산하는 증류탑의 탑상 흐름의 조성을 온도로부터 추론(inferential) 제어하고자 한다. 이때 맨 위 단보다 몇 단 아래의 온도를 측정하는 경우가 있는데 다음 중 그 이유로 가장 타당한 것은? 50 단위 귀환(unit negative feedback)계의 개루프 전달함수가 이다. 이 제어계의 폐회로 전달함수의 특정방정식의 근은 얼마인가? 51 0~500℃ 범위의 온도를 4~20mA 로 전환하도록 스팬 조정이 되어 있던 온도센서에 맞추어 조율되었던 PID 제어기에 대하여, 0~250℃ 범위의 온도를 4~20mA 로 전환하도록 온도센서의 스팬을 재조정한 경우, 제어 성능을 유지하기 위하여 PID 제어기의 조율은 어떻게 바뀌어야 하는가? (단, PID 제어기의 피제어 변수는 4~20mA 전류이다.) 52 다음 중 공정제어의 목적과 가장 거리가 먼 것은? 53 전달함수가 인 공정의 계단입력 에 대한 응답형태는? 54 다음 공정에 P 제어기가 연결된 닫힌루프 제어계가 안정하려면 비례이득 Kc 의 범위는? (단, 나머지 요소의 전달함수는 1 이다.) 55 블록선도(Block diagram)가 다음과 같은 계의 전달함수를 구하면? 56 그래프의 함수와 그의 Laplace 변환된 형태의 함수가 옳게 되어 있는 항은? (단, U(t)는 단위계단함수(unit step function)이다.) 57 블록선도에서 전달함수 G(s) = C(s)/R(s)를 옳게 구한 것은? 58 복사에 의한 열전달 식은 q = kcAT4 으로 표현된다고 한다. 정상상태에서 T = Ts 일 때 이 식을 선형화 시키면? (단, k, c, A 는 상수 이다.) 59 전달함수 G(s)가 다음과 같은 1차계에서 입력 x(t) 가 단위충격(impulse)인 경우 출력 y(t)는? 60 안정한 2차계에 대한 공정응답 특성으로 옳은 것은?
73 분자량 1.0×104g/mol 인 고분자 100g 과 분자량 2.5×104g/mol 인 고분자 50g, 그리고 분자량 1.0×105g/mol 인 고분자 50g 이 혼합되어 있다. 이 고분자 물질의 수평균 분자량은? 74 수(水)처리와 관련된 보기의 설명 중 옳은 것으로만 나열한 것은? 75 석유화학공정에서 열분해와 비교한 접촉분해(catalytic cracking)에 대한 설명 중 옳지 않은 것은? 76 20% HNO3용액 1000kg을 55% 용액으로 농축하였다. 증발된 수분의 양은 얼마인가? 77 다음 중 염산의 생산과 가장 거리가 먼 것은? 78 순수 염화수소(HCl) 가스의 제법 중 흡착법에서 흡착제로 이용되지 않는 것은? 79 Na2CO3·10H2O 중에는 H2O 를 몇 % 함유하는가? 80 다음 화합물 중 산성이 가장 강한 것은? 81 반응장치 내에서 일어나는 열전달 현상과 관련된 설명으로 틀린 것은? 82 90mol%의 A 45mol/L 와 10mol% 의 불순물 B 5mol/L 와의 혼합물이 있다. A/B를 100/1 수준으로 품질을 유지하고자 한다. D 는 A 또는 B 와 다음과 반이 반응한다. 완전반응을 가정했을 때, 필요한 품질을 유지하기 위해서 얼마의 D를 첨가해야 하는가? 83 순수한 액체 A 의 분해반응이 25℃ 에서 아래와 같을 때, A 의 초기농도가 2mol/L 이고, 이 반응이 혼합반응기에서 S를 최대로 얻을 수 있는 조건하에서 진행되었다면 S 의 최대농도는? 84 어떤 반응에서 1/CA 을 시간 t 로 플롯하여 기울기 1인 직선을 얻었다. 이 반응의 속도식은?
85 비가역 직렬반응 A→R→S 에서 1단계는 2차반응, 2단계는 1차반응으로 진행되고 R이 원하는 제품일 경우 다음 설명 중 옳은 것은? 86 액상 반응이 다음과 같이 병렬 반응으로 진행될 때 R을 많이 얻고 S를 적게 얻으려면 A, B 의 농도는 어떻게 되어야 하는가? 87 밀도가 일정한 비가역 1차 반응 A Product 가 혼합흐름반응기(mixed flow reactor 또는 CSTR)에서 등온으로 진행될 때 정상사태 조건에서의 성능 방정식(performance equation)으로 옳은 것은? (단, τ 는 공간속도, k 는 속도상수, CA0 는 초기농도, XA 는 전화율, CAf 는 유출농도 이다.) 88 혼합반응기(CSTR)에서 균일액상반응 A→R, -rA = kCA2인 반응이 일어나 50% 의 전화율을 얻었다. 이때 이 반응기의 다른 조건은 변하지 않고 반응기 크기만 6배로 증가한다면 전화율은 얼마인가? 89 회분식 반응기에서 일어나는 다음과 같은 1차 가역 반응에서 A만으로 시작했을 때 A의 평형 전화율은 60%이다. 평형상수 k 는 얼마인가? 90 다음은 n차(n >0) 단일 반응에 대한 한 개의 혼합 및 플러그 흐름 반응기 성능을 비교 설명한 내용이다. 옳지 않은 것은? (단, Vm 은 혼합흐름반응기 부피, Vp 는 플러그흐름 반응기 부피를 나타낸다.) 91 일반적인 반응 A → B 에서 생성되는 물질 기준의 반응속도 표현을 옳게 나타낸 것은? (단, n 은 몰수, VR 은 반응기의 부피이다.) 92 회분식 반응기에서 0.5차 반응을 10min 동안 수행하니 75% 의 액체 반응물 A 가 생성물 R 로 전화되었다. 같은 조건에서 15min 간 반응을 시킨다면 전화율은 약 얼마인가? 93 부피 3.2L 인 혼합흐름 반응기에 기체 반응물 A 가 1L/s 로 주입되고 있다. 반응기에서는 A → 2P 의 반응이 일어나며 A 의 전화율은 60% 이다. 반응물의 평균 체류시간은? 94 회분식 반응기 내에서의 균일계 액상 1차 반응 A → R 과 관계가 없는 것은? 95 A + B → R 인 2차 반응에서 CA0 와 CB0 의 값이 서로 다를 때 반응속도상수 k를 얻기 위한 방법은? 96 단일상 이상(理想)반응기가 아닌 것은?
App Store Google Play
오늘학습 예시 이미지

시험에 합격하려면
복습을 제대로 해야 합니다.

오늘학습은 스스로 기억을 떠올리고 계획적으로 복습할 수 있도록 설계돼 있어요.
그것도, 가장 과학적인 방식으로요!

능동적 회상

능동적 회상
(Active Recall)

배운 내용을 단순 읽으며 반복하는 것이 아니라,
능동적으로 기억하고 있는지를
스스로 테스트하며
공부할 수 있는
학습 환경을 제공해 학습 효과를 높여요

간격 반복 학습

간격 반복 학습
(Spaced Repetition)

에빙하우스 망각곡선을 바탕으로
가장 최적의 시점에 복습을 제공하여
배운 내용이 잊히지 않도록 장기 기억화해요

Data 기반의
뇌과학적 복습 시스템

학습 결과 Data를 분석해, 문제별 최적화된
반복 학습량을
자동으로 분배해요.
학습에 소요되는 시간을 최소화하는
동시에
단기 기억을 장기 기억으로 전환해줘요.

36만 개 이상의
기출문제 무료 제공

공무원 및 약 300여종의 자격증 시험 기출문제
36만개
이상을 무료로 이용할 수 있어요.
여러 앱을 설치할 필요
없이, 오늘학습 하나로
모든 시험을 준비할 수 있어요.

다양한 문제 유형으로 만드는
나만의 단어장&문제집

기출 외에도 외워야 하는 내용은
객관식, 주관식, 카드, 빈칸
등 다양한 형식으로
직접 만들어 보세요. 내 학습 스타일에
맞게
나만의 단어장과 문제집을 만들 수 있어요.

시험별 체계적인
문제 관리

시험에 문제를 추가해 체계적으로
관리할 수 있어요.
주제나 단원별로
분류하고 싶다면,
시험에 챕터를 만들어
문제를 추가할 수도 있어요.

수십만 명이
오늘학습을 사랑합니다

앱 스토어 평점 4.9
구글 플레이 평점 4.8
누적 회원수 100,000+
지금 오늘학습을
시작해보세요
지금 시작하기
문제 선택