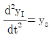
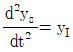
전달함수 G(s)의 단위계단(unit step) 입력에 대한 응답을 ys, 단위충격(nuit impulse) 입력에 대한 응답을 yI라 한다면 ys와 yI의 관계는?
지금 시작하기 →

・・・ 문제은행 화공기사(구)(2021년 1회) 53번

화공기사(구) 2021년 03월 53번

전달함수 G(s)의 단위계단(unit step) 입력에 대한 응답을 ys, 단위충격(nuit impulse) 입력에 대한 응답을 yI라 한다면 ys와 yI의 관계는?

1
2
3
4
단축키
이전 문제로 이동은 키를 누르고, 다음 문제로 이동은 키를 누르세요
이전 문제 , 다음 문제
문제(100)
1 온도와 증기압의 관계를 나타내는 식은? 2 460K, 15 atm n-Butane 기체의 퓨가시티 계수는? (단, n-Butane의 환산온도(Tr)는 1.08, 환산압력(Pr)은 0.40, 제1, 2 비리얼 계수는 각각 -0.29, 0.014, 이심인자(Acentric factor; ω)는 0.193이다.) 3 두 성분이 완전 혼합되어 하나의 이상용액을 형성할 때 i성분의 화학포텐션(μi)은 아래와 같이 표현된다. 동일 온도와 압력 하에서 I성분의 순수한 화학포텐(μpurei)의 표현으로 옳은 것은? (단, xi는 i성분의 몰분율, μ(T,P)는 해당 온도와 압력에서의 화학포텐셜을 의미한다.) 4 Cp가 3.5R(R; ideal gas constant)인 1몰의 이상기체가 10bar, 0.005 m3에서 1bar로 가역정용과정을 거쳐 변화할 때, 내부에너지 변화(△U; J)와 엔탈피 변화(△H; J)는? 5 100000kW를 생산하는 발전소에서 600K에서 스팀을 생산하여 발전기를 작동시킨 후 잔열을 300K에서 방출한다. 이 발전소의 발전효율이 이론적 최대효율의 60%라고 할 때, 300K에 방출하는 열량(kW)은? 6 주위(Surrounding)가 매우 큰 전체 계에서 일손실(lost work)의 열역학적 표현으로 옳은 것은? (단, 하첨자 total, sys, sur, 0는 각각 전체, 계, 주위, 초기를 의미한다.) 7 상태함수(State function)가 아닌 것은? 8 화학반응의 평형상수(K)에 관한 내용 중 틀린 것은? (단, ai, vi는 각각 I성분의 활동도와 양론수이며 △G0는 표준 깁스(Gibbs) 자유에너지 변화량이다.) 9 압력이 매우 작은 상태의 계에서 제2 비리얼 계수에 관한 식으로 옳은 것은? (단, B는 제2비리얼계수, Z는 압축인자를 의미한다.) 10 어떤 실제기체의 부피를 이상기체로 가정하여 계산하였을 때는 100cm3/mol이고 잔류부피가 10cm3/mol일 때, 실제기체의 압축인자는? 11 어떤 가역 열기관이 300℃에서 400kcal의 열을 흡수하여 일을 하고 50℃에서 열을 방출한다. 이 때 낮은 열원의 엔트로피 변화량(kcal/K)의 절대값은? 12 SI단위계의 유도단위와 차원의 연결이 틀린 것은? (단, 차원의 표기법은 시간: t, 길이: L, 질량: M, 온도: T, 전류: I이다.)
13 0℃, 1 atm 이상기체 1 mol을 10 atm으로 가역 등온 압축할 때, 계가 받은 일(cal)은? (단, Cp와 CV는 각각 5, 3 cal/mol·K이다.) 14 어떤 기체 50kg을 300K의 온도에서 부피가 0.15m3인 용기에 저장할 때 필요한 압력(bar)은? (단, 기체의 분자량은 30g/mol이며, 300K에서 비리얼 계수는 -136.6cm3/mol이다.) 15 질량보존의 법칙이 성립하는 정상상태의 흐름과정을 표시하는 연속방정식은? (단, A는 단면적, U는 속도, ρ는 유체 밀도, V는 유체 비부피를 의미한다.) 16 부피 팽창률(β)과 등온 압축률(k)의 비(k/β)를 옳게 표시한 것은? 17 액상과 기상이 서로 평형이 되어 있을 때에 대한 설명으로 틀린 것은? 18 일정한 온도와 압력의 닫힌계가 평형상태에 도달하는 조건에 해당하는 것은? 19 콘크스의 불완전연소로 인해 생성된 500℃ 건조가스의 자유도는? (단, 연소를 위해 공급된 공기는 질소와 산소만을 포함하며, 건조가스는 미연소코크스, 과잉공급 산소가 포함되어있으며, 건조가스의 추가 연소 및 질소산화물의 생성은 없다고 가정한다.) 20 증기 압축식 냉동 사이클의 냉매 순환 경로는? 21 어떤 기체의 열용량 관계식이 아래와 같을 때, 영국표준단위계로 환산하였을 때의 관계식으로 옳은 것은? (단, 열량단위는 Btu, 질량단위는 pound, 온도단위는 Fahrenheit을 사용한다.) 22 82℃ 벤젠 20mol%, 톨루엔 80mol% 혼합용액을 증발시켰을 때 증기 중 벤젠의 몰분율은? (단, 벤젠과 톨루엔의 혼합용액은 이상용액의 거동을 보인다고 가정하고, 82℃에서 벤젠과 톨루엔의 포화증기압은 각각 811, 314mmHg이다.) 23 이상기체혼합물일 대 참인 등식은? 24 염화칼슘의 용해도 데이터가 아래와 같을 때, 80℃ 염화칼슘 포화용액 70g을 20℃로 냉각시켰을 때 석출되는 염화칼슘 결정의 무게(g)는?
25 세기 성질(intensive property)이 아닌 것은? 26 분자량이 103인 화합물을 분석해서 아래와 같은 데이터를 얻었다. 이 화합물의 분자식은? 27 25℃에서 71g의 Na2SO4를 증류수 200g에 녹여 만든 용액의 증기압(mmHg)은? (단, Na2SO4의 분자량은 142g/mol이고, 25℃ 순수한 물의 증기압은 25mmHg이다.) 28 CO2 25vol%와 NH3 75vol%의 기체 혼합물 중 NH3의 일부가 흡수탑에서 산에 흡수되어 제거된다. 흡수탑을 떠나는 기체 중 NH3 함량이 37.5vol%일 때, NH3의 제거율은? (단, CO2의 양은변하지 않으며 산 용액은 증발하지 않는다고 가정한다.) 29 1mol당 0.1mol의 증기가 있는 습윤공기의 절대습도는? 30 70℉, 750 mmHg 질소 79vol%, 산소 21vol%로 이루어진 공기의 밀도(g/L)는? 31 충전탑의 높이가 2m이고 이론 단수가 5일 때, 이론단의 상당높이(HETP)는? 32 FPS 단위로부터 레이놀즈수를 계산한 결과가 3522이었을 때, MKS 단위로 환산하여 구한 레이놀즈수는? (단, 1ft는 3.2808m, 1kg은 2.20462lb이다.) 33 고체면에 접하는 유체의 흐름에 있어서 경계층이 분리되고 웨이트(wake)가 형성되어 발생하는 마찰현상을 나타내는 용어는? 34 교반 임펠러에 있어서 Froude number(NFr)는? (단, n는 회전속도, Da는 임펠러의 직경, ρ는 액체의 밀도, μ는 액체의 점도이다.) 35 관(pipe, tube)의 치수에 대한 설명 중 틀린 것은? 36 침수식 방법에 의한 수직관식 증발관이 수평관식 증발관보다 좋은 이유가 아닌 것은?
37 3층의 벽돌로 쌓은 노벽의 두께가 내부부터 차례로 100, 150, 200mm, 열전도도는 0.1, 0.05, 1.0kcal/m·h·℃이다. 내부온도가 800℃, 외벽의 온도는 40℃일 때, 외벽과 중간벽이 만나는 곳의 온도(℃)는? 38 액액 추출의 추제 선택 시 고려해야 할 사항으로 가장 거리가 먼 것은? 39 벤젠 40mol%와 톨루엔 60mol%의 혼합물을 100kmol/h의 속도로 정류탑에 비점의 액체상태로 공급하여 증류한다. 유출액 중의 벤젠 농도는 95mol%, 관출액 중의 농도는 5mol% 일 때, 최소 환류비는? (단, 벤젠과 톨루엔의 순성분 증기압은 각각 1016, 405mmHg이다.) 40 슬러지나 용액을 미세한 입자의 형태로 가열하여 기체 중에 분산시켜 건조시키는 건조기는? 41 제어시스템을 구성하는 주요 요소로 가장 거리가 먼 것은? 42 열교환기에서 외부교란 변수로 볼 수 없는 것은? 43 G(s)=10/(s+1)2인 공정에 대한 설명 중 틀린 것은? 44 근의 궤적(root locus)은 특성방정식에서 제어기의 비례이득 Kc가 0으로부터 ∞까지 변할 때, 이 Kc에 대응하는 특성방정식의 무엇을 s 평면상에 점철하는 것인가? 45 폐루프 특성방정식이 다음과 같을 때 계가 안정하기 위한 Kc의 필요충분조건은? 46 다음 식으로 나타낼 수 있는 이론은? 47 주파수 응답에서 위상 앞섬(phase lesad)나타내는 제어기는? 48 동특성이 매우 빠르고 측정 잡음이 큰 유량루프의 제어에 관련한 내용 중 틀린 것은?
49 제어계의 응답 중 편차(offset)의 의미 가장 옳게 설명한 것은? 50 그림과 같은 단면적이 3m2인 액위계(liquid level system)에서 qo=8√h m3/min이고 평균 조작수위 ()는 4m일 때, 시간상수(time constant; min)는? 51 다음 블럭선도에서 C/R의 전달함수는? 52 저장탱크에서 나가는 유량(FO)을 일정하게 하기 위한 아래 3개의 P&ID 공정도의 제어방식을 옳게 설명한 것은? 53 전달함수 G(s)의 단위계단(unit step) 입력에 대한 응답을 ys, 단위충격(nuit impulse) 입력에 대한 응답을 yI라 한다면 ys와 yI의 관계는? 54 함수 e-bt의 라플라스 변환 함수는? 55 공정제어의 목적과 가장 거리가 먼 것은? 56 시간지연(delay)이 포함되고 공정이득이 1인 1차 공정에 비례제어기가 연결되어 있다. 교차주파수(crossover frequency)에서의 각속도(ω)가 0.5rad/min일 때이득여유가 1.7이 되려면 비례제어 상수(Kc)는? (단, 시간상수는 2분이다.) 57 Error(e)에 단위계단 변화 (unit step change)가 있었을 때 다음과 같은 제어기 출력응답(response; P)을 보이는 제어기는? 58 어떤 액위(liquid level) 탱크에서 유입되는 유량(m3/min)과 탱크의 액위(h) 간의 관계는 다음과 같은 전달함수로 표시된다. 탱크로 유입되는 유량에 크기 1인 계단변화가 도입되었을 때 정상상태에서 h의 변화폭은? 59 의 라플라스 역변환은? 60 2차계의 주파수 응답에서 정규화된 진폭비(AR/k)의 최대값에 대한 설명으로 옳은 것은?
73 다음의 반응식으로 질산이 제조될 때 전체 생성물 중 질산의 질량%는? 74 환경친화적인 생분해성 고분자가 아닌 것은? 75 아세틸렌과 반응하여 염화비닐을 만드는 물질은? 76 암모니아 합성공정에 있어서 촉매 1m3 당 1시간에 통과하는 원료가스의 m3 수를 나타내는 용어는? (단, 가스의 부피는 0℃, 1 atm 상태로 환산한다.) 77 폴리아미드계인 nylon 66이 이용되는 분야에 대한 설명으로 가장 거리가 먼 것은? 78 아미노화 반응 공정에 대한 설명 중 틀린 것은? 79 가수분해에 관한 설명 중 틀린 것은? 80 염산 제조에 있어서 단위 시간에 흡수되는 HCl 가스량(G)을 나타내는 식은? (단, K는 HCl가스 흡수계수, A는 기상-액상의 접촉면적, △P는 기상-액상과의 HCl 분압차이다.) 81 연속반응 A → R → S → T → U에서 각 성분의 농도를 시간의 함수로 도시(plot)할 때 다음 설명 중 틀린 것은? (단, 초기에는 A만 존재한다.) 82 기체반응물 A(AA0= 1mol/L)를 혼합흐름 반응기(V=0.1L)에 넣어서 반응시킨다. 반응식이 2A → R이고, 실험결과가 다음 표와 같을 때, 이 반응의 속도식(-rA; mol/Lㆍh)은? 83 부반응아 있는 어떤 액상 반응이 아래와 같을 때, 부반응을 적게 하는 반응기 구조는? (단, k1=3k2, rR=k1CA2CB, rU=k2CACB3이고, 부반응은 S와 U를 생성하는 반응이다.) 84 병렬반응하는 A의 속도상수와 반응식이 아래와 같을 때, 생성물 분포비율(rR/rS)은? (단, 두 반응이 차수는 동일하다.)
85 다음과 같이 반응물과 생성물의 에너지상태가 주어졌을 때 반응열 관계로서 옳은 것은? 86 반응 물질의 농도를 낮추는 방법은? 87 균일계 1차 액상반응이 회분반응기에서 일어날 때 전화율과 반응시간의 관계를 옳게 나타낸 것은? 88 액상 1차 직렬반응이 관형반응기(PFD)와 혼합반응기(CSTR)에서 일어날 때 R성분의 농도가 최대가 되는 PFR의공간시간(τP)과 CSTR의공간시간(τC)에 관한 식으로 옳은 것은? 89 A → R 반응이 회분식 반응기에서 일어날 때 1시간 후의 전화율은? (단, -rA=3CA0.5mol/Lㆍh, CA0=1 mol/L이다.) 90 1차 비가역 액상반응을 관형반응기에서 반응시켰을 때 공간속도가 6000h-1이었으며 전화율은 40%였다. 같은 반응기에서 전화율이 90%가 되게 하는 공간속도(h-1)는? 91 300J/mol의 활성화 에너지를 갖는 반응의 650K 반응 속도는 500K에서의 반응 속도보다 몇 배 빨라지는가? 92 다음은 Arrhenius 법칙에 의해 도시(plot)한 활성화 에너지(Activation energy)에 대한 그래프이다. 이 그래프에 대한 설명으로 옳은 것은? 93 반응기의 체적이 2000L인 혼합반응기에서 원료가 1000mol/min씩 공급되어서 80%가 전화될 때, 원료 A의 소멸속도(mol/Lㆍmin)는? 94 화학반응의 온도의 존성을 설명하는 것과 관계가 가장 먼 것은? 95 순환반응기에서 반응기 출구 전화율이 입구 전화율의 2배일 때 순환비는? 96 유효계수(η)에 대한 설명 중 틀린 것은? (단, h는 thiele modulus이다.)
App Store Google Play
오늘학습 예시 이미지

시험에 합격하려면
복습을 제대로 해야 합니다.

오늘학습은 스스로 기억을 떠올리고 계획적으로 복습할 수 있도록 설계돼 있어요.
그것도, 가장 과학적인 방식으로요!

능동적 회상

능동적 회상
(Active Recall)

배운 내용을 단순 읽으며 반복하는 것이 아니라,
능동적으로 기억하고 있는지를
스스로 테스트하며
공부할 수 있는
학습 환경을 제공해 학습 효과를 높여요

간격 반복 학습

간격 반복 학습
(Spaced Repetition)

에빙하우스 망각곡선을 바탕으로
가장 최적의 시점에 복습을 제공하여
배운 내용이 잊히지 않도록 장기 기억화해요

Data 기반의
뇌과학적 복습 시스템

학습 결과 Data를 분석해, 문제별 최적화된
반복 학습량을
자동으로 분배해요.
학습에 소요되는 시간을 최소화하는
동시에
단기 기억을 장기 기억으로 전환해줘요.

36만 개 이상의
기출문제 무료 제공

공무원 및 약 300여종의 자격증 시험 기출문제
36만개
이상을 무료로 이용할 수 있어요.
여러 앱을 설치할 필요
없이, 오늘학습 하나로
모든 시험을 준비할 수 있어요.

다양한 문제 유형으로 만드는
나만의 단어장&문제집

기출 외에도 외워야 하는 내용은
객관식, 주관식, 카드, 빈칸
등 다양한 형식으로
직접 만들어 보세요. 내 학습 스타일에
맞게
나만의 단어장과 문제집을 만들 수 있어요.

시험별 체계적인
문제 관리

시험에 문제를 추가해 체계적으로
관리할 수 있어요.
주제나 단원별로
분류하고 싶다면,
시험에 챕터를 만들어
문제를 추가할 수도 있어요.

수십만 명이
오늘학습을 사랑합니다

앱 스토어 평점 4.9
구글 플레이 평점 4.8
누적 회원수 100,000+
지금 오늘학습을
시작해보세요
지금 시작하기
문제 선택