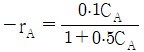
효소발효반응(A→R)이 플러그흐름반응기에서 일어날 때, 95%의 전화율을 얻기 위한 반응기의 부피(m3)는? (단, A의 초기 농도(CA0) : 2mol/L, 유량(ν) : 25L/min 이며, 효소발효반응의 속도식은 [mol/L·min] 이다.)
지금 시작하기 →

・・・ 문제은행 화공기사(구)(2020년 3회) 91번

화공기사(구) 2020년 09월 91번

효소발효반응(A→R)이 플러그흐름반응기에서 일어날 때, 95%의 전화율을 얻기 위한 반응기의 부피(m3)는? (단, A의 초기 농도(CA0) : 2mol/L, 유량(ν) : 25L/min 이며, 효소발효반응의 속도식은 [mol/L·min] 이다.)

1
1
2
2
3
3
4
4
단축키
이전 문제로 이동은 키를 누르고, 다음 문제로 이동은 키를 누르세요
이전 문제 , 다음 문제
문제(100)
1 2성분계 용액(binary solution)이 그 증기와 평형상태 하에 놓여있을 경우 그 계 안에서 독립적인 반응이 1개 있을 때, 평형 상태를 결정하는데 필요한 독립변수의 수는? 2 줄-톰슨(Joule-Thomson) 팽창이 해당되는 열역학적 과정은? 3 1기압, 103℃의 수증기가 103℃의 물(액체)로 변하는 과정이 있다. 이 과정에서의 깁스(Gibbs)자유에너지와 엔트로피변화량의 부호가 올바르게 짝지워진 것은? 4 비리얼 방정식(Virial equation)이 Z = 1 + BP 로 표시되는 어떤 기체를 가역적으로 등온압축 시킬 때 필요한 일의 양에 대한 설명으로 옳은 것은? (단, Z = PV/RT, B는 비리얼 계수를 나타낸다.) 5 어떤 평형계의 성분의 수는 1, 상의 수는 3이다. 그 계의 자유도는? (단, 반응이 수반되지 않는 계이다.) 6 다음 맥스웰(Maxwell) 관계식의 부호가 옳게 표시된 것은? 7 비리얼 계수에 대한 다음 설명 중 옳은 것을 모두 나열한 것은? 8 다음의 P-H선도에서 H2 - H1값이 의미하는 것은? 9 열의 일당량을 옳게 나타낸 것은? 10 100℃에서 증기압이 각각 1, 2atm인 두 물질이 0.5mol씩 들어 있는 기상혼합물의 이슬점에서의 전압력(atm)은? (단, 두 물질은 모두 Raoult의 법칙을 따른다고 가정한다.) 11 외부와 단열된 탱크 내에 0℃, 1기압의 산소와 질소가 칸막이에 의해 분리되어 있다. 초기 몰수가 각각 1mol에서 칸막이를 서시히 제거하여 산소와 질소가 확산되어 평형에 도달하였다. 이상용액인 경우 계의 성질이 변하는 것은? (단, 정용 열용량(CV)은 일정하다.) 12 이상적인 기체 터빈 동력장치의 압력비는 6이고 압축기로 들어가는 온도는 27℃이며 터빈의 최대허용 온도는 816℃일 때, 가역조작으로 진행되는 이 장치의 효율은? (단, 비열비는 1.4이다.)
13 다음 에너지 보존식이 성립하기 위한 조건이 아닌 것은? 14 아래와 같은 반응이 일어나는 계에서 초기에 CH4 2mol, H2O 1mol, CO 1mol, H2 4mol이 있었다고 한다. 평형 몰분율 yi를 반응좌표 ε의 함수로 표시하려고 할 때 총몰수(∑ni)를 ε의 함수로 옳게 나타낸 것은? 15 25℃에서 프로판 기체의 표준연소열(J/mol)은? (단, 프로판, 이산화탄소, 물(L)의 표준 생성 엔탈피는 각각, -104680, -393509, -285830 J/mol 이다.) 16 열과 일 사이의 에너지 보존의 원리를 표현한 것은? 17 Carnot 냉동기가 –5℃의 저열원에서 10000 kcal/h의 열량을 흡수하여 20℃의 고열원에서 방출할 때 버려야할 최소 열량(kcal/h)은? 18 역학적으로 가역인 비흐름과정에 대하여 이상기체의 폴리트로픽 과정(Polytripic process)은 PVn이 일정하게 유지되는 과정이다. 이 때 n값이 열용량비(또는 비열비)라면 어떤 과정인가? 19 초임계 유체에 대한 설명으로 틀린 것은? 20 2성분계 공비혼합물에서 성분 A, B의 활동도 계수를 γA와 γB, 포화증기압을 PA 및 PB라 하고, 이 계의 전압을 Pt라 할 때 수정된 Raoult의 법칙을 적용하여 γB를 옳게 나타낸 것은? (단, B성분의 기상 및 액상에서의 몰분율은 yB와 xB이며, 퓨캐시티계수는 1 이라 가정한다.) 21 이산화탄소 20vol%와 암모니아 80vol%의 기체혼합물이 흡수탑에 들어가서 암모니아의 일부가 산에 흡수되어 탑하부로 떠나고, 기체 혼합물은 탑상부로 떠난다. 상부기체혼합물의 암모니아 체적분율이 35%일 때 암모니아 제거율(vol%)는? (단, 산용액의 증발이 무시되고, 이산화탄소의 양은 일정하다.) 22 깁스의 상률법칙에 대한 설명 중 틀린 것은? 23 어떤 공기의 조성이 N2 79mol%, O2 21mol%일 때, N2의 질량분율은? 24 탄소 70mol%, 수소 15mol% 및 기타 회분 등의 연소할 수 없는 물질로 구성된 석탄을 연소하여 얻은 연소가스의 조성이 CO2 15mol%, O2 4mol% 및 N2 81mol%일 때 과잉공기의 백분율은? (단, 공급되는 공기의 조성은 N2 79mol%, O2 21mol% 이다.)
25 25℃에서 용액 3L에 500g의 NaCl을 포함한 수용액에서 NaCl의 몰분율은? (단, 25℃ 수용액의 밀도는 1.15g/cm3이다.) 26 20 wt% NaCl 수용액을 mol%로 옳게 나타낸 것은? 27 0℃, 1atm에서 22.4m3의 혼합가스에 3000kcal의 열을 정압하에서 가열하였을 때, 가열 후 가스의 온도(℃)는? (단, 혼합가스는 이상기체로 가정하고, 혼합가스의 평균분자 열용량은 4.5kcal/kmol·℃이다.) 28 100℃에서 내부 에너지 100kcal/kg을 가진 공기 2kg이 밀폐된 용기 속에 있다. 이 공기를 가열하여 내부 에너지가 130kcal/kg이 되었을 때 공기에 전달되는 열량(kcal)은? 29 다음 중 증기압을 추산(推算)하는 식은? 30 특정 성분의 질량분율이 XA인 수용액 L[kg]과 XB인 수용액 N[kg]을 혼합하여 XM의 질량분율을 갖는 수용액을 얻으려고 한다. L과 N의 비를 옳게 나타낸 것은? 31 상접점(plait point)에 대한 설명으로 옳은 것은? 32 기체흡수에 대한 설명 중 옳은 것은? 33 20℃, 1atm 공기 중 수증기 분압이 20mmHg일 때, 이 공기의 습도(kg수증기/kg건조공기)는? (단, 공기의 분자량은 30g/mol로 한다.) 34 같은 용적, 같은 압력하에서 있는 같은 온도의 두 이상기체 A와 B의 몰수 관계로 옳은 것은? (단, 분자량은 A>B이다.) 35 다중효용관에 대한 설명으로 틀린 것은? 36 2중효용간 증발기에서 비점상승이 무시되는 액체를 농축하고 있다. 제1증발관에 들어가는 수증기의 온도는 110℃이고 제2증발관에서 용액 비점은 82℃이다. 제1, 2증발관의 총괄열전달계수는 각각 300, 100W/m2·℃일 경우 제1증발관 액체의 비점(℃)은?
49 전달함수의 극(pole)과 영(zero)에 관한 설명 중 옳지 않은 것은? 50 사람이 원하는 속도, 원하는 방향으로 자동차를 운전할대 일어나는 상황이 공정제어 시스템과 비교될 때 연결이 잘못된 것은? 51 제어계가 안정하려면 특성방정식의 모든 근이 S평면상의 어느 영역에 있어야 하는가? 52 되먹임 제어(feedback control)가 가장 용이한 공정은? 53 전달함수가 인 2차계의 단위계단응답은? 54 폐회로의 응답이 다음 식과 같이 주어진 제어계의 설정점(set point)에 단위계단변화(unit step change)가 일어났을 때, 잔류편차(offset)는? (단, y(s) : 출력, R(s) : 설정점이다.) 55 어떤 공정의 전달함수가 G(s)이고 G(2i) = -1 – i 일때, 공정입력으로 u(t) = 2sin(2t)를 입력하면 시간이 많이 지난 후에 y(t)로 옳은 것은?(오류 신고가 접수된 문제입니다. 반드시 정답과 해설을 확인하시기 바랍니다.) 56 연속 입출력 흐름과 내부 전기 가열기가 있는 저장조의 온도를 설정값으로 유지하기 위해 들어오는 입력흐름의 유량과 내부 가열기에 공급 전력을 조작하여 출력흐름의 온도와 유량을 제어하고자 하는 시스템의 분류로 적절한 것은? 57 다음과 같은 보드 선도(Bode plot)로 표시되는 제어기는? 58 함수 f(t)(t≧0)의 라플라스 변환(Laplace transtorm)을 F(s)라 할 때, 다음 설명 중 틀린 것은? 59 Routh array에 의한 안정성 판별법 중 옳지 않은 것은? 60 PID 제어기의 조율방법에 대한 설명으로 가장 올바른 것은?
73 반도체에서 Si의 건식식각에 사용하는 기체가 아닌 것은? 74 Friedel – Crafts 반응에 사용하지 않는 것은? 75 석유 정제공정에서 사용되는 증류법 중 중질유의 비점이 강하되어 가장 낮은 온도에서 고비점 유분을 유출시키는 증류법은? 76 인산 제조법 중 건식법에 대한 설명으로 틀린 것은? 77 접촉식 황산 제조 공정에서 이산화황이 산화되어 삼산화황으로 전환하여 평형상태에 도달한다. 삼산화황 1kmol을 생산하기 위해 필요한 공기의 최소량(Sm3)은? 78 모노글리세라이드에 대한 설명으로 가장 옳은 것은? 79 암모니아와 산소를 이용하여 질산을 합성할 때, 생성되는 질산 용액의 농도(wt%)는? 80 다음 중 칼륨비료의 원료가 아닌 것은? 81 다음 그림은 이상적 반응기의 설계 방정식의 반응시간을 결정하는 그림이다. 회분 반응기의 반응시간에 해당하는 면적으로 옳은 것은? (단, 그림에서 점 D의 CA 값은 반응 끝 시간의 값을 나타낸다.) 82 자동촉매반응에서 낮은 전화율의 생성물을 원할 때 옳은 것은? 83 플러그흐름반응기에서 0차 반응(A→R)이 반응속도가 10mol/L·h 로 반응하고 있을 때, 요구되는 반응기의 부피(L)는? (단, 반응물의 초기공급속도 : 1000 mol/h, 반응물의 초기농도 : 10 mol/L, 반응물의 출구농도 : 5mol/L 이다.) 84 R이 목적생산물인 반응( )의 활성화 에너지가 E1<E2일 경우, 반응에 대한 설명으로 옳은 것은?
85 CH3CHO 증기를 정용 회분식반응기에서 518℃로 열분해한 결과 반감기는 초기압력이 363 mmHg일 때 410s, 169 mmHg일 때 880s 이였다면, 이 반응의 반응차수는? 86 반응 전환율을 온도에 대하여 나타낸 직교좌표에서 반응기에 열을 가하면 기울기는 다열과정보다 어떻게 되는가? 87 메탄의 열분해반응(CH4 → 2H2 + C(s))의 활성화 에너지는 7500 cal/mol이다. 위의 열분해반응이 546℃에서 일어날 때 273℃ 보다 몇 배 빠른가? 88 기체반응물 A가 2L/s의 속도로 부피 1L인 반응기에 유입될 때, 공간시간(s)은? (단, 반응은 A → 3B 이며, 전화율(X)은 50% 이다.) 89 어떤 반응을 '플러그흐름반응기→혼합흐름반응기→플러그흐름반응기'의 순으로 직렬 연결시켜 반응하고자 할 때 반응기 성능을 나타낸 것으로 옳은 것은? 90 A의 3가지 병렬반응이 아래와 같을 때, S의 수율(S/A)을 최대로 하기 위한 조치로 옳은 것은? (단, 각각의 반응속도상수는 동일하다.) 91 효소발효반응(A→R)이 플러그흐름반응기에서 일어날 때, 95%의 전화율을 얻기 위한 반응기의 부피(m3)는? (단, A의 초기 농도(CA0) : 2mol/L, 유량(ν) : 25L/min 이며, 효소발효반응의 속도식은 [mol/L·min] 이다.) 92 물리적 흡착에 대한 설명으로 가장 거리가 먼 것은? 93 플러그흐름반응기에서의 반응이 아래와 같을 때, 반응시간에 따른 CB의 관계식으로 옳은 것은? (단, 반응초기에는 A만 존재하며, 각각의 기호는 CA0 : A의 초기농도, t : 시간, k : 속도상수이며, k2 = k1 + k3을 만족한다.) 94 어떤 반응의 속도상수가 25℃에서 3.46×10-5s-1이며 65℃에서는 4.91×10-3s-1 이였다면, 이 반응의 활성화 에너지(kcal/mol)는? 95 반응기로 A와 C 기체 5:5 혼합물이 공급되어 A→4B 기상반응이 일어날 때, 부피팽창계수 εA는? 96 성분 A의 비가역 반응에 대한 혼합흐름반응기의 설계식으로 옳은 것은? (단, NA : A 성분의 몰수, V : 반응기 부피, t : 시간, FA0 : A의 초기유입유량, FA : A의 출구 몰유량, rA : 반응속도를 의미한다.)
App Store Google Play
오늘학습 예시 이미지

시험에 합격하려면
복습을 제대로 해야 합니다.

오늘학습은 스스로 기억을 떠올리고 계획적으로 복습할 수 있도록 설계돼 있어요.
그것도, 가장 과학적인 방식으로요!

능동적 회상

능동적 회상
(Active Recall)

배운 내용을 단순 읽으며 반복하는 것이 아니라,
능동적으로 기억하고 있는지를
스스로 테스트하며
공부할 수 있는
학습 환경을 제공해 학습 효과를 높여요

간격 반복 학습

간격 반복 학습
(Spaced Repetition)

에빙하우스 망각곡선을 바탕으로
가장 최적의 시점에 복습을 제공하여
배운 내용이 잊히지 않도록 장기 기억화해요

Data 기반의
뇌과학적 복습 시스템

학습 결과 Data를 분석해, 문제별 최적화된
반복 학습량을
자동으로 분배해요.
학습에 소요되는 시간을 최소화하는
동시에
단기 기억을 장기 기억으로 전환해줘요.

36만 개 이상의
기출문제 무료 제공

공무원 및 약 300여종의 자격증 시험 기출문제
36만개
이상을 무료로 이용할 수 있어요.
여러 앱을 설치할 필요
없이, 오늘학습 하나로
모든 시험을 준비할 수 있어요.

다양한 문제 유형으로 만드는
나만의 단어장&문제집

기출 외에도 외워야 하는 내용은
객관식, 주관식, 카드, 빈칸
등 다양한 형식으로
직접 만들어 보세요. 내 학습 스타일에
맞게
나만의 단어장과 문제집을 만들 수 있어요.

시험별 체계적인
문제 관리

시험에 문제를 추가해 체계적으로
관리할 수 있어요.
주제나 단원별로
분류하고 싶다면,
시험에 챕터를 만들어
문제를 추가할 수도 있어요.

수십만 명이
오늘학습을 사랑합니다

앱 스토어 평점 4.9
구글 플레이 평점 4.8
누적 회원수 100,000+
지금 오늘학습을
시작해보세요
지금 시작하기
문제 선택