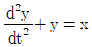
물리적으로 실현 불가능한 계는? (단, x는 입력변수, y는 출력변수이고 θ>0이다.)
지금 시작하기 →

・・・ 문제은행 화공기사(구)(2021년 3회) 51번

화공기사(구) 2021년 08월 51번

물리적으로 실현 불가능한 계는? (단, x는 입력변수, y는 출력변수이고 θ>0이다.)

1
2
3
4
단축키
이전 문제로 이동은 키를 누르고, 다음 문제로 이동은 키를 누르세요
이전 문제 , 다음 문제
문제(100)
1 닫힌계에서 엔탈피에 대한 설명 중 잘못된 것은? (단, H는 엔탈피, U는 내부에너지, P는 압력, T는 온도, V는 부피이다.) 2 27°C, 1atm의 질소 14g을 일정 체적에서 압력이 2배가 되도록 가역적으로 가열하였을 때 엔트로피 변화(△S; cal/K)는? (단, 질소를 이상기체라 가정하고 Cp는 7cal/mol·K이다.) 3 100atm, 40°C의 기체가 조름공정으로 1atm까지 급격하게 팽창하였을 때, 이 기체의 온도(K)는? (단, Joule-Thomson coefficient(μ; K/atm)는 다음 식으로 표시된다고 한다.) 4 압축 또는 팽창에 대해 가장 올바르게 표현한 내용은? (단, 하첨자 S는 등엔트로피를 의미한다.) 5 엔트로피에 관한 설명 중 틀린 것은? 6 과잉깁스에너지 모델 중에서 국부조성 (local composition) 개념에 기초한 모델이 아닌 것은? 7 두 절대온도 T1, T2(T1<T2)사이에서 운전하는 엔진의 효율에 관한 설명 중 틀린 것은? 8 평형상수에 대한 편도함수가 로 표시되는 화학반응에 대한 설명으로 옳은 것은? 9 과잉깁스에너지(GE)가 아래와 같이 표시된다면 활동도계수(γ)에 대한 표현으로 옳은 것은? (단, R은 이상기체상수, T는 온도. B, C는 상수, χ는 액상 몰분율, 하첨자는 성분 1과 2에 대한 값임을 의미한다.) 10 세기성질(intensive property)이 아닌 것은? 11 액체로부터 증기로 바뀌는 정압 경로를 밟는 순수한 물질에 대한 깁스 자유에너지(G)와 절대온도(T)의 그래프를 옳게 표시된 것은? 12 어떤 실제기체의 실제상태에서 가지는 열역학적 특성치와 이상상태에서 가지는 열역학적 특성치의 차이를 나타내는 용어는?
13 240kPa에서 어떤 액체의 상태량이 Vr는 0.00177m3/kg, Vg는 0.105m3/kg, Hr는 181kJ/kg, Hg는 496kJ/kg일 때, 이 압력에서의 Ufg(kJ/kg)는? (단, V는 비체적, U는 내부에너지, H는 엔탈피, 하첨자 f는 포화액, g는 건포화증기를 나타내고 Ufg는 Ug - Ur를 의미한다.) 14 역 카르노사이클에 대한 그래프이다. 이 사이클의 성능계수를 표시한 것으로 옳은 것은? (단, T1에서 열이 방출되고 T2에서 열이 흡수된다.) 15 액상반응의 평형상수(K)를 옳게 나타낸 것은? (단, P는 압력, vi는 성분 i의 양론 수(stoichiometric number), R은 이상기체상수, T는 온도, xi는 성분 i의 액상 몰분률, yi는 성분 i의 기상 몰분률, 는 표준상태에서의 순수한 액체 i의 퓨개시티, 는 용액 중 성분 i의 퓨개시티이다.) 16 실제기체가 이상기체상태에 가장 가까울 때의 압력, 온도 조건은? 17 열역학적 성질에 대한 설명 중 옳지 않은 것은? 18 1atm, 90°C, 2성분계(벤젠-톨루엔) 기액평형에서 액상 벤젠의 조성은? (단, 벤젠, 톨루엔의 포화증기압은 각각 1.34, 0.53atm이다.) 19 1540°F와 440°F 사이에서 작동하고 있는 카르노 사이클 열기관(Carnot cycle heat engine)의 효율은? 20 이상기체와 관계가 없는 것은? (단, Z는 압축인자이다.) 21 반데르발스(Van der Waals) 상태 방정식의 상수 a, b와 임계온도(Tc) 및 임계압력(Pc)와의 관계를 잘못 표현한 것은? (단, R은 기체상수이다.) 22 동일한 압력에서 어떤 물질의 온도가 dew point보다 높은 상태를 나타내는 것은? 23 20L/min의 물이 그림과 같은 원관에 흐를 때 ⓐ지점에서 요구되는 압력(kPa)은? (단, 마찰손실은 무시하며, D는 관의 내경, P는 압력, h는 높이를 의미한다.) 24 20wt% 메탄올 수용액에 10wt% 메탄올 수용액을 섞어 17wt% 메탄올 수용액을 만들었다. 이 때 20wt% 메탄올 수용액에 대한 17wt% 메탄올 수용액의 질량비는?
25 그림과 같은 공정에서 물질수지도를 작성하기 위해 측정해야 할 최소한의 변수는? (단, A, B, C는 성분을 나타내고 F와 P는 3성분계, W흐름은 2성분계이다.) 26 몰 증발잠열을 구할 수 있는 방법 중 2가지 물질의 증기압을 동일 온도에서 비교하여 대수좌표에 나타낸 것은? 27 석유제품에서 많이 사용되는 비중단위로 많은 석유제품이 10~70° 범위에 들도록 설계된 것은? 28 어떤 기체혼합물의 성분 분석 결과가 아래와 같을 때, 기체의 평균 분자량은? 29 표준대기압에서 압력게이지로 압력을 측정하였을 때 20psi였다면 절대압(psi)은? 30 Methyl acetate가 다음 반응식과 같이 고압촉매 반응에 의하여 합성될 때, 이 반응의 표준반응열(kcal/mol)은? (단, 표준연소열은 CO(g)가 -67.6kcal/mol, CH3COOCH3(g)는 -397.5 kcal/mol, CH3OCH3(g)는 -348.8 kcal/mol이다.) 31 분쇄에 대한 설명으로 틀린 것은? 32 벽의 두께가 100mm인 물질의 양 표면의 온도가 각각 t1=300°C, t2=30°C일 때, 이 벽을 통한 열손실(flux; kcal/m2·h)은? (단, 벽의 평균 열전도도는 0.02kcal/m·h·°C이다.) 33 추제(solvent)의 성질 중 틀린 것은? 34 다음 무차원군 중 밀도와 관계없는 것은? 35 액체와 비교한 초임계유체의 성질로서 틀린 것은? 36 흡수용액으로부터 기체를 탈거(stripping) 하는 일반적인 방법에 대한 설명으로 틀린 것은?
37 낮은 온도에서 증발이 가능해서 증기의 경제적 이용이 가능하고 과즙, 젤라틴 등과 같이 열에 민감한 물질을 처리하는데 주로 사용되는 것은? 38 용액의 증기압 곡선을 나타낸 도표에 대한 설명으로 틀린 것은? (단, γ는 활동도계수이다.) 39 유체가 난류(Re>30000)로 흐르고 있는 오리피스 유량계에 사염화탄소(비중 1.6) 마노미터를 설치하여 50cm의 읽음값을 얻었다. 유체비중이 0.8일 때, 오리피스를 통과하는 유체의 유속은(m/s)? (단, 오리피스 계수는 0.61이다.) 40 건조특성곡선 상 정속기간이 끝나는 점은? 41 현장에서 PI제어기를 시행착오를 통하여 결정하는 방법이 아래와 같다. 이 방법을 G(s)= 1/(s+1)3 인 공정에 적용하여 1단계 수행 결과 제어기 이득이 4일 때, 페루프가 불안정해지기 시작하는 적분상수는? 42 비선형계에 해당하는 것은? 43 사람이 차를 운전하는 경우 신호등을 보고 우회전하는 것을 공정 제어계와 비교해 볼 때 최종 조작변수에 해당된다고 볼 수 있는 것은? 44 블록선도의 전달함수( )는? 45 전달함수가 (5s+1)/(2s+1) 인 장치에 크기가 2인 계단입력이 들어 왔을 때의 시간에 따른 응답은? 46 1차 공정의 Nyquist 선도에 대한 설명으로 틀린 것은? 47 에서 ω가 아주 작을 때 즉, ω→0일 때의 위상각은? 48 시간 상수가 1min이고 이득(gain)이 1인 1차계의 단위응답이 최종치의 10%로부터 최종치의 90%에 도달할 때까지 걸린 시간(rise time; tr, min)은?
49 아래의 제어계와 동일한 총괄전달함수를 갖는 블록선도는? 50 전달함수 에 대해 잘못 설명한 것은? 51 물리적으로 실현 불가능한 계는? (단, x는 입력변수, y는 출력변수이고 θ>0이다.) 52 2차계의 전달함수가 아래와 같을 때 시간상수(τ)와 제동계수(damping ratio; ζ)는? 53 PID제어기의 작동식이 아래와 같을 때 다음 중 틀린 설명은? 54 아래와 같은 제어계에서 블록선도에서 T' R(s)가 1/s일 때, 서보(servo) 문제의 정상상태 잔류편차(offset)는? 55 의 계단응답 (Step Response)에 대해 옳게 설명한 것은? 56 제어 결과로 항상 cycling이 나타나는 제어기는? 57 임계진동 시 공정입력이 u(t)=sin(πt), 공정출력이 y(t)=-6sin(πt)인 어떤 PID제어계에 Ziegler-Nichols 튜닝룰을 적용할 때, 제어기의 비례이득(KC), 적분시간(τI), 미분시간(τD)은? (단, Ku와 Pu는 각각 최대이득과 최종주기를 의미하며, Ziegler-Nichols 튜닝룰에서 비례이득(KC)=0.6Ku, 적분시간(τI)=Pu/2, 미분시간(τD)=Pu/8이다.) 58 과소감쇠진동공정(underdamped process)의 전달함수를 나타낸 것은? 59 탑상에서 고순도 제품을 생산하는 증류탑의 탑상 흐름의 조성을 온도로부터 추론(inferential) 제어하고자 한다. 이때 맨위 단보다 몇 단 아래의 온도를 측정하는 경우가 있는데 그 이유로 가장 타당한 것은? 60 Bode선도를 이용한 안정성 판별법 중 틀린 것은?
85 어떤 반응의 속도식이 아래와 같이 주어졌을 때, 속도상수(k)의 단위와 값은? 86 반응식이 0.5A+B → R+0.5S인 어떤 반응의 속도식은 rA=-2CA0.5CB로 알려져 있다. 만약 이 반응식을 정수로 표현하기 위해 A+2B → 2R+S로 표현 하였을 때의 반응속도식으로 옳은 것은? 87 그림과 같은 반응물과 생성물의 에너지 상태가 주어졌을 때 반응열 관계로 옳은 것은? 88 A물질 분해반응의 반응속도상수는 0.345min-1이고 A의 초기농도는 2.4mol/L일 때, 정용 회분식 반응기에서 A의 농도가 0.9 mol/L될 때까지 필요한 시간(min)? 89 A의 분해반응이 아래와 같을 때, 등온 플러그 흐름 반응기에서 얻을 수 있는 T의 최대 농도는? (단, CA0=1이다.) 90 반응기 중 체류시간_분포가 가장 좁게 나타난 것은? 91 A와 B가 반응하여 필요한 생성물 R과 불필요한 물질 S가 생길 때, R의 전환율을 높이기 위해 취하는 조치로 적절한 것은? (단, C는 하첨자 물질의 농도를 의미하며, 각 반응은 기초반응이다.) 92 반응속도식은 아래와 같은 A→R 기초반응을 플러그 흐름 반응기에서 반응시킨다. 반응기로 유입되는 A 물질의 초기농도가 10mol/L이고, 출구농도가 5mol/L일 때, 이 반응기의 공간시간(hr)은? 93 n차(n>0) 단일 반응에 대한 혼합 및 플러그 흐름 반응기 성능을 비교 설명한 내용 중 틀린 것은? (단, Vm은 혼합흐름반응기 부피를 VP는 플러그흐름반응기 부피를 나타낸다.) 94 PSSH(Pseudo Steady State Hypothesis) 설정은 다음 중 어떤 가정을 근거로 하는가? 95 Batch reactor의 일반적인 특성을 설명한 것으로 가장 거리가 먼 것은? 96 반응물 A가 동시반응에 의하여 분해되어 아래와 같은 두 가지 생성물을 만든다. 이 때, 비목적 생성물(U)의 생성을 최소화하기 위한 조건으로 틀린 것은?
App Store Google Play
오늘학습 예시 이미지

시험에 합격하려면
복습을 제대로 해야 합니다.

오늘학습은 스스로 기억을 떠올리고 계획적으로 복습할 수 있도록 설계돼 있어요.
그것도, 가장 과학적인 방식으로요!

능동적 회상

능동적 회상
(Active Recall)

배운 내용을 단순 읽으며 반복하는 것이 아니라,
능동적으로 기억하고 있는지를
스스로 테스트하며
공부할 수 있는
학습 환경을 제공해 학습 효과를 높여요

간격 반복 학습

간격 반복 학습
(Spaced Repetition)

에빙하우스 망각곡선을 바탕으로
가장 최적의 시점에 복습을 제공하여
배운 내용이 잊히지 않도록 장기 기억화해요

Data 기반의
뇌과학적 복습 시스템

학습 결과 Data를 분석해, 문제별 최적화된
반복 학습량을
자동으로 분배해요.
학습에 소요되는 시간을 최소화하는
동시에
단기 기억을 장기 기억으로 전환해줘요.

36만 개 이상의
기출문제 무료 제공

공무원 및 약 300여종의 자격증 시험 기출문제
36만개
이상을 무료로 이용할 수 있어요.
여러 앱을 설치할 필요
없이, 오늘학습 하나로
모든 시험을 준비할 수 있어요.

다양한 문제 유형으로 만드는
나만의 단어장&문제집

기출 외에도 외워야 하는 내용은
객관식, 주관식, 카드, 빈칸
등 다양한 형식으로
직접 만들어 보세요. 내 학습 스타일에
맞게
나만의 단어장과 문제집을 만들 수 있어요.

시험별 체계적인
문제 관리

시험에 문제를 추가해 체계적으로
관리할 수 있어요.
주제나 단원별로
분류하고 싶다면,
시험에 챕터를 만들어
문제를 추가할 수도 있어요.

수십만 명이
오늘학습을 사랑합니다

앱 스토어 평점 4.9
구글 플레이 평점 4.8
누적 회원수 100,000+
지금 오늘학습을
시작해보세요
지금 시작하기
문제 선택