비례-미분제어장치의 전달함수의 형태를 옳게 나타낸 것은? (단, K는 이득, r는 시간정수이다.)
지금 시작하기 →

・・・ 문제은행 화공기사(구)(2017년 3회) 45번

화공기사(구) 2017년 09월 45번

비례-미분제어장치의 전달함수의 형태를 옳게 나타낸 것은? (단, K는 이득, r는 시간정수이다.)

1
Krs
2
3
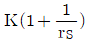
K(1+rs)
4
단축키
이전 문제로 이동은 키를 누르고, 다음 문제로 이동은 키를 누르세요
이전 문제 , 다음 문제
문제(100)
1 어떤 연료의 발열량이 10000kcal/kg일 때 이연료 1kg이 연소해서 30%가 유용한 일로 바뀔 수 있다면 500kg의 무게를 들어 올릴 수 있는 높이는 약 얼마인가? 2 플래쉬(Flash) 계산에 대한 다음의 설명 중 틀린 것은? 3 질량 40kg, 온도 427℃의 강철주물(Cp=500J/kgㆍ℃)을 온도 27℃, 200kg의 기름(Cp=2500J/kgㆍ℃)속에서 급냉시킨다. 열손실이 없다면 전체 엔트로피(Entropy) 변화는 얼마인가? 4 150kPa, 300K에서 2몰의 이상기체 부피는 얼마인가? 5 기체-액체 평형을 이루는 순수한 물에 대한 다음 설명 중 옳지 않은 것은? 6 압력이 일정한 정지상태의 닫힌 계(Closed system)가 흡수한 열은 다음 중 어느 것의 변화량과 같은가? 7 다음의 반응식과 같이 NH4CI이 진공에서 부분적으로 분해할 때 자유도수는? 8 유체의 등온압축률(isothermal compressibility, k)은 다음과 같이 정의된다. 다음 중 이상기체의 등온압축률을 옳게 나타낸 것은? 9 기체의 퓨개시티 계수 계산을 위한 방법으로 가장 거리가 먼 것은? 10 압력 240kPa에서 어떤 액체의 상태량이 Vf는 0.00177m3/kg, Vg는 0.105m3/kg, Hf는 181kJ/KG, Hg 는 496kJ/kg 일 떄 이 압력에서의 Ufg는 약 몇 kJ/kg 인가? (단, V는 비체적, U는 내부에너지, H는 엔탈피, 하첨자 f는 포화액, g는 건포화증기를 나타내고 Ufg는 Ug-Uf이다.) 11 가역단열공정이 진행될 때 올바른 표현식은? 12 이상기체의 내부에너지에 대한 설명으로 옳은 것은?
13 물이 증발할 때 엔트로피 변화는? 14 어떤 화학반응의 평형상수의 온도에 대한 미분계수가 0 보다 작다고 한다. 즉 <0이다. 이 때에 대한 설명으로 옳은 것은? 15 랭킨사이클로 작용하는 증기 원동기에서 25kgf/cm2, 400℃의 증기가 증기 원동기소에 들어가고 배기압 0.04kgf/cm2로 배출될 때 펌프일을 구하면 약 몇 kgfㆍm/kg 인가? (단, 0.04kgf/cm2에서 액체물의 비체적은 0.001m3/kg 이다.) 16 오토기관(Otto cycle)의 열효율을 옳게 나타낸 식은? (단, r는 압축비, K는 비열비이다.) 17 P-H 선도에서 등엔트로피 선 기울기 의 값은? 18 카르노(Carnot) 사이클의 열효율을 높이는데 다음 중 가장 유효한 방법은? 19 디젤(Diesel)기관에 관한 설명 중 틀린 것은? 20 물의 증발잠열 는 1기압, 100℃에서 539cal/g 이다. 만일 이 값이 온도와 기압에 따라 큰 변화가 없다면 압력이 635mmHg 인 고산지대에서 물의 끓는 온도는 약 몇 ℃ 인가? (단, 기체상수 R=1.987cal/molㆍK이다.) 21 농도가 5%인 소금수용액 1kg을 1%인 소금수용액으로 희석하여 3%인 소금수용액을 만들고자 할 때 필요한 1% 소금수용액의 질량은 몇 kg 인가? 22 82℃에서 벤젠의 증기압은 811mmHg, 톨루엔의 증기압은 314mmHg이다. 같은 온도에서 벤젠과 톨루엔의 혼합용액을 증발시켰더니 증기 중 벤젠의 몰분율은 0.5이었다. 용액 중의 톨루엔의 몰분율은 약 얼마인가? (단, 이상기체이며 라울의 법칙이 성립한다고 본다.) 23 40℃에서 벤젠과 톨루엔의 혼합물이 기액평형에 있다. Raoult의 법칙이 적용된다고 볼 때 다음 설명 중 옳지 않은 것은? (단, 40℃에서의 증기압은 벤젠 180mmHg, 톨루엔 60mmHg이고, 액상의 조성은 벤젠 30mol%, 톨루엔 70mol%이다.) 24 염화칼슘의 용해도는 20℃에서 140.0g/100gH2O, 80℃에서 160.0g/100gH2O이다. 80℃에서의 염화칼슘 포화용액 70g을 20℃로 냉각시키면 약 몇 g의 결정이 석출되는가?
25 순수한 CaC2 1kg을 25℃, 1기압하에서 물 1L중에 투입하여 아세틸렌 가스를 발생시켯다. 이 때 얻어지는 아세틸렌은 몇 L인가? (단, Ca의 원자량은 40 이다.) 26 끝이 열린 수은 마노미터가 물탱크내의 액체표면 아래 10m 지점에 부착되어 있을 때 마노미터의 눈금은? (단, 대기압은 1atm이다.) 27 노점 12℃, 온도 22℃, 전압 760mmHg의 공기가 어떤 계에 들어가서 나올 때 노점 58℃, 전압이 740mmHg로 되었다. 계에 들어가는 건조공기 mole당 증가된 수분의 mole 수는 얼마인가? (단, 12℃와 58℃에서 포화 수증기압은 각각 10mmHg, 140mmHg이다.) 28 세기 성질(internsive property)이 아닌 것은? 29 다음 그림과 같은 습윤공기의 흐림이 있다. A공기 100kg당 B공기 몇 kg을 섞어야겠는가? 30 같은 온도에서 같은 부피를 가진 수소와 산소의 무게의 측정값이 같았다. 수소의 압력이 4atm이라면 산소의 압력은 몇 atm 인가? 31 다음 중 나머지 셋과 서로 다른 단위를 갖는 것은? 32 Fourier의 법칙에 대한 설명으로 옳은 것은? 33 정압비열이 1cal/gㆍ℃인 물 100g/s을 20℃에서 40℃로 이중 열교환기를 통하여 가열하고자 한다. 사용되는 유체는 비열이 10cal/gㆍ℃이며 속도는 10g/s, 들어갈 떄의 온도는 80℃이고, 나올 때의 온도는 60℃이다. 유체의 흐름이 병류라고 할 때 열교환기의 총괄열전달 계수는 약 몇 cal/m2ㆍsㆍ℃인가? (단, 이 열교환기의 전열 면적은 10m2이다.) 34 수분을 함유하고 있는 비누와 같이 치밀한 고체를 건조시킬 때 감률건조기간에서의 건조속도와 고체의 함수율과의 관계를 옳게 나타낸 것은? 35 농축조작선 방정식에서 환류비가 R 일 때 조작선의 기울기를 옳게 나타낸 것은? (단, XW는 탑저 제품 몰분율이고, XD는 탑상 제품 몰분율이다.) 36 분쇄에 대한 일반적인 설명으로 틀린 것은?
85 액상 가역 1차 반응 A⇄R을 등온하에서 반응시켜 평형전화율 XAe은 80%로 유지하고 싶다. 반응온도를 얼마로 해야 하는가? (단, 반응열은 온도에 관계없이 -10000cal/molㆍ25℃에서의 평형상수는 300, CRo=0이다.) 86 다음 그림은 기초적 가역 반응에 대한 농도시간 그래프이다 그래프의 의미를 가장 잘 나타낸 것은? 87 다음과 같은 반응메커니즘의 촉매 반응이 일어날 때 Langmuir 이론에 의한 A의 흡착반응 속도 rA를 옳게 나타낸 것은? (단, ka와 k_a는 각 경로에서 흡착 및 탈착 속도 상수, θ는 흡착분율, PA는 A성분의 분압이고, S는 활성점이다.) 88 기상 촉매반응의 유효인자(effectivenessfactor)에 영향을 미치는 인자로 다음 중 가장 거리가 먼 것은? 89 공간시간이 τ=1min인 똑같은 혼합반응기 4개가 직렬로 연결되어 있다. 반응속도상수가 k=0.5min-1인 1차 액상 반응이며 용적 변화율은 0 이다. 첫째 반응기의 입구 농도가 1mol/L 일 때 네 번째 반응기의 출구 농도(mol/L)는 얼마인가? 90 어떤 반응을 “ 플러그흐름 반응기→혼합반응기→플러그흐름 반응기”의 순으로 직렬연시켜 반응하고자 할 때 반응기 성능을 나타낸 것은? 91 홈합흐름반응기에서 연속반응(A→R→S, 각각의 속도상수는 k1, k2)이 일어날 때 중간생성물 R이 최대가 되는 시간은? 92 다음의 액상 균일 반응을 순환비가 1인 순환식 반응기에서 반응시킨 결과 반응물 A의 전화율이 50%이었다. 이 경우 순환 pump를 중지시키면 이 반응기에서 A의 전화율은 얼마인가? 93 비가역 1차 반응에서 속도정수가 2.5×10-3s-1이었다. 반응물의 농도가 2.0×10-2mol/cm3일 때의 반응속도는 몇 mol/cm3ㆍs 인가? 94 균일 반응 에서 반응속도가 옳게 표현된 것은? 95 목적물이 R인 연속반응 A→R→S에서 A→R의 반응속도상수를 k1이라 하고, R→S의 반응속도상수를 k2라 할 때 연속반응의 설계에 대한 다음 설명 중틀린 것은? 96 그림과 같이 직렬로 연결된 혼합 흐름 반응기에서 액상 1차 반응이 진행될 때 입구의 농도가 C0이고 출구의 농도가 C2일 때 총 부피가 최소로 되기 위한 조건이 아닌 것은?
App Store Google Play
오늘학습 예시 이미지

시험에 합격하려면
복습을 제대로 해야 합니다.

오늘학습은 스스로 기억을 떠올리고 계획적으로 복습할 수 있도록 설계돼 있어요.
그것도, 가장 과학적인 방식으로요!

능동적 회상

능동적 회상
(Active Recall)

배운 내용을 단순 읽으며 반복하는 것이 아니라,
능동적으로 기억하고 있는지를
스스로 테스트하며
공부할 수 있는
학습 환경을 제공해 학습 효과를 높여요

간격 반복 학습

간격 반복 학습
(Spaced Repetition)

에빙하우스 망각곡선을 바탕으로
가장 최적의 시점에 복습을 제공하여
배운 내용이 잊히지 않도록 장기 기억화해요

Data 기반의
뇌과학적 복습 시스템

학습 결과 Data를 분석해, 문제별 최적화된
반복 학습량을
자동으로 분배해요.
학습에 소요되는 시간을 최소화하는
동시에
단기 기억을 장기 기억으로 전환해줘요.

36만 개 이상의
기출문제 무료 제공

공무원 및 약 300여종의 자격증 시험 기출문제
36만개
이상을 무료로 이용할 수 있어요.
여러 앱을 설치할 필요
없이, 오늘학습 하나로
모든 시험을 준비할 수 있어요.

다양한 문제 유형으로 만드는
나만의 단어장&문제집

기출 외에도 외워야 하는 내용은
객관식, 주관식, 카드, 빈칸
등 다양한 형식으로
직접 만들어 보세요. 내 학습 스타일에
맞게
나만의 단어장과 문제집을 만들 수 있어요.

시험별 체계적인
문제 관리

시험에 문제를 추가해 체계적으로
관리할 수 있어요.
주제나 단원별로
분류하고 싶다면,
시험에 챕터를 만들어
문제를 추가할 수도 있어요.

수십만 명이
오늘학습을 사랑합니다

앱 스토어 평점 4.9
구글 플레이 평점 4.8
누적 회원수 100,000+
지금 오늘학습을
시작해보세요
지금 시작하기
문제 선택