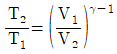
이상기체가 P1, V1, T1의 상태에서 P2, V2, T2까지 가역적으로 단열팽창되었다. 상관관계로 옳지 않은 것은? (단, γ는 비열비이다.)
지금 시작하기 →

・・・ 문제은행 화공기사(구)(2019년 3회) 20번

화공기사(구) 2019년 09월 20번

이상기체가 P1, V1, T1의 상태에서 P2, V2, T2까지 가역적으로 단열팽창되었다. 상관관계로 옳지 않은 것은? (단, γ는 비열비이다.)

1
2
3
4
단축키
이전 문제로 이동은 키를 누르고, 다음 문제로 이동은 키를 누르세요
이전 문제 , 다음 문제
문제(100)
1 카르노사이클(Carnot cycle)의 가역 순서를 옳게 나타낸 것은? 2 기상 반응계에서 평형상수가 로 표시될 경우는? (단, vi는 성분 I의 양론수, 및 는 모든 화학종 i의 곱을 나타낸다.) 3 다음 중 경로함수(path property)에 해당하는 것은? 4 다음 중 등엔트로피 과정(Isentropeic process)은? 5 내연기관 중 자동차에 사용되는 것으로 흡입행정은 거의 정압에서 일어나며, 단열압축 후 전기 점화에 의해 단열팽창하는 사이클은? 6 이상용액의 활동도 계수 γ는? 7 어떤 가스(gas) 1g의 정압비열(Cp)이 온도의 함수로서 다음 식으로 주어질 때 계수 온도를 0℃에서 100℃로 변화시켰다면 이때 계의 가해진 열량은 몇 cal인가? (단, Cp는 cal/gㆍ℃, t는 ℃이며, 계의 압력은 일정하고 온도 범위에서 가스의 상변화는 없다.) 8 실제 기체 압력이 0에 접근할 때, 잔류(residual) 특성에 대한 설명으로 옳은 것은? (단, 온도는 일정하다.) 9 순환법칙 에서 얻을 수 있는 최종 식은? (단, β는 부피팽창률(Volume expansivity), k는 등온압축률(lsothermal compressebility)이다.) 10 흐름열량계(Flow Calorimeter)를 이용하여 엔탈피 변화량을 측정하고자 한다. 열량계에서 측정된 열량이 2000W라면, 입력 흐름과 출력 흐름의 비엔탈피(Specific Enthalpy)의 차이는 몇 J/g인가? (단, 흐름열량계의 입력 흐름에서는 0℃의 물이 5g/s의 속도로 들어가며, 출력 흐름에서는 3기압, 300℃의 수중기가 배출된다.) 11 반데르발스(vam der Waals)식에 맞는 실제기체를 등온가역 팽창시켰을 때 행한 일(work)의 크기는? (단, 이며, V1은 초기부피, V2는 최종부피이다.) 12 용액 내에서 한 설분의 퓨개시티 계수를 표시한 식은? (단, øi는 퓨개시티 계수, 는 용액 중의 성분 i의 퓨개시티, fi는 순수성분 i의 퓨개시티, 는 용액 중의 성분 i의 퓨개시티 xi는 용액의 몰 분율이다.)
13 평형에 대한 다음 조건 중 틀린 것은? (단, øi는 순수성분의 퓨개시티 계수, 는 용액중의 성분 i의 퓨개시티, 는 혼합물에서 성분 i의 퓨개시티, γi는 활동도 계수이며, xi는 액상에서 성분 i의 조성을 나타내며, 상첨자 V는 기상, L은 액상, S는 고상, l과 ll는 두 액상을 나타낸다.) 14 평형의 조건이 되는 열역학적 물성이 아닌 것은? 15 3성분계의 기-액 상평형 계산을 위하여 필요한 최소의 변수의 수는 몇 개인가? (단, 반응이 없는 계로 가정한다.) 16 0℃ 1atm의 물 1kg이 100℃ 1atm의 물로 변하였을 때 엔트로피 변화는 몇 kcal/k인가? (단, 물의 비열은 1.0cal/gㆍK이다.) 17 부피를 온도와 압력의 함수로 나타낼 때 부피 팽창률(β)과 등온압축률(k) 의 관계를 나타낸 식으로 옳은 것은? 18 Cp=5cal/molㆍK인 이상기체를 25℃, 1기압으로부터 단열, 가역 과정을 통해 10기압까지 압축시킬 경우, 기체의 최종 온도는 약 몇 ℃인가? 19 설탕물을 만들다가 설탕을 너무 많이 넣어 아무리 저어도 컵 바닥에 설탕이 여전히 남아있을 때의 자유도는? (단, 물의 증발은 무시한다.) 20 이상기체가 P1, V1, T1의 상태에서 P2, V2, T2까지 가역적으로 단열팽창되었다. 상관관계로 옳지 않은 것은? (단, γ는 비열비이다.) 21 0.℃. 0.5atm 하에 있는 질소가 있다. 이 기체를 같은 압력 하에서 20℃ 가열하였다면 처음 체적의 몇 %가 증가하였는가? 22 CO2 25vol%와 NH3 75vol%의 기체 혼합물 중 NH3의 일부가 산에 흡수되어 제거된다. 이 흡수탑을 떠나는 기체가 37.5vol%의 NH3을 가질 때 처음에 들어있던 NH3의 몇 %가 제거되었는가? (단, CO2의 양은 변하지 않는다고 하며, 산용액의 조금도 증발하지 않는 다고 한다.) 23 정상상태로 흐르는 유체가 유로의 확대된 부분을 흐를 때 변화하지 않는 것은? 24 습한 쓰레기에 71wt% 수분이 포함되어 있었다. 최초 수분이 60%를 증발시키면 증발 후 쓰레기 내 수분의 조성은 몇 %인가?
25 1.5wt% NaOH 수용액을 10wt% NaOH 수용액으로 농축하기 위해 농축 증발관으로 1.5wt% NaOH 수용액을 1000kg/h로 공급하면 시간당 증발되는 수문의 양은 몇 kg인가? 26 실제기체의 거동을 예측하는 비리얼 상태식에 대한 설명으로 옳은 것은? 27 37wt% HNO3 용액의 노르말(N) 농도는? (단, 이 용액의 비중은 1.227이다.) 28 반대수(semi-log) 좌표계에서 직선을 얻을 수 있는 식은? (단, F와 Y는 종속변수이고, t와 x는 독립변수이며, a와 b는 상수이다.) 29 Ethylene glycol의 열용량 값이 다음과 같은 온도의 함수일 때, 0℃~100℃ 사이의 온도 범위 내에서 열용량의 평균값은 몇 cal/g ℃인가? 30 30kg의 공기를 20℃에서 120℃까지 가열하는 데 필요한 열량은 몇 kcal인가? (단, 공기의 평균정압 비열은 0.24kcal/kg℃이다.) 31 정압비열 0.24kcal/kgㆍ℃의 공기가 수평관 속을 흐르고 있다. 입구에서 공기온도가 21℃, 유속이 90m/s이고, 출구에서 유속은 150m/s이며, 외부와 열교환이 전혀 없다고 보면 출구에서의 공기온도는? 32 다음 중 국부속도(local velocity) 측정에 가장 적합한 것은? 33 온도에 민감하여 증발하는 동안 손상되기 쉬운 의약품을 농축하는 방법으로 적절한 것은? 34 고체건조의 항률 건조 단계(constant rate period)에 대한 설명으로 틀린 것은? 35 추출에서 추료(feed)에 추제(extracting solvent)를 가하여 잘 접촉시키면 2상으로 분리된다. 이 중 불활성 물질이 많이 남아 있는 상을 무엇이라고 하는가? 36 증류에서 일정한 비휘발도의 값으로 2를 가지는 2성분 혼합물을 90mol%인 탑위제품과 10mol%인 탑밑제품으로 분리하고자 한다. 이 때 필요한 최소 이론 단수는?
37 노즐흐름에서 충격파에 대한 설명으로 옳은 것은? 38 흡수 충전탑에서 조작선(operating line)의 기울기를 L/V이라 할 때 틀린 것은? 39 룰 문쇄기에 상당직격 4cm인 원료를 도입하여 상당직경 1cm로 문쇄한다. 문쇄 원료와 롤 사이의 마찰계수가 일 때 롤 지름은 약 몇 cm인가? 40 운동점도(Kinematic viscosity)의 단위는? 41 전류식 비례제어기가 20℃에서 100℃까지의 범위로 온도를 제어하는 데 사용된다. 제어기는 출력전류가 4mA에서 20ma까지 도달하도록 조정되어 있다면 제어기의 이득(mA/℃)은? 42 PD 제어기에서 다음과 같은 입력신호가 들어올 경우, 제어기 출력 형태는? (단, Kc는 1이고 τD는 1이다.) 43 Anti Reset Windup에 관한 설명으로 가장 거리가 먼 것은? 44 다음과 같은 2차계의 주파수 응답에서 감쇄 계수 값에 관계없이 위상의 지연이 90°가되는 경우는? (단, τ는 시정수이고, ω는 주파수이다.) 45 인 계에서 y(t) 의 최종값(ultimate value)은? 46 다음 그림과 같은 액위제어계에서 제어밸브는 ATO(Air To-Opeen)형이 사용된다고 가정할 때에 대한 설명으로 옳은 것은? (단,Ditect는 공정출력이 상승할 때 제어출력이 상승함을, Revetse는 제어출력이 하강함을 의미한다.) 47 다음과 같은 특성식(characteristic eauation)을 갖는 계가 있다면 이 께는 Routh 시험 법에 의하여 다음의 어느 경우에 해당하는가? 48 동적계(Dynamic System)를 전달함수로 표현하는 경우를 옳게 설명한 것은?
49 다음 그림과 같은 제어계의 제어게의 전달함수 는? 50 온도 측정장치인 열전대를 반응기 탱크에 삽입한 접점의 온도를 Tm 유체와 접점 사이의 총열전달 계수(overall heat transfer coefficient)를 U, 접점의 표면적을 A, 탱크의 온도를 T, 접점의 질량을 m, 접점의 비열을 Cm이라고 하였을 때 접점의 에너지 d수지식은? (단, 열전대의 시간상우 ) 51 다음 블록선도의 닫힌 루프 전달함수는? 52 1차계의 단위계단응답에서 시간 t가 2τ일 때 퍼센트 응답은 약 얼마인가? (단, τ는 1차계시간상수이다.) 53 Y = P1X± P2X의 블록선도로 옳지 않은 것은? 54 어떤 2차계의 damping ratio(ξ)가 1.2일 때 unit step response는? 55 아날로그 계장의 경우 센서 전송기의 출력신호, 제어기의 출력신호는 흔히 4~20mA의 전류로 전송된다. 이에 대한 설명으로 틀린 것은? 56 다음 함수를 Laplace 변환할 때 올바른 것은? 57 다음과 같은 블록선도에서 정치제어(regulatory control)일 때 옳은 상관식은? 58 다음 중 캐스케이드제어를 적용하기에 가장 적합한 동특성을 가진 경우는? 59 어떤 공정에 대하여 수동모드에서 제어기 출력을 10% 계단 증가시켰을 때 제어변수가 초기에 5%만큼 증가하다가 최종적으로는 원래 값보다 10%만큼 줄어들었다. 이에 대한 설명으로 옳은 것은? (단, 공정입력의 상승이 고정출력의 상승을 초래하면 정동작 공저이고, 공정출력의 상승이 제어출력의 상승을 초래하면 정동작 제어기이다.) 60 인 신호의 최종값(fimal value)은?
73 황산 제조 방법 중 연실법에서 장치의 능률을 높이고 경제적으로 조업하기 위하여 개량된 방법 또는 설비는? 74 에폭시 수지에 대한 설명으로 틀린 것은? 75 화학비료를 토양시비 시 토양이 산성화가 되는 주된 원인으로 옳은 것은? 76 인 31g을 완전 연소시키기 위한 산소의 부피는 표준상태에서 몇 L인가? (단, P의 원자량은 31이다.) 77 일반적으로 니트로화 반응을 이용하여 벤젠을 니트로벤젠으로 합성할 때 많이 사용하는 것은? 78 인광석을 산분해하여 인산을 제조하는 방식 중 습식법에 해당하지 않는 것은? 79 다음 중 III-V 화합물 반도체로만 나열된 것은? 80 일반적인 공정에서 에틸렌으로부터 얻는 제품이 아닌 것은? 81 다음과 같은 평행반응이 진행되고 있을 때 원하는 생성물이 S라면 반응물의 농도는 어떻게 조절해 주어야 하는가?(오류 신고가 접수된 문제입니다. 반드시 정답과 해설을 확인하시기 바랍니다.) 82 어느 조건에서 Space time이 3초이고, 같은 조건 하에서 원료의 공급률이 초당 300L일 때 반응기의 체적은 몇 L인가? 83 평균 체류시간이 같은 관형반응기와 혼합흐름 반응기에서 A→R로 표시되는 화학반응이 일어날 때 전환율이 서로 같다면 이 반응의 차수는? 84 회분계에서 반응물 A의 전화율, XA를 옳게 나타낸 것은? (단, NA는 A의 몰수, NAO는 초기 A의 몰수이다.)
85 촉매 작용의 일반적인 특성에 대한 설명으로 옳지 않은 것은? 86 A+B→R인 비가역 기상 반응에 대해 다음과 같은 실험 데이터를 얻었다. 반응 속도식으로 옳은 것은? (단, t1/2은 B의 반감기이고, PA 및 PB는 각각 A 및 B의 초기 압력이다.) 87 크기가 같은 plug flow 반응기(PFR)와 mixed flow 반응기(MFR)를 서로 연결하여 다음의 2차 반응을 실행하고자 한다. 반응물 A의 전환율이 가장 큰 경우는? 88 불균질(heterogeneous) 반응 속도에 대한 설명으로 가장 거리가 먼 것은? 89 균일계 가역 1차 반응 이 회분식 반응기에서 순수한 A로부터 반응이 시작하여 평형에 도달했을 때 A의 전환율이 85%이었다면 이 반응의 평형상수는 KC는? 90 A+B→ R, rR=1.0CA1.5CB0.3과 A+B→S, rS=1.0CA0.5CB1.3에서 R이 요구하는 물질일 때 A의 전화율이 90%이면 혼합흐름반응기에서 R의 총괄수율(overall fractional yield)은 얼마인가? (단, A와 B의 농도는 각각 20mol/L이며 같은 속도로 들어간다.) 91 다음 반응이 회분식 반응기에서 일어날 때 반응시간이 t이고 처음에 순수한 A로 시작하는 경우, 가역 1차 반응을 옳게 나타낸 식은? (단, A와 B의 농도는 CA, CB이고, CAeq는 평형상태에서 A의 농도이다.) 92 1차 반응인 A→R, 2차 반응(desired)인 A→S, 3차 반응인 A→T에서 S가 요구하는 물질일 경우에 다음 중 옳은 것은? 93 C3H5CH3+H2→C5H6+CH4의 톨루엔과 소수의 반응은 매우 빠른 반응이며 생성물은 평형 상태로 존재한다. 톨루엔의 초기 농도가 2mol/L, 수소의 초기농도가 4mol/L이고 반으을 900K에서 진행시켰을 때 반응 후 수소의 농도는 약 몇 mol/L인가? (단, 900K에서 평형상수 KP=227이다.) 94 그림에 해당되는 반응 형태는? 95 온도가 27℃에서 37℃로 될 때 반응속도가 2배로 빨라진다면 활성화 에너지는 약 몇 cal/mol인가? 96 반응물 A는 1차 반응 A→R에 의해 분해된다. 사로 다른 2개의 플러그흐름반응기에 다음과 같이 반응물의 주입량을 달리하여 분해 실험을 하였다. 두 반응기로부터 동일한 전화율 80%를 얻었을 경우 두 반응기의 부피비 V2/V1은 얼마인가? (단, FA0 공급물 속도이고, CA0는 초기 농도이다.)
App Store Google Play
오늘학습 예시 이미지

시험에 합격하려면
복습을 제대로 해야 합니다.

오늘학습은 스스로 기억을 떠올리고 계획적으로 복습할 수 있도록 설계돼 있어요.
그것도, 가장 과학적인 방식으로요!

능동적 회상

능동적 회상
(Active Recall)

배운 내용을 단순 읽으며 반복하는 것이 아니라,
능동적으로 기억하고 있는지를
스스로 테스트하며
공부할 수 있는
학습 환경을 제공해 학습 효과를 높여요

간격 반복 학습

간격 반복 학습
(Spaced Repetition)

에빙하우스 망각곡선을 바탕으로
가장 최적의 시점에 복습을 제공하여
배운 내용이 잊히지 않도록 장기 기억화해요

Data 기반의
뇌과학적 복습 시스템

학습 결과 Data를 분석해, 문제별 최적화된
반복 학습량을
자동으로 분배해요.
학습에 소요되는 시간을 최소화하는
동시에
단기 기억을 장기 기억으로 전환해줘요.

36만 개 이상의
기출문제 무료 제공

공무원 및 약 300여종의 자격증 시험 기출문제
36만개
이상을 무료로 이용할 수 있어요.
여러 앱을 설치할 필요
없이, 오늘학습 하나로
모든 시험을 준비할 수 있어요.

다양한 문제 유형으로 만드는
나만의 단어장&문제집

기출 외에도 외워야 하는 내용은
객관식, 주관식, 카드, 빈칸
등 다양한 형식으로
직접 만들어 보세요. 내 학습 스타일에
맞게
나만의 단어장과 문제집을 만들 수 있어요.

시험별 체계적인
문제 관리

시험에 문제를 추가해 체계적으로
관리할 수 있어요.
주제나 단원별로
분류하고 싶다면,
시험에 챕터를 만들어
문제를 추가할 수도 있어요.

수십만 명이
오늘학습을 사랑합니다

앱 스토어 평점 4.9
구글 플레이 평점 4.8
누적 회원수 100,000+
지금 오늘학습을
시작해보세요
지금 시작하기
문제 선택