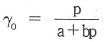
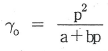
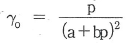
고체 촉매에 의한 기상 반응 A+B=R에 있어서 성분 A와 B가 같은 양이 존재할 때 성분 A의 흡착 과정이 율속인 경우의 초기 반응 속도와 전압의 관계는? (단, a,b는 정수이고, p는 전압이다.)
지금 시작하기 →

・・・ 문제은행 화공기사(구)(2017년 1회) 94번

화공기사(구) 2017년 03월 94번

고체 촉매에 의한 기상 반응 A+B=R에 있어서 성분 A와 B가 같은 양이 존재할 때 성분 A의 흡착 과정이 율속인 경우의 초기 반응 속도와 전압의 관계는? (단, a,b는 정수이고, p는 전압이다.)

1
2
3
4
단축키
이전 문제로 이동은 키를 누르고, 다음 문제로 이동은 키를 누르세요
이전 문제 , 다음 문제
문제(100)
1 액체상태의 물이 얼음 및 수증기와 평형을 이루고 있다. 이계의 자유도수를 구하면 2 25℃에서 1몰의 이상기체를 실린더 속에 넣고 피스톤에 100bar의 압력을 가하였다. 이 때 피스톤의 압력을 처음에는 70bar, 다음엔 30bar, 마지막으로 10bar로 줄여서 실린더 속의 기체를 3단계 팽창시켰다. 이 과정이 등온 가역팽창인 경우 일의 크기는 얼마인가? 3 기체가 초기상태에서 최종상태로 단열팽창을 할 경우 비가역과정에 의해 행한일(Wirr)과 가역과정에 의해 행한 일(Wrev)의 크기를 옳게 비교한 것은? 4 다음 중 주울-톰슨(Joule-Thomson) 팽창에 적합한 조건을 나타내는 것은? 5 공기표준 오토 사이클(Otto cycle)에 해당하는 선도는? 6 벤젠과 톨루엔으로 이루어진 용액이 기상과 액상으로 평형을 이루고 있을 때 이 계에 대한 자유도수는? 7 다음은 이상용액의 혼합특성을 나타내는 열역학적 함수이다. 옳지 않은 것은? (단, G, V, U, S, T는 각각 깁스(Gibbs) 자유에너지, 부피, 내부에너지, 엔트로피, 온도이며, R은 기체상수, Xi는 몰분율, 첨자 id는 이상용액 물성을 의미한다.) 8 압력과 온도변화에 따른 엔탈피 변화가 다음과 같은 식으로 표시될 때 □에 해당하는 것은? 9 반데르 발스 방정식 에서 P 는 atm, V 는 L/mol 단위로 하면, 상수 a 의 단위는? 10 어떤 과학자가 자기가 만든 열기관이 80℃ 와 10℃ 사이에서 작동하면서 100cal의 열을 받아 20cal 의 유용한 일을 할 수 있다고 주장한다. 이 과학자의 주장에 대한 판단으로 옳은 것은? 11 25℃에서 1몰의 이상기체가 20atm에서 1atm 로 단열 가역적으로 팽창하였을 때 최종온도는 약 몇 K 인가? (단, 비열비 이다.) 12 다음 그림은 역 카르노사이클이다. 이 사이클의 성능계수는 어떻게 표시되는가? (단, T1 에서 열이 방출되고 T2 에서 열이 흡수된다.)
13 어떤 화학반응에서 평형상수의 온도에 대한 미분계수는 으로 표시된다. 이 반응에 대한 설명으로 옳은 것은? 14 다음 중 상태변수(State variables)가 될 수 없는 것은? 15 비가역 과정에 있어서 다음 식 중 옳은 것은? (단, S 는 엔트로피, Q 는 열량, T 는 절대온도이다.) 16 이상기체의 거동을 따르는 산소와 질소를 0.21 대 0.79의 몰(mol)비로 혼합할 때에 혼합엔트로피 값은? 17 초기에 메탄, 물, 이산화탄소, 수소가 각각 1몰씩 존재하고 다음과 같은 반응이 이루어질 경우 물의 몰분율을 반응좌표 ε로 옳게 나타낸 것은? 18 다음 내연기관 사이클(cycle) 중 같은 조건에서 그 열역학적 효율이 가장 큰 것은? 19 다음 중 공기표준 오토 사이클에 대한 설명으로 옳은 것은? 20 이상기체와 반데르발스(van der Waals)상태방정식을 만족시키는 각 기체에 대해 일정한 온도에서 내부에너지의 부피에 대한 변화율 즉, 를 나타낸 올바른 식은? (단, 반데르발스(van der Waals)상태방정식은 이다.) 21 몰 조성이 79% N2 및 21% O2인 공기가 있다. 20℃, 740mmHg에서 이 공기의 밀도는 약 몇 g/L인가? 22 동력의 단위환산 값 중 1kW와 가장 거리가 먼 것은? 23 30℃, 1atm의 공기 중의 수증기 분압이 21.9mmHg일 때 건조공기 당 수증기 질량[kg(H2O/kg(dry air)]은 얼마인가? (단, 건조 공기의 분자량은 29이다.) 24 25wt%의 알코올 수용액 20g을 증류하여 95wt%의 알코올 용액 x g과 5wt%의 알코올 수용액 y g으로 분리한다면 x와 y는 각각 얼마인가?
25 과열수증기가 190℃(과열), 10bar에서 매시간 2000kg/h로 터빈에 공급되고 있다. 증기는 1bar 포화증기로 배출되며 터빈은 이상적으로 가동된다. 수증기의 엔탈피가 다음과 같다고 할 때 터빈의 출력은 몇 kW인가? 26 지하 220m 깊이에서부터 지하수를 양수하여 20m 높이에 가설된 물탱크에 15kg/s의 양으로 물을 올리고 있다. 이 때 위치 에너지(potential energy)의 증가분(△Ep)은 얼마인가?(오류 신고가 접수된 문제입니다. 반드시 정답과 해설을 확인하시기 바랍니다.) 27 1mol% 에탄올 함유한 기체가 20℃, 20atm에서 물과 접촉할 때 용해된 에탄의 몰분율은? (단, 탄수화물은 비교적 물에 녹지 않으며 에탄의 헨리상수는 2.63×104atm/몰분율이다.) 28 공기의 O2와 N2의 몰%는 각각 21.0과 79.0이다. 산소와 질소의 질량비(O2/N2)는 약 얼마인가? 29 100℃, 765mmHg에서 기체 혼합물의 분석값이 CO2 8vol%, O2 12vol%, N2 80vol%이엇다. 이 때 CO2분압은 약 몇 mmHg 인가? 30 C2H4 40kg을 연소기키기 위해 800kg의 공기를 공급하였다. 과잉공기 백분율은 약 몇 %인가? 31 추제(solvent)의 선택요인으로 옳은 것은? 32 Prandtl수가 1보다 클 경우 다음 중 옳은 것은? 33 운동량 유속(Momentum flux)에 대한 표현으로 옳지 않은 것은? 34 막 분리 공정 중 역삼투법에서 물과 염류의 수송 메카니즘에 대한 설명으로 가장 거리가 먼 내용은? 35 정류 조작에서 최소 환류비에 대한 올바른 표현은? 36 내경 10cm관을 통해 층류로 물이 흐르고 있다. 관의 중심유속이 2cm/s일 경우 관벽에서 2cm떨어진 곳의 유속은 약 몇 cm/s인가?
37 흡수탑에서 전달단위수(NTU)는 20 이고 전달단위높이(HTU)가 0.7m일 경우, 필요한 충전물의 높이는 몇 m 인가? 38 펄프로 종이의 연속 시트(sheet)를 만들 경우 다음 중 가장 적당한 건조기는? 39 면적이 0.25m2인 250℃상태의 물체가 있다. 50℃공기가 그 위에 있을 때 전열속도는 약 몇 kW인가? (단, 대류에 의한 열전달계수는 30W/m2ㆍ℃이다.) 40 원관내 25℃의 물을 65℃까지 가열하기 위해서 100℃의 포화수증기를 관 외부로 도입하여 그 응축열을 이용하고 100℃의 응축수가 나오도록 하였다. 이 때 대수평균 온도차는 몇 ℃인가? 41 제어계의 피제어 변수의 목표치를 나타내는 말은? 42 제어기를 설계할 때에 대한 설명으로 옳지 않은 것은? 43 다음 그림의 액체저장 탱크에 대한 선형화된 모델식으로 옳은 것은? (단, 유출량 q(m3/min)는 2√h로 나타내어지며, 액위 h의 정상상태 값은 4m이고 단면적은 Am2이다.) 44 다음 블록선도에서 전달함수Y(s)/X(s)는? 45 전달함수가 다음과 같이 주어진 계가 역응답(inverse response)을 갖기 위한 r값은? 46 전달함수가 G(s)=Kexp(-θs)/(rs+1)인 공정에 공정입력 u(t)=sin(√2t)을 적용했을 때, 시간이 많이 흐른 후 공정출력 y(t)=(2/√2)sin(√2t-π/2)이었다. 또한, u(t)=1을 적용하였을 때 시간이 많이 흐른 후 y(t)=2이었다. K,θ,r 값은 얼마인가? 47 전달함수 y(s)=(1+2s)e(s)+(1.5/s)e(s)에 해당하는 시간영역에서의 표현으로 옳은 것은? 48 전달함수 에 대해 잘못 설명한 것은?
61 다음 중 암모니아소다법의 핵심공정 반응식을 옳게 나타낸 것은? 62 다음 중 수용성 인산 비료는? 63 질산과 황산의 혼사에 글리세린을 반응시켜 만드는 물질로 비중이 약 1.6이고 다이너마이트를 제조할 때 사용되는 것은? 64 윤활유의 성상에 대한 설명으로 가장 거리가 먼 것은? 65 논농사보다는 밭농사를 주로 하는 지역에서 사용하는 흡습성이 강한 비료로서 Fauser법으로 생산하는 것은? 66 지하수 내에 Ca2+ 40mg/L, Mg2+ 24.3mg/L가 포함되어있다. 지하수의 경도를 mg/L CaCO3로 옳게 나타낸 것은? (단, 원자량은 Ca 40, Mg 24.3 이다.) 67 아세틸렌을 원료로 하여 합성되는 물질이 아닌 것은? 68 200kg의 인산(H3PO4)제조 시 필요한 인광석의 양은 약 몇 kg 인가? (단, 인광석 내에는 30%의 P2O5의 분자량은 142이다.) 69 디젤연료의 성능을 표시하는 하나의 척도는? 70 반도체 제조공정 중 원하는 형태로 패턴이 형성된 표면에서 원하는 부분을 화학반응 또는 물리적 과정을 통해 제거하는 공정은? 71 융점이 327℃이며, 이 온도 이하에서는 용매가공이 불가능할 정도로 매우 우수한 내약품성을 지니고 있어 화학공정기계의 부식방지용 내식재료로 많이 응용되고 있는 고분자 재료는 무엇인가? 72 질산의 직접 합성 반응이 다음과 같을 때 반응 후 응축하여 생성된 질산 용액의 농도는 얼마 인가?
73 아닐린에 대한 설명으로 옳은 것은? 74 생성된 입상 중합체를 직접 사용하여 연속적으로 교반하여 중합하며, 중합열의 제어가 용이하지만 안정제에 의한 오염이 발생하므로 세척, 건조가 필요한 중합법은? 75 다음의 과정에서 얻어지는 물질로 ( )안에 알맞은 것은? 76 접촉식에 의한 황산의 제조 공정에서 이산화황이 산화되어 삼산화황으로 전환하여 평형상태에 도달한다. 삼산화황 1몰을 생산하기 위해서 필요한 공기 최소량은 표준상태를 기준으로 약 몇 L인가? (단, 이상적인 반응을 가정한다.) 77 Friedel-Crafts 반응에 쓰이는 대표적인 촉매는? 78 부식전류가 크게 되는 원인으로 가장 거리가 먼 것은? 79 고분자의 수평균분자량을 측정하는 방법으로 가장 거리가 먼 것은? 80 가성소다 제조에 있어 격막법과 수은법에 대한 설명 중 틀린 것은? 81 크기가 다른 3개의 혼합흐름반응기(mixed flow reactor)를 사용하여 2차 반응에 의해서 제품을 생산하려 한다. 최대의 생산율을 얻기 위한 반응기의 설치 순서로서 옳은 것은? (단, 반응기의 부피 크기는 A>B>C이다.) 82 2A+B→2C 반응이 회분반응기에서 정압등온으로 진행된다. A,B가 양론비로 도입되며 불활성물이 없고 임의시간 전화율이 XA일 때 초기 전몰 수 Nto에 대한 전몰수 Nt의 비(Nt/Nto)를 옳게 나타낸 것은? 83 균일 2차 액상반응(A→R)이 혼합반응기에서 진행되어 50%의 전환을 얻었다. 다른 조건은 그대로 두고, 반응기만 같은 크기의 플러그흐름 반응기로 대체시켰을 때 전환율은 어떻게 되겠는가? 84 의 식에서 순환비 R을 0으로 하면 어떤 반응기에 적용되는 식이 되는가? (단, V:반응기부피, FAO:반응물유입몰속도, XA:전화율, -rA:반응속도)
85 다음 반응에서 CA0=1moI/L, CR0=CS0=0이고 속도상수 k1=k2=0.1min-1이며 100L/h의 원료유입에서 R을 얻는다고 한다. 이 때 성분 R의 수득률을 최대로 할 수 있는 플러그 흐름 반응기의 크기를 구하면? 86 화학평형에서 열역학에 의한 평형상수에 다음 중 가장 큰 영향을 미치는 것은? 87 A→B⇄R인 복합반응의 회분조작에 대한 3성분계 조성도를 옳게 나타낸 것은? 88 다음과 같은 플러그 흐름 반응기에서의 반응시간에 따른 CB(t)는 어떤 관계로 주어지는가? (단, k는 각 경로에서의 속도상수, CAO는 A의 초기농도, t는 시간이고, 초기에는 A만 존재한다.) 89 액상 플러그 흐름 반응기의 일반적 물질수지를 나타내는 식은? (단, τ는 공간시간, CAO농도, CAf는 유출농도, -rA는 반응속도, t는 반응시간을 나타낸다.) 90 물질 A는 A→5S로 반응하고 A와 S가 모두 기체일 때, 이 반응의 부피변화율 EA를 구하면? (단, 초기에는 A만 있다.) 91 평형 전화율에 미치는 압력과 비활성 물질의 역할에 대한 설명으로 옳지 않은 것은? 92 어떤 반응에서 -rA=0.05CA mol/cm3ㆍh일 때 농도를 mol/L, 그리고 시간을 min으로 나타낼 경우 속도상수의 값은? 93 반응을, 2개의 같은 크기의 혼합 흐름반응기(mixed flow reactor)를 직렬로 연결하여 반응시켰을 때, 최종 반응기 출구에서의 전화율은? (단, 이반응은 기초반응이고, 각 반응기의 kτ=2이다.) 94 고체 촉매에 의한 기상 반응 A+B=R에 있어서 성분 A와 B가 같은 양이 존재할 때 성분 A의 흡착 과정이 율속인 경우의 초기 반응 속도와 전압의 관계는? (단, a,b는 정수이고, p는 전압이다.) 95 균일계 액상 병렬 반응이 다음과 같을 때 R의 순간수율ø값으로 옳은 것은? 96 공간시간과 평균체류 시간에 대한 설명 중 틀린 것은?
App Store Google Play
오늘학습 예시 이미지

시험에 합격하려면
복습을 제대로 해야 합니다.

오늘학습은 스스로 기억을 떠올리고 계획적으로 복습할 수 있도록 설계돼 있어요.
그것도, 가장 과학적인 방식으로요!

능동적 회상

능동적 회상
(Active Recall)

배운 내용을 단순 읽으며 반복하는 것이 아니라,
능동적으로 기억하고 있는지를
스스로 테스트하며
공부할 수 있는
학습 환경을 제공해 학습 효과를 높여요

간격 반복 학습

간격 반복 학습
(Spaced Repetition)

에빙하우스 망각곡선을 바탕으로
가장 최적의 시점에 복습을 제공하여
배운 내용이 잊히지 않도록 장기 기억화해요

Data 기반의
뇌과학적 복습 시스템

학습 결과 Data를 분석해, 문제별 최적화된
반복 학습량을
자동으로 분배해요.
학습에 소요되는 시간을 최소화하는
동시에
단기 기억을 장기 기억으로 전환해줘요.

36만 개 이상의
기출문제 무료 제공

공무원 및 약 300여종의 자격증 시험 기출문제
36만개
이상을 무료로 이용할 수 있어요.
여러 앱을 설치할 필요
없이, 오늘학습 하나로
모든 시험을 준비할 수 있어요.

다양한 문제 유형으로 만드는
나만의 단어장&문제집

기출 외에도 외워야 하는 내용은
객관식, 주관식, 카드, 빈칸
등 다양한 형식으로
직접 만들어 보세요. 내 학습 스타일에
맞게
나만의 단어장과 문제집을 만들 수 있어요.

시험별 체계적인
문제 관리

시험에 문제를 추가해 체계적으로
관리할 수 있어요.
주제나 단원별로
분류하고 싶다면,
시험에 챕터를 만들어
문제를 추가할 수도 있어요.

수십만 명이
오늘학습을 사랑합니다

앱 스토어 평점 4.9
구글 플레이 평점 4.8
누적 회원수 100,000+
지금 오늘학습을
시작해보세요
지금 시작하기
문제 선택