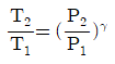
이상기체의 단열과정에서 온도와 압력에 관계된 식이다. 옳게 나타낸 것은? (단, 열용량비 이다.)
지금 시작하기 →

・・・ 문제은행 화공기사(구)(2018년 1회) 4번

화공기사(구) 2018년 03월 4번

이상기체의 단열과정에서 온도와 압력에 관계된 식이다. 옳게 나타낸 것은? (단, 열용량비 이다.)

1
2
3
4
단축키
이전 문제로 이동은 키를 누르고, 다음 문제로 이동은 키를 누르세요
이전 문제 , 다음 문제
문제(100)
13 두헴(Duhem)의 정리는 “초기에 미리 정해진 화학성분들의 주어진 질량으로 구성된 어떤 닫힌계에 대해서도, 임의의 두 개의변수를 고정하면 평형상태는 완전히 결정된다.”라고 표현할 수 있다. 다음 중 설명이 옳지 않은 것은? 14 25℃에서 산소 기체가 50atm으로부터 500atm으로 압축되었을 때 깁스(Gibbs) 자유에너지 변화량의 크기는 약 얼마인가? (단, 산소는 이상기체로 가정한다.) 15 크기가 동일한 3개의 상자 A, B, C 에 상호작용이 없는 입자 10개가 각각 4개, 3개, 3개씩 분포되어 있고, 각 상자들은 막혀 있다. 상자들 사이의 경계를 모두 제거하여 입자가 고르게 분포되었다면 통계 열역학적인 개념의 엔트로피 식을 이용하여 경계를 제거하기 전후의 엔트로피 변화량은 약 얼마인가? (단, k 는 Boltzmann 상수이다.) 16 이상기체 혼합물에 대한 설명 중 옳지 않은 것은? (단, τi(T)는 일정온도 T에서의 적분상수, yi는 이상기체 혼합물 중 성분 i의 몰분율이다.) 17 부피가 1m3인 용기에 공기를 25℃의 온도와 100bar의 압력으로 저장하려 한다. 이 용기에 저장할 수 있는 공기의 질량은 약 얼마인가? (단, 공기의 평균분자량은 29이며 이상기체로 간주한다.) 18 상태함수에 대한 설명으로 옳은 것은? 19 다음 중에서 같은 환산온도와 환산압력에서 압축인자가 가장 비슷한 것끼리 짝지어진 것은? 20 상압 300K에서 2.0L인 이상기체 시료의 부피를 일정압력에서 400cm3로 압축시켰을 때 온도는? 21 18℃, 1atm에서 H2O(L)의 생성열은 -68.4kcal/mol 이다. 다음 반응에서의 반응열이 42kcal/mol인 것을 이용하여 등온등압에서 CO(g)의 생성열을 구하면 몇 kcal/mol 인가? 22 시강특성치(intensive property)가 아닌 것은? 23 이상기체의 법칙이 적용된다고 가정할 때 용적이 5.5m3인 용기에 질소 28kg을 넣고 가열하여 압력이 10atm이 될 때 도달하는 기체의 온도는 약 몇 ℃인가? 24 질소에 벤젠이 10vol% 포함되어 있다. 온도 20℃, 압력 740mmHg일 때 이 혼합물의 상대포화도는 몇 % 인가? (단, 20℃에서 순수한 벤젠의 증기압은 80mmHg이다.)
25 어떤 물질의 한 상태에서 온도가 dew point 온도보다 높은 상태는 어떤 상태를 의미하는가? (단, 압력은 동일하다.) 26 다음 중 비용(specific volume)의 차원으로 옳은 것은? (단, 길이(L), 질량(M), 힘(F), 시간(T) 이다.) 27 증류탑을 이용하여 에탄올 25wt%와 물 75wt%의 혼합액 50kg/h을 증류하여 에탄올 85wt%의 조성을 가지는 상부액과 에탄올 3wt%의 조성을 가지는 하부액으로 분리하고자 한다. 상부액에 포함되는 에탄올은 초기 공급되는 혼합액에 함유된 에탄올 중의 몇 wt%에 해당하는 양인가? 28 어느 석회석 성분을 분석하니, CaCO3 92.89wt%, MgCO3 5.41wt%, 불용성분이 1.70wt%였다. 이 석회석 100kg에서 몇 kg의 CO2를 회수할 수 있겠는가? (단, Ca의 분자량은 40, Mg의 분자량은 24.3이다.) 29 다음 중 에너지를 나타내지 않는 것은? 30 350K, 760mmHg에서의 공기의 밀도는 약 몇 kg/m3인가? (단, 공기의 평균 분자량은 29 이며 이상기체로 가정한다.) 31 이중열교환기에 있어서 내부관의 두께가 매우 얇고, 관벽 내부경막열전달계수 hi가 외부경막열전달계수 ho와 비교하여 대단히 클 경우 총괄열전달계수 U에 대한 식으로 가장 적합한 것은? 32 공급원료 1몰을 원료 공급단에 넣었을 때 그 중 증류탑의 탈거부(stripping section)로 내려가는 액체의 몰수를 q로 정의 한다면, 공급원료가 과열증기일 때 q 값은? 33 그림은 전열장치에 있어서 장치의 길이와 온도 분포의 관계를 나타낸 그림이다. 이에 해당하는 전열장치는? (단, T는 증기의 온도, t는 유체의 온도, Δt1, Δt2는 각각 입구 및 출구에서의 온도차이다.) 34 흡수탑의 충전물 선정 시 고려해야 할 조건으로 가장 거리가 먼 것은? 35 관(pipe, tube)의 치수에 대한 설명 중 틀린 것은? 36 다음 단위조작 가운데 침출(leaching)에 속하는 것은?
37 총괄 에너지 수지식을 간단하게 나타내면 다음과 같을 때 α는 유체의 속도에 따라서 변한다. 유체가 층류일 때 다음 중 α에 가장 가까운 값은? (단, Hi는 엔탈피, Viave는 평균유속, Z는 높이, g는 중력가속도, Q는 열량, Ws는 일이다.) 38 오리피스 미터(orifice meter)에 U자형 마노미터를 설치하였고 마노미터는 수은이 채워져 있으며, 그 위의 액체는 물이다. 마노미터에서의 압력차가 15.44kPa이면 마노미터의 읽음은 약 몇 mm인가? (단, 수은의 비중은 13.6 이다.) 39 롤 분쇄기에 상당직경 5cm의 원료를 도입하여 상당직경 1cm로 분쇄한다. 롤 분쇄기와 원료 사이의 마찰계수가 0.34 일 때 필요한 롤의 직경은 몇 cm인가? 40 가열된 평판위로 Prandtl 수가 1보다 큰 액체가 흐를 때 수력학적 경계층 두께 δh와 열전달 경계층 두께 δT와의 관계로 옳은 것은? 41 Laplace 변환 등에 대한 설명으로 틀린 것은? 42 다음 block 선도로부터 전달함수 Y(s)/X(s)를 구하면? 43 전달함수가 인 1차계의 단위 임펄스 응답은? 44 다음 중 비선형계에 해당하는 것은? 45 어떤 제어계의 특성방정식은 으로 주어진다. 이 제어시스템이 안정하기 위한 조건은? (단, r는 양수이다.) 46 1차계의 sin 응답에서 ωr가 증가되었을 때 나타나는 영향을 옳게 설명한 것은? (단, ω는 각 주파수, r는 시간정수, AR은 진폭비, |ø|는 위상각의 절대값이다.) 47 공정의 위상각(phase angle) 및 주파수에 대한 설명으로 틀린 것은? 48 다음 블록선도에서 C/R의 전달함수는?
73 다음 탄화수소 중 석유의 원유 성분에 가장 적은 양이 포함되어 있는 것은? 74 다음의 O2:NH3의 비율 중 질산 제조 공정에서 암모니아 산화율이 최대로 나타나는 것은? (단, Pt 촉매를 사용하고 NH3농도가 9% 인 경우이다.) 75 다음 중 접촉개질 반응으로부터 얻어지는 화합물은? 76 비닐단량체(VCM)의 중합반응으로 생성되는 중합체 PVC가 분자량 425000 으로 형성되었다. Carothers에 의한 중합도(degree of polymerization)는 얼마인가? 77 벤젠을 산촉매를 이용하여 프로필렌에 의해 알킬화함으로써 얻어지는 것은? 78 솔베이법의 기본공정에서 사용되는 물질로 가장 거리가 먼 것은? 79 소금의 전기분해 공정에 있어 전해액은 양극에 도입되어 격막을 통해 음극으로 흐른다. 격막법 전해조의 양극재료로서 구비하여야 할 조건 중 옳지 않은 것은? 80 다음 중 석유의 성분으로 질소 화합물에 해당하는 것은? 81 다음과 같은 경쟁반응에서 원하는 반응을 가장 좋게 하는 접촉방식은? (단, n > P, m < Q) 82 순환식 플러그흐름 반응기에 대한 설명으로 옳은 것은? 83 다음 반응식과 같이 A 와 B 가 반응하여 필요한 생성물 R 과 불필요한 물질 S 가 생길 때, R 로의 전화율을 높이기 위해서 반응물질의 농도(C)를 어떻게 조정해야 하는가? (단, 반응 1은 A 및 B 에 대하여 1차 반응이고, 반응 2도 1차 반응이다.) 84 A→R인 1차 액상 반응의 속도식이 -rA=kCA로 표시된다. 이 반응을 plug flow reactor에서 진행시킬 경우 체류시간 (r)과 전화율 (XA)사이의 관계식은?
85 반응에서 R 의 농도가 최대가 되는 점은? (단, k1=k2이다.) 86 기상반응 A→4R 이 흐름반응기에서 일어날 때 반응기 입구에서는 A가 50%, inertgas가 50% 포함되어 있다. 전화율이 100% 일 때 반응기 입구에서 체적속도가 1이면 반응기 출구에서 체적속도는 얼마인가? (단, 반응기의 압력은 일정하다.) 87 다음과 같은 연속 반응에서 각 반응이 기초반응이라고 할 때 R의 수율을 가장 높게 할 수 있는 반응계는? (단, 각 경우 전체 반응기의 부피는 같다.) 88 A → C 의 촉매반응이 다음과 같은 단계로 이루어진다. 탈착반응이 율속단계일 때 Langmuir Hinshelwood모델의 반응속도식으로 옳은 것은? (단, A 는 반응물, S 는 활성점, AS 와 CS 는 흡착 중간체이며, k 는 속도상수, K 는 평형상수, SO 는 초기 활성점, []는 농도를 나타낸다.) 89 기초반응 에서 R의 순간수율 ø(R/A)를 CA에 대해 그린 결과가 그림에 곡선으로 표시되어 있다. 원하는 물질 R의 총괄수율이 직사각형으로 표시되는 경우, 어떤 반응기를 사용하였는가? 90 비가역 1차 액상반응 A→P를 직렬로 연결된 2개의 CSTR에서 진행시킬 때 전체 반응기 부피를 최소화하기 위한 조건에 해당하는 것은? (단, 첫 번째와 두 번째 반응기의 부피는 각각 VC1 , VC2이다.) 91 비가역 0차 반응에서 전화율이 1로 반응이 완결되는데 필요한 반응 시간에 대한 설명으로 옳은 것은? 92 체중 70kg, 체적 0.075m3인 사람이 포도당을 산화시키는데 하루에 12.8mol 의 산소를 소모한다고 할 때 이 사람의 반응속도를 mol O2/m3·s 로 표시하면 약 얼마인가? 93 Arrhenius 법칙에서 속도상수 k와 반응온도 의 관계를 옳게 설명한 것은? 94 다음의 반응에서 반응속도 상수 간의 관계는 k1=k-1=k2=k-2이며 초기 농도는 CAO=1, CRO=CSO=0일 때 시간이 충분히 지난 뒤 농도 사이의 관계를 옳게 나타 낸 것은? 95 A→R인 액상 반응이 부피가 0.1L 인 플러그 흐름 반응기에서 -rA=50CA2mol/Lㆍmin로 일어난다. A 의 초기농도 CAO는 0.1mol/L 이고 공급속도가 0.05L/min 일 때 전화율은 얼마인가? 96 어떤 물질의 분해반응은 비가역 1차반응으로 90% 까지 분해하는데 8123초가 소요되었다면 40% 분해하는데 걸리는 시간은 약 몇 초인가?
App Store Google Play
오늘학습 예시 이미지

시험에 합격하려면
복습을 제대로 해야 합니다.

오늘학습은 스스로 기억을 떠올리고 계획적으로 복습할 수 있도록 설계돼 있어요.
그것도, 가장 과학적인 방식으로요!

능동적 회상

능동적 회상
(Active Recall)

배운 내용을 단순 읽으며 반복하는 것이 아니라,
능동적으로 기억하고 있는지를
스스로 테스트하며
공부할 수 있는
학습 환경을 제공해 학습 효과를 높여요

간격 반복 학습

간격 반복 학습
(Spaced Repetition)

에빙하우스 망각곡선을 바탕으로
가장 최적의 시점에 복습을 제공하여
배운 내용이 잊히지 않도록 장기 기억화해요

Data 기반의
뇌과학적 복습 시스템

학습 결과 Data를 분석해, 문제별 최적화된
반복 학습량을
자동으로 분배해요.
학습에 소요되는 시간을 최소화하는
동시에
단기 기억을 장기 기억으로 전환해줘요.

36만 개 이상의
기출문제 무료 제공

공무원 및 약 300여종의 자격증 시험 기출문제
36만개
이상을 무료로 이용할 수 있어요.
여러 앱을 설치할 필요
없이, 오늘학습 하나로
모든 시험을 준비할 수 있어요.

다양한 문제 유형으로 만드는
나만의 단어장&문제집

기출 외에도 외워야 하는 내용은
객관식, 주관식, 카드, 빈칸
등 다양한 형식으로
직접 만들어 보세요. 내 학습 스타일에
맞게
나만의 단어장과 문제집을 만들 수 있어요.

시험별 체계적인
문제 관리

시험에 문제를 추가해 체계적으로
관리할 수 있어요.
주제나 단원별로
분류하고 싶다면,
시험에 챕터를 만들어
문제를 추가할 수도 있어요.

수십만 명이
오늘학습을 사랑합니다

앱 스토어 평점 4.9
구글 플레이 평점 4.8
누적 회원수 100,000+
지금 오늘학습을
시작해보세요
지금 시작하기
문제 선택