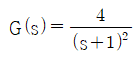
인 공정에 피드백 제어계(unit feedback system)를 구성할 때, 폐회로(closed-loop) 전체의 전달함수가 이 되게 하는 제어기는?
지금 시작하기 →

・・・ 문제은행 화공기사(구)(2020년 2회) 49번

화공기사(구) 2020년 08월 49번

인 공정에 피드백 제어계(unit feedback system)를 구성할 때, 폐회로(closed-loop) 전체의 전달함수가 이 되게 하는 제어기는?

1
2
3
4
단축키
이전 문제로 이동은 키를 누르고, 다음 문제로 이동은 키를 누르세요
이전 문제 , 다음 문제
문제(100)
1 이상기체의 열용량에 대한 설명으로 옳은 것은? 2 일정온도 80℃에서 라울(Raoilt)의 법칙에 근사적으로 일치하는 아세톤과 니트로메탄 이성분계가 기액평형을 이루고 있다. 아세톤의 액상 몰분율이 0.4 일 때 아세톤의 기체상 몰분율은? (단, 80℃에서 순수 아세톤과 니트로메탄의 증기압은 각각 195.75, 50.32 kPa 이다.) 3 372℃, 100atm에서의 수증기부피(L/mol)는? (단, 수증기는 이상기체라 가정한다.) 4 이상기체에 대한 설명 중 틀린 것은? (단, U : 내부에너지, R : 기체상수, CP : 정압열용량, CV : 정적열용량이다.) 5 360℃ 고온 열저장고와 120℃ 저온 열저장고 사이에서 작동하는 열기관이 60kW의 동력을 생산한다면 고온 열저장고로부터 열기관으로 유입되는 열량(QH; kW)은? 6 Joule-Thomson coefficient를 옳게 나타낸 것은? (단, CP : 정압열용량, V : 부피, P : 압력, T : 온도를 의미한다.) 7 “에너지보존의 법칙”으로 불리는 것은? 8 다음 중 상태함수가 아닌 것은? 9 다음 그래프가 나타내는 과정으로 옳은 것은? (단, T는 절대온도, S는 엔트로피이다.) 10 CO2 + H2 → CO + H2O 반응이 760℃, 1기압에서 일어난다. 반응한 CO2의 몰분율을 x라 하면 이때 평형상수 KP를 구하는 식으로 옳은 것은? (단, 초기에 CO2와 H2는 각각 1몰씩이며, 초기의 CO와 H2O는 없다고 가정한다.) 11 어떤 가역 열기관이 500℃에서 1000cal의 열을 받아 일을 생산하고 나머지의 열을 100℃의 열소(heat sink)에 버린다. 열소의 엔트로피 변화(cal/K)는? 12 화학반응의 평형상수 K의 정의로부터 다음의 관계식을 얻을 수 있을 때, 이 관계식에 대한 설명 중 틀린 것은?
13 수증기와 질소의 혼합기체가 물과 평형에 있을 때 자유도는? 14 카르노 사이클(Carnot cycle)에 대한 설명으로 틀린 것은? 15 화학반응에서 정방향으로 반응이 계속 일어나는 경우는? (단, △G : 깁스자유에너지변화량, K : 평형상수이다.) 16 반데르 발스(Van der Waals)의 상태식에 따르는 n mol의 기체가 초기 용적(v1)에서 나중 용적(v2)으로 정온가역적으로 팽창할 때 행한 일의 크기를 나타낸 식으로 옳은 것은? 17 비압축성 유체의 성질이 아닌 것은? 18 오토(Otto) 사이클의 효율(η)을 표시하는 식으로 옳은 것은? (단, γ : 비열비, rv : 압축비, rf : 팽창비이다.) 19 열전도가 없는 수평 파이프 속에 이상기체가 정상상태로 흐른다. 이상기체의 유속이 점점 증가할 때 이상기체의 온도변화로 옳은 것은? 20 2.0 atm의 압력과 25℃의 온도에 있는 2.0몰의 수소가 동일조건에 있는 3.0몰의 암모니아와 이상적으로 혼합될 때 깁스자유에너지변화량(△G; kJ)은? 21 30℃, 760mmHg에서 공기의 수증기압이 25 mmHg이고, 같은 온도에서 포화 수증기압이 0.0433 kgf/cm2 일 때, 상대습도(%)는? 22 표준상태에서 일산화탄소의 완전연소 반응열(kcal/gmol)은? (단, 일산화탄소와 이산화탄소의 표준생성엔탈피는 아래와 같다.) 23 25℃에서 10L의 이상기체를 1.5L까지 정온 압축시켰을 때 주위로부터 2250 cal의 일을 받았다면 압축한 이상기체의 몰수(mol)는? 24 대응상태원리에 대한 설명 중 틀린 것은?
25 질소 280kg과 수소 64kg이 반응기에서 500℃, 300 atm 조건으로 반응되어 평형점에서 전체 몰수를 측정하였더니 26 kmol 이였다. 반응기에서 생성된 암모니아(kg)는? 26 기화잠열을 추산하는 방법에 대한 설명 중 틀린 것은? 27 원유의 비중을 나타내는 지표로 사용되는 것은? 28 CO(g)를 활용하기 위해 162g의 C, 22g의 H2의 혼합연료를 연소하여 CO2 11.1 vol%, CO 2.4 vol%, O2 4.1 vol%, N2 82.4 vol% 조성의 연소가스를 얻었다. CO의 완전연소를 고려하지 않은 공기의 과잉공급률(%)는? (단, 공기의 조성은 O2 21 vol%, N2 79 vol% 이다.)(오류 신고가 접수된 문제입니다. 반드시 정답과 해설을 확인하시기 바랍니다.) 29 상, 상평형 및 임계온도에 대한 다음 설명 중 틀린 것은? 30 20℃, 740 mmHg에서 N2 79 mol%, O2 21 mol% 공기의 밀도(g/L)는? 31 벤젠과 톨루엔의 2성분계 정류조직의 자유도(degrees of freedom)는? 32 완전 흑체에서 복사 에너지에 관한 설명으로 옳은 것은? 33 중력가속도가 지구와 다른 행성에서 물이 흐르는 오리피스의 압력차를 측정하기 위해 U자관 수은압력계(manometer)를 사용하였더니 압력계의 읽음이 10cm 이고 이 때의 압력차가 0.05 kgf/cm2 였다. 같은 오리피스에 기름을 흘려보내고 압력차를 측정하니 압력계의 읽음이 15cm라고 할 때 오리피스에서의 압력차(kgf/cm2)는? (단, 액체의 밀도는 지구와 동일하며, 수은과 기름의 비중은 각각 13.5, 0.8 이다.) 34 1 atm, 건구온도 65℃, 습구온도 32℃, 습윤공기의 절대습도( )는? (단, 습구온도 32℃의 상대습도 : 0.031, 기화잠열 : 580 kcal/kg, 습구계수 : 0.227 kg·kcal/℃ 이다.) 35 막 분리 공정 중 역삼투법에서 물과 염류의 수송 메카니즘에 대한 설명으로 가장 거리가 먼 것은? 36 비중 1.2, 운동점도 0.254 St인 어떤 유체가 안지름이 1 inch관을 0.25 m/s 의 속도로 흐를 때, Reynolds 수는?
49 인 공정에 피드백 제어계(unit feedback system)를 구성할 때, 폐회로(closed-loop) 전체의 전달함수가 이 되게 하는 제어기는? 50 열교환기에서 유출물의 온도를 제어하려고 한다. 열교환기는 공정이득 1, 시간상수 10을 갖는 1차계 공정의 특성을 나타내는 것으로 파악되었다. 온도 감지기는 시간상수 1을 갖는 1차계 공정 특성을 나타낸다. 온도 제어를 위하여 비례제어기를 사용하여 되먹임 제어시스템을 채택할 경우, 제어 시스템이 임계감쇠계(critically damped system) 특성을 나타낼 경우의 제어기 이득(Kc) 값은? (단, 구동기의 전달함수는 1로 가정한다.) 51 자동차를 운전하는 것을 제어시스템의 가동으로 간주할 때 도로의 차선을 유지하며 자동차가 주행하는 경우 자동차의 핸들은 제어시스템을 구성하는 요소 중 어디에 해당하는가? 52 단일입출력(Single Input Single Output; SISO) 공정을 제어하는 경우에 있어서, 제어의 장애요소로 다음 중 가장 거리가 먼 것은? 53 2차계 시스템에서 시간의 변화에 따른 응답곡선은 아래와 같을 때 Overshoot은? 54 함수의 역 Laplace 변환으로 옳은 것은? 55 다음은 열교환기에서의 온도를 제어하기 위한 제어 시스템을 나타낸 것이다. 제어목적을 달성하기 위한 조절변수는? 56 다음 중 제어계 설계에서 위상각 여유(phase margin)는 어느 범위일 때 가장 강인(robust)한가? 57 위상지연이 180°인 주파수는? 58 어떤 계의 unit impulse 응답이 e-2t 였다. 이 계의 전달함수(transfer function)는? 59 비례제어기의 비례제어 상수를 선형계가 안정되도록 결정하기 위해 비례제어 상수를 0으로 놓고 특성방정식을 푼 결과 서로 다른 세 개의 음수의 실근이 구해졌다. 비례제어 상수를 점점 크게 할 때 나타나는 현상을 옳게 설명한 것은? 60 PID 제어기의 비례 및 적분동작에 의한 제어기 출력 특성 중 옳은 것은?
85 균일촉매 반응이 다음과 같이 진행될 때 평형상수와 반응속도상수의 관계식으로 옳은 것은? 86 공간시간과 평균체류 시간에 대한 설명 중 틀린 것은? 87 어떤 반응의 전화율과 반응속도가 아래의 표와 같다. 혼합흐름반응기(CSTR)와 플러그흐름반응기(PFR)를 직렬연결하여 CSTR에서 전환율을 40%까지, PFR에서 60%까지 반응시키려 할 때, 각 반응기의 부피 합(L)은? (단, 유입 몰유량은 15 mol/s 이다.) 88 A+R → R+R 인 자동촉매 반응이 회분식반응기에서 일어날 때 반응속도가 가장 빠를 때는? (단, 초기 반응기내에는 A가 대부분이고 소량의 R이 존재한다.) 89 플러그흐름반응기에서 아래와 같은 반응이 진행될 때, 빗금 친 부분이 의미하는 것은? (단, ø는 반응 A→R에 대한 R의 순간수율(instantaneous fractional yield)이다.) 90 1차 기본반응의 속도상수가 1.5×10-3s-1 일 때, 이 반응의 반감기(s)는? 91 Arrhenius law에 따라 작도한 다음 그림 중에서 평행반응(parallel reaction)에 가장 가까운 그림은? 92 균일 반응(A+1.5B → P)의 반응속도관계로 옳은 것은? 93 다음과 같은 기초반응이 동시에 진행될 때 R의 생성에 가장 유리한 반응조건은? 94 불균일 촉매반응에서 확산이 반응율속 영역에 있는지를 알기 위한 식과 가장 거리가 먼 것은? 95 A→R 액상반응이 부피가 0.1L인 플러그 흐름 반응기에서 –rA = 50CA2 mol/L·min로 일어난다. A의 초기농도는 0.1 mol/L 이고 공급속도가 0.05 L/min 일 때 전화율은? 96 A→R→S로 진행하는 연속 1차 반응에서 각 농도별 시간의 곡선을 옳게 나타낸 것은? (단, CA, CR, CS는 각각 A, R, S의 농도이다.)
App Store Google Play
오늘학습 예시 이미지

시험에 합격하려면
복습을 제대로 해야 합니다.

오늘학습은 스스로 기억을 떠올리고 계획적으로 복습할 수 있도록 설계돼 있어요.
그것도, 가장 과학적인 방식으로요!

능동적 회상

능동적 회상
(Active Recall)

배운 내용을 단순 읽으며 반복하는 것이 아니라,
능동적으로 기억하고 있는지를
스스로 테스트하며
공부할 수 있는
학습 환경을 제공해 학습 효과를 높여요

간격 반복 학습

간격 반복 학습
(Spaced Repetition)

에빙하우스 망각곡선을 바탕으로
가장 최적의 시점에 복습을 제공하여
배운 내용이 잊히지 않도록 장기 기억화해요

Data 기반의
뇌과학적 복습 시스템

학습 결과 Data를 분석해, 문제별 최적화된
반복 학습량을
자동으로 분배해요.
학습에 소요되는 시간을 최소화하는
동시에
단기 기억을 장기 기억으로 전환해줘요.

36만 개 이상의
기출문제 무료 제공

공무원 및 약 300여종의 자격증 시험 기출문제
36만개
이상을 무료로 이용할 수 있어요.
여러 앱을 설치할 필요
없이, 오늘학습 하나로
모든 시험을 준비할 수 있어요.

다양한 문제 유형으로 만드는
나만의 단어장&문제집

기출 외에도 외워야 하는 내용은
객관식, 주관식, 카드, 빈칸
등 다양한 형식으로
직접 만들어 보세요. 내 학습 스타일에
맞게
나만의 단어장과 문제집을 만들 수 있어요.

시험별 체계적인
문제 관리

시험에 문제를 추가해 체계적으로
관리할 수 있어요.
주제나 단원별로
분류하고 싶다면,
시험에 챕터를 만들어
문제를 추가할 수도 있어요.

수십만 명이
오늘학습을 사랑합니다

앱 스토어 평점 4.9
구글 플레이 평점 4.8
누적 회원수 100,000+
지금 오늘학습을
시작해보세요
지금 시작하기
문제 선택