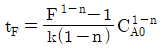
회분식 반응기에서 반응시간이 tF일 때 CA/CA0의 값을 F라 하면 반응차수 n과 tF의 관계를 옳게 표현한 식은? (단, k는 반응속도상수 이고, n≠1 이다.)
지금 시작하기 →

・・・ 문제은행 화공기사(구)(2017년 2회) 84번

화공기사(구) 2017년 05월 84번

회분식 반응기에서 반응시간이 tF일 때 CA/CA0의 값을 F라 하면 반응차수 n과 tF의 관계를 옳게 표현한 식은? (단, k는 반응속도상수 이고, n≠1 이다.)

1
2
3
4
단축키
이전 문제로 이동은 키를 누르고, 다음 문제로 이동은 키를 누르세요
이전 문제 , 다음 문제
문제(100)
1 화학 평형상태에서 CO, CO2, H2, H2O 및 CH4로 구성되는 기상계에서 자유도는? 2 다음 중 이상기체에 대한 특성식과 관련이 없는 것은? (단, Z: 압축인자, CP:정압비열, Cv: 정적비열, U: 내부에너지, R: 기체상수, P: 압력, V: 부피, T: 절대온도, n: 몰 수) 3 다음 열역학 관계식 중 옳지 않은 것은? 4 주울-톰슨(Joule-Thomson)팽창과 엔트로피와의 관계를 옳게 설명한 것은? 5 “액체혼합물 중의 한 성분이 나타내는 증기압은 그 온도에 있어서 그 성분이 단독으로 조재할 때의 증기압에 그 성분의 몰분율을 곱한 값과 같다.” 이것은 누구의 법칙인가? 6 27℃, 800atm 하에서 산소 1 mol 부피는 몇 L인가? (단, 이 때 압축계수는 1.5 이다.) 7 어느 물질의 등압 부피팽창계수와 등온부피압축계수를 나타내는 β와 k가 각각 β=a/V 와 k=b/V로 표시될 때 이 물질에 대한 상태방정식으로 적합한 것은? 8 다음 그림은 1기압하에서의 A, B 2성분계 용액에 대한 비점선도(Boiling point diagram)이다. XA=0.40 인 용액을 1기압 하에서 서서히 가열할 때 일어나는 현상을 설명한 내용으로 틀린 것은? (단, 처음 온도는 40℃이고, 마지막 온도는 70℃이다.) 9 다음 중 역행응축(retrograde condensation)현상을 가장 유용하게 쓸 수 있는 경우는? 10 어떤 기체가 주울-톰슨 전환점(Joule-Thomson inversion point)이 될 수 있는 조건은? (단, 이다.) 11 다음 중 루이스-랜덜 규칙(Lewis-Randallrule)의 옳은 표현은? (단, 실제 용액에 적용할 수 있는식, : 용액중 I성분의 퓨개시티(Fugacity), fi: 순수성분 I의 퓨개시티, : 표준상태에서 순수성분i의 퓨개시티, xi: 성분 I의 액상 몰분률이다.) 12 1 mol의 이상기체의 처음상태 50℃, 10kPa에서 20℃, 1kPa로 팽창했을 때의 엔트로피(S)의 변화는? (단, 이다.)
13 물과 수증기와 얼음이 공존하는 삼중점에서 자유도의 수는? 14 질량 1500kg의 승용차가 40km/h의 속도로 달린다. 이 승용차의 운동에너지는 몇 Nㆍm인가? 15 평형(equilibrium)에 대한 정의가 아닌 것은? (단, G는 깁스(Gibbs)에너지, mix는 혼합에 의한 변화를 의미한다.) 16 벤젠(1)-톨루엔(2)의 기-액 평형에서 라울의 법칙이 만족된다면 90℃, 1atm에서 기체의 조성 y1은 얼마인가? (단, psat1=1.5atm, Psat2=0.5atm이다.) 17 압축인자 Z=+BP/RT일 때 퓨개시티계수 ø는? 18 열역학 기초에 관한 내용으로 옳은 것은? 19 성분 A와 B가 섞여있는 2성분혼합물이 서로 화학반응이 일어나지 않으며, 기-액 평형에서 라울의 법칙에 잘 따른다고 한다. 온도 T와 압력 P에서 A와 B의증기압이 각각 P0A, P0B라 할 때, 액체와 평형상태에 있는 기체혼합물 중 성분 A의 조성 yA 20 기상 반응계에서 평형상수 K가 다음과 같이 표시되는 경우는? (단, vi는 성분 I 의 양론계수이고 이다.) 21 어떤 장치의 압력계가 게이지압 26.7mmHg의 진공을 나타내었고 이 때의 대기압은 745mmHg였다. 이 장치의 절대압은 몇 mmHg인가? 22 액체염소 40kg이 표준상태에서 증발했을 때 약 몇 m3의 CI2가스가 생성되는가? (단, CI2의 분자량은 70.9이다.) 23 전압 750mmhg, 수증기분압 40mmHg일 때 절대습도는 몇 kg H2O/kg dry air인가? 24 162g의 C, 22g의 H2 의 혼합연료를 연소하여 CO2 11.1vol%, CO 2.4vol%, O2 4.1vol%, N2 82.4vol% 조성의 연소가스를 얻었다. 과잉공기%는 약 얼마인가?
25 200g의 CaCl2가 다음의 반응식과 같이 공기중의 수증기를 흡수할 경우에 발생하는 열은 약 몇 kcal인가? (단, CaCl2의 분자량은 111이다.) 26 25℃, 760mmHg에서 10000m3용기에 공기가 차 있을 때 산소가 차지하는 분용(partialvolume)은 몇 m3인가? 27 18℃, 1atm에서 H2O(L)의 생성열은 -68.4kcal/mol이다. 18℃, 1atm에서, 다음 반응의 반응열이 42kcal/mol 이다. 이를 이용하여 18℃, 1atm에서의 CO(g) 생성열을 구하면 몇 kcal/mol인가? 28 질소에 아세톤이 14.8vol% 포함되어 있다. 20℃, 745mmHg에서 이 혼합물의 상대포화도는 약 몇 %인가? (단, 20℃에서 아세톤의 포화증기압은 184.8mmHg이다.) 29 펄프를 건조기 속에 넣어 수분을 증발시키는 공정이 있다. 이 때 펄프가 75wt%의 수분을 포함하고, 건조기에서 100kg의 수분을 증발시켜 수분 25wt%펄프가 되었다면 원래의 펄프의 무게는 몇 kg인가? 30 3atm의 압력과 가장 가까운 값을 나타내는 것은? 31 U자관 마노미터를 오리피스(Orifice)유량계에 설치했다. 마노미터에는 수은(비중:13.6)이 들어있고 수은 상부는 사염화탄소(비중: 1.6)로 차있다. 마노미터가 21cm를 가리킬 때 물기둥 높이(cm)로 환산하면 약 얼마인가? 32 두 물체가 열적 평형에 있을 때 전체 복사강도(w1, w2)와 흡수율(a1, a2)의 관계는? 33 어떤 증류탑의 환류비가 2이고 환류량이 400kmol/h이다. 이 증류탑 상부에서 나오는 증기의 몰(mol) 잠열이 7800kcal/kmol이며 전축기로 들어가는 냉각수는 20℃에서 156000kg/h이다. 이 냉각수의 출구온도는? 34 일정한 압력 손실에서 유로의 면적변화로부터 유량을 알 수 있게 한 장치는? 35 건조 특성 곡선에서 항율건조 기간에서 감율건조 기간으로 변하는 점을 무엇이라고 하는가? 36 혼합조작에서 혼합 초기, 혼합 도중, 완전이상혼합 시 각 균일도 지수의 값을 옳게 나타낸 것은? (단, 균일도 지수는 σ/σ0이며, σ는 혼합 도중의 표준편차, σ0는 혼합 전의 최초의 표준편차이다.)
85 단일반응 A→R의 반응을 동일한 조건하에서 촉매 A,B,C,D를 사용하여 적분반응기에서 실험하였을 때 다음과 같은 원료성분 A의 전화율 XA와 V/FO(또는 W/FO를 얻었다. 촉매 활성이 가장 큰 것은? (단, V는 촉매체적, W는 촉매질량, FO는 공급원료 mole 수 이다.) 86 부피유량 v가 일정한 관형반응기 내에서 1차 반응 A→B이 일어난다. 부피유량이 10L/min, 반응속도상수 k가 0.23/min 일 때 유출농도를 유입농도의 10%로 줄이는데 필요한 반응기의 부피는? (단, 반응기의 입구조건 V=0일 때 CA=CAO이다.) 87 비가역 액상반응에서 공간시간 τ가 일정할 때 전환율이 초기 농도에 무관한 반응차수는? 88 다음 그림은 농도-시간의 곡선이다. 이 곡선에 해당하는 반응식을 옳게 나타낸 것은? 89 2번째 반응기의 크기가 1번째 반응기 체적의 2배인 2개의 혼합 반응기를 직렬로 연결하여 물질 A의 액상분해 속도론을 연구한다. 정상상태에서 원료의 농도가 1mol/L 이고, 1번째 반응기에서 평균체류 시간은 96초 이며 1번째 반응기의 출구 농도는 0.5mol/L 이고, 2번째 반응기의 출구 농도는 0.25mol/L 이다. 이 분해반응은 몇 차 반응인가? 90 촉매반응의 경우 촉매의 역할을 잘 설명한 것은? 91 N2O2의 분해 반응은 1차 반응이고 반감기가 20500s 일 때 8시간 후 분해된 분율은 얼마인가? 92 어떤 반응의 온도를 24℃에서 34℃로 증가시켰더니 반응 속도가 2.5배로 빨라졌다면, 이 때의 활성화 에너지는 몇 kcal 인가? 93 플러그흐름반응기 또는 회분식반응기에서 비가역 직렬 반응 A→R→S, k1=2min-1, k2=1min-1이 일어날 때 CR이 최대가 되는 시간은? 94 회분식 반응기(batch reactor)에서 비가역 1차 액상반응인 반응물 A가 40% 전환되는데 5분 걸렸다면 80% 전환되는 데는 약 몇 분이 걸리겠는가? 95 다음과 같은 효소발효반응이 플러그흐름 반응기에서 CA0=2mol/L, v=25L/min 의 유입속도로 일어난다. 95% 전화율을 얻기 위한 반응기 체적은 약 몇 m3인가? 96 A→R→S(k1,k2)인 반응에서 k1=100, k2=1이면 회분식 반응기에서 CS/CA0에 가장 가까운 식은? (단, 두 반응은 모두 1차이다.)
App Store Google Play
오늘학습 예시 이미지

시험에 합격하려면
복습을 제대로 해야 합니다.

오늘학습은 스스로 기억을 떠올리고 계획적으로 복습할 수 있도록 설계돼 있어요.
그것도, 가장 과학적인 방식으로요!

능동적 회상

능동적 회상
(Active Recall)

배운 내용을 단순 읽으며 반복하는 것이 아니라,
능동적으로 기억하고 있는지를
스스로 테스트하며
공부할 수 있는
학습 환경을 제공해 학습 효과를 높여요

간격 반복 학습

간격 반복 학습
(Spaced Repetition)

에빙하우스 망각곡선을 바탕으로
가장 최적의 시점에 복습을 제공하여
배운 내용이 잊히지 않도록 장기 기억화해요

Data 기반의
뇌과학적 복습 시스템

학습 결과 Data를 분석해, 문제별 최적화된
반복 학습량을
자동으로 분배해요.
학습에 소요되는 시간을 최소화하는
동시에
단기 기억을 장기 기억으로 전환해줘요.

36만 개 이상의
기출문제 무료 제공

공무원 및 약 300여종의 자격증 시험 기출문제
36만개
이상을 무료로 이용할 수 있어요.
여러 앱을 설치할 필요
없이, 오늘학습 하나로
모든 시험을 준비할 수 있어요.

다양한 문제 유형으로 만드는
나만의 단어장&문제집

기출 외에도 외워야 하는 내용은
객관식, 주관식, 카드, 빈칸
등 다양한 형식으로
직접 만들어 보세요. 내 학습 스타일에
맞게
나만의 단어장과 문제집을 만들 수 있어요.

시험별 체계적인
문제 관리

시험에 문제를 추가해 체계적으로
관리할 수 있어요.
주제나 단원별로
분류하고 싶다면,
시험에 챕터를 만들어
문제를 추가할 수도 있어요.

수십만 명이
오늘학습을 사랑합니다

앱 스토어 평점 4.9
구글 플레이 평점 4.8
누적 회원수 100,000+
지금 오늘학습을
시작해보세요
지금 시작하기
문제 선택