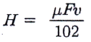
원통 마찰차의 접선력을 Fkgf, 원주속도 v m/s라 할 때, 전달동력 H(kW)를 구하는 식은?(단, 마찰계수는 μ 이다.)
지금 시작하기 →

・・・ 문제은행 컴퓨터응용밀링기능사(2012년 2회) 9번

컴퓨터응용밀링기능사 2012년 04월 9번

원통 마찰차의 접선력을 Fkgf, 원주속도 v m/s라 할 때, 전달동력 H(kW)를 구하는 식은?(단, 마찰계수는 μ 이다.)

1
2
3
4
단축키
이전 문제로 이동은 키를 누르고, 다음 문제로 이동은 키를 누르세요
이전 문제 , 다음 문제
문제(60)
1 순철의 개략적인 비중과 용융온도를 각각 나타낸 것은? 2 탄소 2~2.6%, 규소 1.1~1.6% 범위의 것으로 백주철을 열처리로에 넣어 가열하여 탈탄 또는 흑연화 방법으로 제조한 주철은? 3 구리에 대한 설명 중 옳지 않은 것은? 4 알루미나(Al2O3)를 주성분으로 하여 거의 결합재를 사용하지 않고 소결한 공구로서 고속도 및 고온절삭에 사용되는 공구는? 5 표준 성분이 Cu 4%, Ni 2%, Mg 1.5%, 나머지가 알루미늄인 내열용 알루미늄 합금의 한 종류로써 열간 단조 및 압출가공이 쉬워 단조품 및 피스톤에 이용되는 것은? 6 공구용으로 사용되는 비금속 재료로 초내열성재료, 내마멸성 및 내열성이 높은 세라믹과 강한 금속의 분말을 배열 소결하여 만든 것은? 7 강의 표면 경화법에서 화학적 방법이 아닌 것은? 8 두 축이 같은 평면 내에 있으면서 그 중심선이 어느 각도로 교차하고 있을 때 사용하는 축 이음으로 자동차, 공작기계 등에 사용되는 것은? 9 원통 마찰차의 접선력을 Fkgf, 원주속도 v m/s라 할 때, 전달동력 H(kW)를 구하는 식은?(단, 마찰계수는 μ 이다.) 10 소선의 지름 8mm, 스프링의 지름 80mm인 압축코일 스프링에서 하중이 200N 작용하였을 때 처짐이 10mm가 되었다. 이 때 스프링 상수(k)는 몇 N/mm인가? 11 기어의 원주피치를 구할 때 필요 없는 요소는? 12 볼트 너트의 풀림 방지 방법 중 틀린 것은?
App Store Google Play
오늘학습 예시 이미지

시험에 합격하려면
복습을 제대로 해야 합니다.

오늘학습은 스스로 기억을 떠올리고 계획적으로 복습할 수 있도록 설계돼 있어요.
그것도, 가장 과학적인 방식으로요!

능동적 회상

능동적 회상
(Active Recall)

배운 내용을 단순 읽으며 반복하는 것이 아니라,
능동적으로 기억하고 있는지를
스스로 테스트하며
공부할 수 있는
학습 환경을 제공해 학습 효과를 높여요

간격 반복 학습

간격 반복 학습
(Spaced Repetition)

에빙하우스 망각곡선을 바탕으로
가장 최적의 시점에 복습을 제공하여
배운 내용이 잊히지 않도록 장기 기억화해요

Data 기반의
뇌과학적 복습 시스템

학습 결과 Data를 분석해, 문제별 최적화된
반복 학습량을
자동으로 분배해요.
학습에 소요되는 시간을 최소화하는
동시에
단기 기억을 장기 기억으로 전환해줘요.

36만 개 이상의
기출문제 무료 제공

공무원 및 약 300여종의 자격증 시험 기출문제
36만개
이상을 무료로 이용할 수 있어요.
여러 앱을 설치할 필요
없이, 오늘학습 하나로
모든 시험을 준비할 수 있어요.

다양한 문제 유형으로 만드는
나만의 단어장&문제집

기출 외에도 외워야 하는 내용은
객관식, 주관식, 카드, 빈칸
등 다양한 형식으로
직접 만들어 보세요. 내 학습 스타일에
맞게
나만의 단어장과 문제집을 만들 수 있어요.

시험별 체계적인
문제 관리

시험에 문제를 추가해 체계적으로
관리할 수 있어요.
주제나 단원별로
분류하고 싶다면,
시험에 챕터를 만들어
문제를 추가할 수도 있어요.

수십만 명이
오늘학습을 사랑합니다

앱 스토어 평점 4.9
구글 플레이 평점 4.8
누적 회원수 100,000+
지금 오늘학습을
시작해보세요
지금 시작하기
문제 선택